springboot社区捐赠物资管理系统
21世纪的今天,随着社会的不断发展与进步,人们对于信息科学化的认识,已由低层次向高层次发展,由原来的感性认识向理性认识提高,管理工作的重要性已逐渐被人们所认识,科学化的管理,使信息存储达到准确、快速、完善,并能提高工作管理效率,促进其发展。
论文主要是对基于springboot的社区捐赠物资管理系统进行了介绍,包括研究的现状,还有涉及的开发背景,然后还对系统的设计目标进行了论述,还有系统的需求以及整个的设计方案,对系统的设计以及实现,也都论述的比较细致,最后对基于springboot的社区捐赠物资管理系统进行了一些具体测试。本次报告,首先分析了研究的背景、作用、意义,为研究工作的合理性打下了基础。针对社区捐赠物资管理系统的各项需求以及技术问题进行分析,证明了系统的必要性和技术可行性,然后对设计系统需要使用的技术软件以及设计思想做了基本的介绍,最后来实现社区捐赠物资管理系统和部署运行使用它。
关键词:社区捐赠物资管理系统;SpringBoot框架;MySQL数据库
SpringBoot Community Donation Material Management System
Abstract
Today in the 21st century, with the continuous development and progress of society, people's understanding of information science has developed from low to high levels, from intuitive understanding to rational understanding, and the importance of management work has gradually been recognized by people. Scientific management enables information storage to achieve accuracy, speed, and completeness, and can improve work management efficiency and promote its development.
The paper mainly introduces the community donation material management system based on Springboot, including the current research status, the development background involved, and then discusses the design goals of the system, as well as the system requirements and the entire design scheme. The design and implementation of the system are also discussed in detail. Finally, some specific tests are conducted on the community donation material management system based on Springboot. This report first analyzes the background, role, and significance of the research, laying the foundation for the rationality of the research work. An analysis was conducted on the various requirements and technical issues of the community donation material management system, demonstrating the necessity and feasibility of the system. Then, a basic introduction was made to the technical software and design ideas required for designing the system. Finally, the implementation and deployment of the community donation material management system were discussed.
Keywords: Community donation material management system; SpringBoot framework; MySQL database
目 录
在当今社会,慈善事业和社区捐赠活动扮演着越来越重要的角色。随着人们对社区发展和社会责任的关注增加,社区捐赠物资管理系统的开发成为社会发展的迫切需求。社区捐赠物资管理系统旨在优化捐赠物资的收集、储存、分配和跟踪流向的过程,提高社区慈善资源的利用效率和透明度,促进社区发展和公益事业的持续健康发展。
过去,社区捐赠物资管理往往依赖于传统的手工记录和管理,存在信息不透明、捐赠物资流向不清晰等问题,影响了捐赠物资的准确分配和利用。随着信息技术的发展,引入社区捐赠物资管理系统成为必要之举。通过系统的建立,可以实现对捐赠物资的实时记录、分类储存、需求匹配和流向追踪,提高捐赠物资的透明度和高效利用,同时降低管理成本和人力资源的浪费。
此外,社区捐赠物资管理系统也有助于促进社区公益事业的发展和社会凝聚力的提升。系统的建立可以提升社区居民对公益事业的参与度和信任度,增强社区凝聚力和社会责任感,为社区的和谐稳定作出积极贡献。
因此,研究开发社区捐赠物资管理系统具有重要的现实意义,有助于优化社区公益资源的管理和利用,促进社会公益事业的健康发展,提升社区居民的获得感和满意度,推动社会和谐稳定发展。
-
- 研究意义
社区捐赠物资管理系统的研究和开发具有深远的现实意义和社会意义。首先,该系统有助于提高社区公益资源的管理效率和透明度。通过系统化的捐赠物资记录、分类储存和需求匹配,可以更好地实现对捐赠物资的全程管理和跟踪,提高物资利用效率,减少资源浪费,确保公益资源的公平分配和合理利用。
其次,社区捐赠物资管理系统有助于促进社区的公益事业发展和社会凝聚力的提升。系统的建立将增强社区居民的公益意识和参与度,鼓励更多人投身公益事业,促进社区居民之间的互助和合作,增强社区的凝聚力和社会责任感,推动社区和谐稳定的发展。
此外,社区捐赠物资管理系统的建立还有助于提升社区居民的满意度和获得感。通过系统的建立和运行,社区居民可以更加直观地了解到捐赠物资的使用情况和公益项目的进展,增强对公益事业的信任和支持,提高社区居民的满意度和获得感,增进社区居民对社区管理的认同感和归属感。
综上所述,研究开发社区捐赠物资管理系统将为社区公益事业的发展和社会凝聚力的提升做出重要贡献。该系统的建立有助于提高社区公益资源的管理效率和透明度,促进社区公益事业的蓬勃发展,提升社区居民的满意度和获得感,为社区的和谐稳定作出积极贡献。
在国内外,社区捐赠物资管理系统的研究和应用逐渐受到重视,并取得了一定的成果和进展。国外许多发达国家已经建立了成熟的社区捐赠物资管理系统,这些系统在提高社区公益资源的管理效率、促进社会凝聚力和支持社区公益事业方面发挥了积极作用。这些系统往往整合了捐赠物资的记录、管理、分配、需求匹配和流向追踪等功能,采用先进的信息技术手段和大数据分析技术,实现了对捐赠物资的精准管理和智能化利用。
国内,随着社会公益事业的不断发展,社区捐赠物资管理系统的研究也逐渐兴起。一些研究机构和社区组织开始关注该领域,探索建立适合中国国情的社区捐赠物资管理系统,以应对社会发展中的需求和挑战。这些系统在促进社区公益资源的高效利用、增强社区居民的公益意识和参与度方面具有重要意义,为社区的和谐发展和社会稳定做出贡献。
总的来说,国内外在社区捐赠物资管理系统的研究和应用方面都取得了一定的进展,这些系统的建立有助于提高社区公益资源的管理效率和透明度,促进社会凝聚力的提升和社区公益事业的发展。未来,随着信息技术的不断发展和社会公益事业的深入推进,社区捐赠物资管理系统将在国内外得到更广泛的应用和发展。
本系统前端部分基于MVVM模式进行开发,采用B/S模式,后端部分基于Java的springboot框架进行开发。
前端部分:前端框架采用了比较流行的渐进式JavaScript框架Vue.js。使用Vue-Router和Vuex实现动态路由和全局状态管理,Ajax实现前后端通信,Element UI组件库和Lay UI组件库使页面快速成型,项目前端通过栅格布局实现响应式,可适应PC端、平板端、手机端等不同屏幕大小尺寸的完美布局展示。
后端部分:采用springboot作为开发框架,同时集成MyBatis、Redis等相关技术。
MySQL数据库已经成为网络上的一种强大的工具,它能够支持多个用户,并且能够根据客户端和服务端的需求进行调整,从而满足不同的需求。在这里,服务端和客户端只是一种软件上的概念,而我们所使用的计算机硬件则没有必要完全相互匹配[1]。
MySQL作为一个受到广泛认可的开放式DBMS,其卓越的性能和易于操作的特性,以及其在多种操作环境中的灵活性,让其成为了众多AP中的首选。此外,MySQL还具有良好的跨平台性,让软件开发人员对其有着极高的评价。与传统的关联式数据库系统形式大相径庭,MySQL拥有一套完善的数据库管理策略,以确保用户的安全、稳健、安全。MySQL具备良好的容错、安全、快速、稳健的特点,使得MySQL成为一款极其实用的数据库管理工具[2]。
MySQL拥有一种独特的权限分配机制,可以根据用户的身份和业务逻辑,为用户提供更多的选择,从而大大提高了MySQL的安全性和完整性,远超过其他关系型数据库。
MySQL具有强大的功能,能够处理各种数据类型,包括动态、静态、多种语言,从而使用户能够轻松访问多种数据。
MySQL具有多种功能[3],它能够支持多种平台的开发,并且支持多种编程语言[4],使得用户能够轻松访问和使用MySQL数据库。
-
- Tomcat服务器
Tomcat是一种免费的服务器,它能够有效地处理大量的网络访问,特别是在访问量较少的情况下。当将Tomcat安装在电脑上时,它能够自动分析前端HTML页面的请求,从而提高网络的性能。事实上,Tomcat是对Apache的一种延伸[5],但它与Apache之间的关系更加紧密,因为它们在不同的进程中运行,而且它们之间也有着自己的独立性。
Tomcat最初由戴维森公司开发,但随着时间的推移,它逐渐成长为一个开源的服务器。后来,它被sun公司转移到了Apache软件基金会。最近,tomcat服务器经过了大量的重新设计和改进,使它更加易于使用。Tomcat负载均衡算法是一种免费的开源软件,它能够有效地减少硬件投入,使得它在一般的小企业网站服务器上的应用更加灵活,并且能够满足当前和未来的扩展需求。此外,它还可以作为其他类似应用的参考,以提高效率[6]。
-
- Java语言
Java语言在计算机的程序应用过程当中,属于非常重要的一个应用软件,因为它的性能比较高,而且能够应用在多重领域当中,因此该程序在计算机的软件程序应用当中的范围相对来说是比较广泛的。而从专业的技术角度来说,Java程序的应用的实用性也是非常强的,这是因为它与传统的C语言或C++相比没有太大的基本结构的变化,也就是说它的语法结构是相对单一,而且具有稳定的特性,还有更重要的一点是Java程序语言的基本参考对象就是C语言,所以他的程序编写并不是很复杂,而且还能够起到优化工作效率提升系统设计本身的基础功能的作用,因此他也就受到了非常广泛的程序员们的青睐。
在此次进行系统设计开发研究的过程当中,还发现Java程序语言之所以能够得到市场上更多用户的好评和青睐,其根本原因在于他能够具备各种语言的自身独特优点的展现,也就是说它的兼容性是常强的。因此,我们因此我们可以说在任何一个程序的开发过程当中,Java语言程序的应用是必不可少的,它他在程序员进行改动的时候,哪怕是一个程序字母的改动,都可以形成一种特定的程序,这是 Java程序,非常独特的另一个优点。不仅如此,Java源程序的可移植性也是非常大,而且它的安全系数很高,能够通过不同方式进行移植到其他程序当中,而且可以兼容不同程序的系统,在运行的过程当中,其安全系数也是非常强的,能够确保用户在使用网络的过程当中去确保网络的安全,而正是基于这样的可移植性,为程序员节约了很多的系统语言程序的开发设计的时间,这是非常难得的一种自有优势。
Spring框架是一个由SpringBoot公司发布的开放式框架,旨在通过其可扩展的特性来支持多种不同的编码方式[9]。尽管Spring框架不会影响任何特定的编码方式,但其出色的性价比和可扩展性,已经成为EJB(EnterpriseSpringBootBeans)框架的重要组成部分,并且一直得到越来越多的人的青睐。Spring框架不仅可以有效地支撑开发,而且还可以充分利用其独有的控制反转功能,以及支撑多种持久性技术,从而将托管对象的生命周期变得更加容易,并且可以支撑声明性的事务处理,还可以支撑多种Web框架,从而有效地推动开发。Spring框架拥有强大的IOC功能,可以轻松地实现SpringBoot对象的调度与操作,从而更好地支持项目的运行。此外,Spring还支持将SpringBoot对象的生命周期进行可视化,以实现更加灵活的调度与操作。Spring框架提供了一种新的、高效的容器设计工具,它能够根据XML文件和AOP注解的指引,从多个源中提取和组织相应的参数,从而实现多种功能。此外,它还提供了一种面向服务的框架,它能够根据用户的需求,自动调整参数,从而提高系统的效率和性能。Spring框架的AOP框架具有强大的功能,可以满足各种复杂的需求[10]。尽管AspectJ框架的性能不及其他框架,但是Spring AOP的出色表现使其在各种应用场景中都具有出色的表现,例如:在事务处理、远程控制、网络安全、数据共享、文件共享、网络安全协议、网络安全协议。SpringBoot的事务处理框架提供了一种灵活的方式,可以将不同的内容、不同的时间段、不同的类型的数据进行处理,并且可以将这些处理结果存储到一起。此外,Spring还提供了一系列的事务模型。Spring的事务框架提供了一种灵活的方式,它允许用户根据需要调整事务的类型,例如XML、SpringBoot等,同时还支持快速的消息传输、缓冲等特性,从而有效地帮助开发者处理日益增长的数据需求。这款应用程序拥有强大的功能,能够兼容各种常见的数据处理框架,包括SpringBoot、iBATS/MyBATIs、Hibernate、SpringBoot)数据对象(JDO)、Apache OJB、Apache Cayne等,并能够将其与Spring的事务处理功能相结合,从而实现更加高效的数据处理。SpringMVC最初的目的是要替代StrutsWeb框架,因此,开发者决定将其与传统的web页面框架进行改造,使其能更好地支持用户的访问。这样,SpringMVC就能更好地支持用户的需求,从而提高web页面的性能[11]。
本次设计基于Java语言,采用的是MySQL数据库和SpringBoot+vue框架实现,总体的可行性共分为以下三个方面。
社区捐赠物资管理系统在数据的存储上使用的MySQL数据库,在社区捐赠物资管理系统开发中使用了Java、HTML、Tomcat、SpringBoot、vue这些开发工具的使用,能够给我们的编写工作带来许多的便利。系统使用B/S模式进行开发,使系统的可扩展性和维护性更佳,减少系统配置代码,简化编程代码,目前B/S模式是目前最受欢迎的一种模式。
在项目上使用的工具大部分都是是当下流行开源免费的,所以在开发前期,开发时用于项目的经费将会大大降低,不会让开发该软件在项目启动期受到经费的影响,所以经济上还是可行的。尽量用最少的花费去满足用户的需求。省下经费用于人工费,以及设备费用。将在无纸化,高效率的道路上越走越远。
本系统实现功能的操作很简单,普通电脑的常见配置就可以运行本软件,并且只要粗通电脑使用的基本常识就可以流畅的使用本软件。电脑具备连接互联网的能力,并且可以正常访问系统,并不需要操作者有什么高超的能力,只需了解业务流程,并且按照专业知识进行正确操作即可,所以社区捐赠物资管理系统具备操作可行性。
社区捐赠物资管理系统的功能主要分为普通用户和后台管理员一共两个角色。
普通用户功能描述:
前台的主要功能模块有首页、物资信息、社区公告、社区资讯、我的账户、个人中心等。普通用户登录系统后不仅可以查看社区公告,浏览社区资讯,还可以查看物资信息并进行申领。在个人中心界面还可以对个人首页、物资捐赠、申请领取和收藏信息进行管理。普通用户用例图如下所示。

图3-1 普通用户用例图
管理员功能描述:
管理员的后台管理模块主要是对前台的注册普通用户和后台的护工用户、医生用户及管理员进行账户信息管理,同时对系统的系统用户、物资捐赠管理、物资信息管理、物资类型管理、申请领取管理、系统管理、社区公告管理、资源管理等信息进行管理。管理员用例图如下所示。

图3-2 管理员用例图
基于上面功能性需求,非功能需求也是项目设计中一项必定考虑进去的工作。首先是安全性的需求,其次是界面必须整洁干净等的需求,再次就是可扩展的需求。除此之外,还有性能、可靠性的需求,具体可以表示在如下表所示。
表3-6 系统非功能需求表
| 安全性 | 只有在登录的情况下才能进行相应功能的操作,尤其是管理员功能,防止后台管理端被侵入。 |
| 可靠性 | 系统的功能明确,操作一个功能,不会产生额外的功能影响,操作功能的时候,页面也不会造成额外的跳动。 |
| 性能 | 响应时间尽量控制在1s之内 |
| 可扩展性 | 后台采用自顶向下的开发,利于开发与维护。 |
| 易用性 | 在用户使用上,尽可能使用更多的图标进行功能暗示,提供系统的可阅读性和友好性。 |
| 可维护性 | 前台和后台注意按照模块化开发的原则,对于组件和方法的保存和包的建立需要遵照一般开发原则,以利于维护。 |
安全性对每一个系统来说都是非常重要的。安全性很好的系统可以保护企业的信息和用户的信息不被窃取。提高系统的安全性不仅是对用户的负责,更是对企业的负责。尤其针对于社区捐赠物资管理系统来说,必须要有很好的安全性来保障整个系统。
系统具有对使用者有权限控制,针对角色的不通限制使用者的权限,以此来确保系统的安全性。
数据库中的数据是从外界输入的,当数据的输入时,由于种种原因,输入的数据会无效,或者是脏数据。因此,怎样保证输入的数据符合规定,成为了数据库系统,尤其是多用户的关系数据库系统首要关注的问题。
因此,在写入数据库时,要保证数据完整性、正确性和一致性。
对系统的数据流进行分析,系统的使用者分为二类,前端用户和后台管理员。管理员权限下的工作流程主要为:管理员通过系统界面提供登录按钮并点击,转入管理员登录界面,并在界面上填入相应的管理员账户和管理员密码,进入管理员权限下的后台系统,并且在系统左侧导航条设置了相应的操作功能。
用户权限下的工作流程主要为:用户通过系统提供的注册功能,进行身份验证并注册,而后在登录界面进行个人身份验证,并且进入用户的个人后台界面,并进行相应的操作。
社区捐赠物资管理系统的业务流程如下图所示。

图3-4 系统业务流程图
社区捐赠物资管理系统总体分为普通用户模块和管理员模块。两个模块表现上是分别独立存在,但是访问的数据库是一样的。每一个模块的功能都是根据先前完成的需求分析,并查阅相关资料后整理制作的。
综上所述,系统功能结构图如下图所示。

图4-1 系统功能结构图
根据前面的数据流程图,结合系统的功能模块设计,设计出符合系统的各信息实体。
系统E-R图如下图所示。

图4-2 系统E-R图
数据库是社区捐赠物资管理系统的数据处理的基础,也是为界面数据的展示与存储的关键。社区捐赠物资管理系统的数据库表如下。
表access_token (登陆访问时长)
| 编号 | 名称 | 数据类型 | 长度 | 小数位 | 允许空值 | 主键 | 默认值 | 说明 |
| 1 | token_id | int | 10 | 0 | N | Y | 临时访问牌ID | |
| 2 | token | varchar | 64 | 0 | Y | N | 临时访问牌 | |
| 3 | info | text | 65535 | 0 | Y | N | ||
| 4 | maxage | int | 10 | 0 | N | N | 2 | 最大寿命:默认2小时 |
| 5 | create_time | timestamp | 19 | 0 | N | N | CURRENT_TIMESTAMP | 创建时间: |
| 6 | update_time | timestamp | 19 | 0 | N | N | CURRENT_TIMESTAMP | 更新时间: |
| 7 | user_id | int | 10 | 0 | N | N | 0 | 用户编号: |
| 编号 | 名称 | 数据类型 | 长度 | 小数位 | 允许空值 | 主键 | 默认值 | 说明 |
| 1 | apply_for_collection_id | int | 10 | 0 | N | Y | 申请领取ID | |
| 2 | regular_users | int | 10 | 0 | Y | N | 0 | 普通用户 |
| 3 | user_name | varchar | 64 | 0 | Y | N | 用户姓名 | |
| 4 | customer_type | varchar | 64 | 0 | Y | N | 用户类型 | |
| 5 | user_phone_number | varchar | 64 | 0 | Y | N | 用户电话 | |
| 6 | user_address | varchar | 64 | 0 | Y | N | 用户地址 | |
| 7 | material_name | varchar | 64 | 0 | Y | N | 物资名称 | |
| 8 | material_type | varchar | 64 | 0 | Y | N | 物资类型 | |
| 9 | material_specifications | varchar | 64 | 0 | Y | N | 物资规格 | |
| 10 | item_number | varchar | 64 | 0 | Y | N | 物资编号 | |
| 11 | application_date | date | 10 | 0 | Y | N | 申请日期 | |
| 12 | application_quantity | int | 10 | 0 | Y | N | 0 | 申请数量 |
| 13 | collection_method | varchar | 64 | 0 | Y | N | 领取方式 | |
| 14 | application_remarks | text | 65535 | 0 | Y | N | 申请备注 | |
| 15 | examine_state | varchar | 16 | 0 | N | N | 未审核 | 审核状态 |
| 16 | examine_reply | varchar | 16 | 0 | Y | N | 审核回复 | |
| 17 | create_time | datetime | 19 | 0 | N | N | CURRENT_TIMESTAMP | 创建时间 |
| 18 | update_time | timestamp | 19 | 0 | N | N | CURRENT_TIMESTAMP | 更新时间 |
| 编号 | 名称 | 数据类型 | 长度 | 小数位 | 允许空值 | 主键 | 默认值 | 说明 |
| 1 | article_id | mediumint | 8 | 0 | N | Y | 文章id:[0,8388607] | |
| 2 | title | varchar | 125 | 0 | N | Y | 标题:[0,125]用于文章和html的title标签中 | |
| 3 | type | varchar | 64 | 0 | N | N | 0 | 文章分类:[0,1000]用来搜索指定类型的文章 |
| 4 | hits | int | 10 | 0 | N | N | 0 | 点击数:[0,1000000000]访问这篇文章的人次 |
| 5 | praise_len | int | 10 | 0 | N | N | 0 | 点赞数 |
| 6 | create_time | timestamp | 19 | 0 | N | N | CURRENT_TIMESTAMP | 创建时间: |
| 7 | update_time | timestamp | 19 | 0 | N | N | CURRENT_TIMESTAMP | 更新时间: |
| 8 | source | varchar | 255 | 0 | Y | N | 来源:[0,255]文章的出处 | |
| 9 | url | varchar | 255 | 0 | Y | N | 来源地址:[0,255]用于跳转到发布该文章的网站 | |
| 10 | tag | varchar | 255 | 0 | Y | N | 标签:[0,255]用于标注文章所属相关内容,多个标签用空格隔开 | |
| 11 | content | longtext | 2147483647 | 0 | Y | N | 正文:文章的主体内容 | |
| 12 | img | varchar | 255 | 0 | Y | N | 封面图 | |
| 13 | description | text | 65535 | 0 | Y | N | 文章描述 |
| 编号 | 名称 | 数据类型 | 长度 | 小数位 | 允许空值 | 主键 | 默认值 | 说明 |
| 1 | type_id | smallint | 5 | 0 | N | Y | 分类ID:[0,10000] | |
| 2 | display | smallint | 5 | 0 | N | N | 100 | 显示顺序:[0,1000]决定分类显示的先后顺序 |
| 3 | name | varchar | 16 | 0 | N | N | 分类名称:[2,16] | |
| 4 | father_id | smallint | 5 | 0 | N | N | 0 | 上级分类ID:[0,32767] |
| 5 | description | varchar | 255 | 0 | Y | N | 描述:[0,255]描述该分类的作用 | |
| 6 | icon | text | 65535 | 0 | Y | N | 分类图标: | |
| 7 | url | varchar | 255 | 0 | Y | N | 外链地址:[0,255]如果该分类是跳转到其他网站的情况下,就在该URL上设置 | |
| 8 | create_time | timestamp | 19 | 0 | N | N | CURRENT_TIMESTAMP | 创建时间: |
| 9 | update_time | timestamp | 19 | 0 | N | N | CURRENT_TIMESTAMP | 更新时间: |
| 编号 | 名称 | 数据类型 | 长度 | 小数位 | 允许空值 | 主键 | 默认值 | 说明 |
| 1 | auth_id | int | 10 | 0 | N | Y | 授权ID: | |
| 2 | user_group | varchar | 64 | 0 | Y | N | 用户组: | |
| 3 | mod_name | varchar | 64 | 0 | Y | N | 模块名: | |
| 4 | table_name | varchar | 64 | 0 | Y | N | 表名: | |
| 5 | page_title | varchar | 255 | 0 | Y | N | 页面标题: | |
| 6 | path | varchar | 255 | 0 | Y | N | 路由路径: | |
| 7 | position | varchar | 32 | 0 | Y | N | 位置: | |
| 8 | mode | varchar | 32 | 0 | N | N | _blank | 跳转方式: |
| 9 | add | tinyint | 3 | 0 | N | N | 1 | 是否可增加: |
| 10 | del | tinyint | 3 | 0 | N | N | 1 | 是否可删除: |
| 11 | set | tinyint | 3 | 0 | N | N | 1 | 是否可修改: |
| 12 | get | tinyint | 3 | 0 | N | N | 1 | 是否可查看: |
| 13 | field_add | text | 65535 | 0 | Y | N | 添加字段: | |
| 14 | field_set | text | 65535 | 0 | Y | N | 修改字段: | |
| 15 | field_get | text | 65535 | 0 | Y | N | 查询字段: | |
| 16 | table_nav_name | varchar | 500 | 0 | Y | N | 跨表导航名称: | |
| 17 | table_nav | varchar | 500 | 0 | Y | N | 跨表导航: | |
| 18 | option | text | 65535 | 0 | Y | N | 配置: | |
| 19 | create_time | timestamp | 19 | 0 | N | N | CURRENT_TIMESTAMP | 创建时间: |
| 20 | update_time | timestamp | 19 | 0 | N | N | CURRENT_TIMESTAMP | 更新时间: |
| 编号 | 名称 | 数据类型 | 长度 | 小数位 | 允许空值 | 主键 | 默认值 | 说明 |
| 1 | collect_id | int | 10 | 0 | N | Y | 收藏ID: | |
| 2 | user_id | int | 10 | 0 | N | N | 0 | 收藏人ID: |
| 3 | source_table | varchar | 255 | 0 | Y | N | 来源表: | |
| 4 | source_field | varchar | 255 | 0 | Y | N | 来源字段: | |
| 5 | source_id | int | 10 | 0 | N | N | 0 | 来源ID: |
| 6 | title | varchar | 255 | 0 | Y | N | 标题: | |
| 7 | img | varchar | 255 | 0 | Y | N | 封面: | |
| 8 | create_time | timestamp | 19 | 0 | N | N | CURRENT_TIMESTAMP | 创建时间: |
| 9 | update_time | timestamp | 19 | 0 | N | N | CURRENT_TIMESTAMP | 更新时间: |
| 编号 | 名称 | 数据类型 | 长度 | 小数位 | 允许空值 | 主键 | 默认值 | 说明 |
| 1 | comment_id | int | 10 | 0 | N | Y | 评论ID: | |
| 2 | user_id | int | 10 | 0 | N | N | 0 | 评论人ID: |
| 3 | reply_to_id | int | 10 | 0 | N | N | 0 | 回复评论ID:空为0 |
| 4 | content | longtext | 2147483647 | 0 | Y | N | 内容: | |
| 5 | nickname | varchar | 255 | 0 | Y | N | 昵称: | |
| 6 | avatar | varchar | 255 | 0 | Y | N | 头像地址:[0,255] | |
| 7 | create_time | timestamp | 19 | 0 | N | N | CURRENT_TIMESTAMP | 创建时间: |
| 8 | update_time | timestamp | 19 | 0 | N | N | CURRENT_TIMESTAMP | 更新时间: |
| 9 | source_table | varchar | 255 | 0 | Y | N | 来源表: | |
| 10 | source_field | varchar | 255 | 0 | Y | N | 来源字段: | |
| 11 | source_id | int | 10 | 0 | N | N | 0 | 来源ID: |
| 编号 | 名称 | 数据类型 | 长度 | 小数位 | 允许空值 | 主键 | 默认值 | 说明 |
| 1 | hits_id | int | 10 | 0 | N | Y | 点赞ID: | |
| 2 | user_id | int | 10 | 0 | N | N | 0 | 点赞人: |
| 3 | create_time | timestamp | 19 | 0 | N | N | CURRENT_TIMESTAMP | 创建时间: |
| 4 | update_time | timestamp | 19 | 0 | N | N | CURRENT_TIMESTAMP | 更新时间: |
| 5 | source_table | varchar | 255 | 0 | Y | N | 来源表: | |
| 6 | source_field | varchar | 255 | 0 | Y | N | 来源字段: | |
| 7 | source_id | int | 10 | 0 | N | N | 0 | 来源ID: |
| 编号 | 名称 | 数据类型 | 长度 | 小数位 | 允许空值 | 主键 | 默认值 | 说明 |
| 1 | material_donation_id | int | 10 | 0 | N | Y | 物资捐赠ID | |
| 2 | regular_users | int | 10 | 0 | Y | N | 0 | 普通用户 |
| 3 | user_name | varchar | 64 | 0 | Y | N | 用户姓名 | |
| 4 | customer_type | varchar | 64 | 0 | Y | N | 用户类型 | |
| 5 | user_phone_number | varchar | 64 | 0 | Y | N | 用户电话 | |
| 6 | material_name | varchar | 64 | 0 | Y | N | 物资名称 | |
| 7 | quantity_of_materials | int | 10 | 0 | Y | N | 0 | 物资数量 |
| 8 | material_type | varchar | 64 | 0 | Y | N | 物资类型 | |
| 9 | donation_date | date | 10 | 0 | Y | N | 捐赠日期 | |
| 10 | donation_remarks | text | 65535 | 0 | Y | N | 捐赠备注 | |
| 11 | examine_state | varchar | 16 | 0 | N | N | 未审核 | 审核状态 |
| 12 | examine_reply | varchar | 16 | 0 | Y | N | 审核回复 | |
| 13 | create_time | datetime | 19 | 0 | N | N | CURRENT_TIMESTAMP | 创建时间 |
| 14 | update_time | timestamp | 19 | 0 | N | N | CURRENT_TIMESTAMP | 更新时间 |
| 编号 | 名称 | 数据类型 | 长度 | 小数位 | 允许空值 | 主键 | 默认值 | 说明 |
| 1 | material_information_id | int | 10 | 0 | N | Y | 物资信息ID | |
| 2 | material_name | varchar | 64 | 0 | Y | N | 物资名称 | |
| 3 | material_specifications | varchar | 64 | 0 | Y | N | 物资规格 | |
| 4 | item_number | varchar | 64 | 0 | N | N | 物资编号 | |
| 5 | material_pictures | varchar | 255 | 0 | Y | N | 物资图片 | |
| 6 | material_type | varchar | 64 | 0 | Y | N | 物资类型 | |
| 7 | quantity_of_materials | int | 10 | 0 | Y | N | 0 | 物资数量 |
| 8 | material_introduction | text | 65535 | 0 | Y | N | 物资简介 | |
| 9 | application_remarks | text | 65535 | 0 | Y | N | 申领备注 | |
| 10 | hits | int | 10 | 0 | N | N | 0 | 点击数 |
| 11 | praise_len | int | 10 | 0 | N | N | 0 | 点赞数 |
| 12 | create_time | datetime | 19 | 0 | N | N | CURRENT_TIMESTAMP | 创建时间 |
| 13 | update_time | timestamp | 19 | 0 | N | N | CURRENT_TIMESTAMP | 更新时间 |
| 编号 | 名称 | 数据类型 | 长度 | 小数位 | 允许空值 | 主键 | 默认值 | 说明 |
| 1 | material_type_id | int | 10 | 0 | N | Y | 物资类型ID | |
| 2 | material_type | varchar | 64 | 0 | Y | N | 物资类型 | |
| 3 | create_time | datetime | 19 | 0 | N | N | CURRENT_TIMESTAMP | 创建时间 |
| 4 | update_time | timestamp | 19 | 0 | N | N | CURRENT_TIMESTAMP | 更新时间 |
| 编号 | 名称 | 数据类型 | 长度 | 小数位 | 允许空值 | 主键 | 默认值 | 说明 |
| 1 | notice_id | mediumint | 8 | 0 | N | Y | 公告id: | |
| 2 | title | varchar | 125 | 0 | N | N | 标题: | |
| 3 | content | longtext | 2147483647 | 0 | Y | N | 正文: | |
| 4 | create_time | timestamp | 19 | 0 | N | N | CURRENT_TIMESTAMP | 创建时间: |
| 5 | update_time | timestamp | 19 | 0 | N | N | CURRENT_TIMESTAMP | 更新时间: |
| 编号 | 名称 | 数据类型 | 长度 | 小数位 | 允许空值 | 主键 | 默认值 | 说明 |
| 1 | praise_id | int | 10 | 0 | N | Y | 点赞ID: | |
| 2 | user_id | int | 10 | 0 | N | N | 0 | 点赞人: |
| 3 | create_time | timestamp | 19 | 0 | N | N | CURRENT_TIMESTAMP | 创建时间: |
| 4 | update_time | timestamp | 19 | 0 | N | N | CURRENT_TIMESTAMP | 更新时间: |
| 5 | source_table | varchar | 255 | 0 | Y | N | 来源表: | |
| 6 | source_field | varchar | 255 | 0 | Y | N | 来源字段: | |
| 7 | source_id | int | 10 | 0 | N | N | 0 | 来源ID: |
| 8 | status | bit | 1 | 0 | N | N | 1 | 点赞状态:1为点赞,0已取消 |
| 编号 | 名称 | 数据类型 | 长度 | 小数位 | 允许空值 | 主键 | 默认值 | 说明 |
| 1 | regular_users_id | int | 10 | 0 | N | Y | 普通用户ID | |
| 2 | user_name | varchar | 64 | 0 | Y | N | 用户姓名 | |
| 3 | customer_type | varchar | 64 | 0 | Y | N | 用户类型 | |
| 4 | user_phone_number | varchar | 64 | 0 | Y | N | 用户电话 | |
| 5 | user_address | varchar | 64 | 0 | Y | N | 用户地址 | |
| 6 | examine_state | varchar | 16 | 0 | N | N | 已通过 | 审核状态 |
| 7 | user_id | int | 10 | 0 | N | N | 0 | 用户ID |
| 8 | create_time | datetime | 19 | 0 | N | N | CURRENT_TIMESTAMP | 创建时间 |
| 9 | update_time | timestamp | 19 | 0 | N | N | CURRENT_TIMESTAMP | 更新时间 |
| 编号 | 名称 | 数据类型 | 长度 | 小数位 | 允许空值 | 主键 | 默认值 | 说明 |
| 1 | slides_id | int | 10 | 0 | N | Y | 轮播图ID: | |
| 2 | title | varchar | 64 | 0 | Y | N | 标题: | |
| 3 | content | varchar | 255 | 0 | Y | N | 内容: | |
| 4 | url | varchar | 255 | 0 | Y | N | 链接: | |
| 5 | img | varchar | 255 | 0 | Y | N | 轮播图: | |
| 6 | hits | int | 10 | 0 | N | N | 0 | 点击量: |
| 7 | create_time | timestamp | 19 | 0 | N | N | CURRENT_TIMESTAMP | 创建时间: |
| 8 | update_time | timestamp | 19 | 0 | N | N | CURRENT_TIMESTAMP | 更新时间: |
| 编号 | 名称 | 数据类型 | 长度 | 小数位 | 允许空值 | 主键 | 默认值 | 说明 |
| 1 | upload_id | int | 10 | 0 | N | Y | 上传ID | |
| 2 | name | varchar | 64 | 0 | Y | N | 文件名 | |
| 3 | path | varchar | 255 | 0 | Y | N | 访问路径 | |
| 4 | file | varchar | 255 | 0 | Y | N | 文件路径 | |
| 5 | display | varchar | 255 | 0 | Y | N | 显示顺序 | |
| 6 | father_id | int | 10 | 0 | Y | N | 0 | 父级ID |
| 7 | dir | varchar | 255 | 0 | Y | N | 文件夹 | |
| 8 | type | varchar | 32 | 0 | Y | N | 文件类型 |
| 编号 | 名称 | 数据类型 | 长度 | 小数位 | 允许空值 | 主键 | 默认值 | 说明 |
| 1 | user_id | mediumint | 8 | 0 | N | Y | 用户ID:[0,8388607]用户获取其他与用户相关的数据 | |
| 2 | state | smallint | 5 | 0 | N | N | 1 | 账户状态:[0,10](1可用|2异常|3已冻结|4已注销) |
| 3 | user_group | varchar | 32 | 0 | Y | N | 所在用户组:[0,32767]决定用户身份和权限 | |
| 4 | login_time | timestamp | 19 | 0 | N | N | CURRENT_TIMESTAMP | 上次登录时间: |
| 5 | phone | varchar | 11 | 0 | Y | N | 手机号码:[0,11]用户的手机号码,用于找回密码时或登录时 | |
| 6 | phone_state | smallint | 5 | 0 | N | N | 0 | 手机认证:[0,1](0未认证|1审核中|2已认证) |
| 7 | username | varchar | 16 | 0 | N | N | 用户名:[0,16]用户登录时所用的账户名称 | |
| 8 | nickname | varchar | 16 | 0 | Y | N | 昵称:[0,16] | |
| 9 | password | varchar | 64 | 0 | N | N | 密码:[0,32]用户登录所需的密码,由6-16位数字或英文组成 | |
| 10 | | varchar | 64 | 0 | Y | N | 邮箱:[0,64]用户的邮箱,用于找回密码时或登录时 | |
| 11 | email_state | smallint | 5 | 0 | N | N | 0 | 邮箱认证:[0,1](0未认证|1审核中|2已认证) |
| 12 | avatar | varchar | 255 | 0 | Y | N | 头像地址:[0,255] | |
| 13 | open_id | varchar | 255 | 0 | Y | N | 针对获取用户信息字段 | |
| 14 | create_time | timestamp | 19 | 0 | N | N | CURRENT_TIMESTAMP | 创建时间: |
| 15 | vip_level | varchar | 255 | 0 | Y | N | 会员等级 | |
| 16 | vip_discount | double | 11 | 2 | Y | N | 0.00 | 会员折扣 |
| 编号 | 名称 | 数据类型 | 长度 | 小数位 | 允许空值 | 主键 | 默认值 | 说明 |
| 1 | group_id | mediumint | 8 | 0 | N | Y | 用户组ID:[0,8388607] | |
| 2 | display | smallint | 5 | 0 | N | N | 100 | 显示顺序:[0,1000] |
| 3 | name | varchar | 16 | 0 | N | N | 名称:[0,16] | |
| 4 | description | varchar | 255 | 0 | Y | N | 描述:[0,255]描述该用户组的特点或权限范围 | |
| 5 | source_table | varchar | 255 | 0 | Y | N | 来源表: | |
| 6 | source_field | varchar | 255 | 0 | Y | N | 来源字段: | |
| 7 | source_id | int | 10 | 0 | N | N | 0 | 来源ID: |
| 8 | register | smallint | 5 | 0 | Y | N | 0 | 注册位置: |
| 9 | create_time | timestamp | 19 | 0 | N | N | CURRENT_TIMESTAMP | 创建时间: |
第5章 系统实现
5.1前台用户模块的实现
5.1.1用户首页模块
首页主要分别展示各个模块的最新动态,浏览者可以很清楚地看到不同模块的最新更新内容。并且系统首页每个部分可以跳转到相对应的模块,方便浏览者选择感兴趣的地方。
前端首页载入流程图如下所示。

图5-1 首页载入流程
前端首页如下图所示。

图5-2 首页界面
5.1.2用户登录模块
在登录界面中输入用户名+密码,点击“登录”按钮,系统会在用户数据库表中匹配相应用户的帐户,如果用户名+密码正确,则会登录到系统中每个用户的主管理界面,否则会提示相应的信息,如果是忘记了密码,请返回登录界面。
用户登录流程图如下所示。

图5-3登录流程图
系统登录界面如下所示。

图5-4系统登录界面
登录的逻辑代码如下所示。
/**
* 登录
* @param data
* @param httpServletRequest
* @return
*/
@PostMapping("login")
public Map<String, Object> login(@RequestBody Map<String, String> data, HttpServletRequest httpServletRequest) {
log.info("[执行登录接口]");
String username = data.get("username");
String email = data.get("email");
String phone = data.get("phone");
String password = data.get("password");
List resultList = null;
Map<String, String> map = new HashMap<>();
if(username != null && "".equals(username) == false){
map.put("username", username);
resultList = service.select(map, new HashMap<>()).getResultList();
}
else if(email != null && "".equals(email) == false){
map.put("email", email);
resultList = service.select(map, new HashMap<>()).getResultList();
}
else if(phone != null && "".equals(phone) == false){
map.put("phone", phone);
resultList = service.select(map, new HashMap<>()).getResultList();
}else{
return error(30000, "账号或密码不能为空");
}
if (resultList == null || password == null) {
return error(30000, "账号或密码不能为空");
}
//判断是否有这个用户
if (resultList.size()<=0){
return error(30000,"用户不存在");
}
User byUsername = (User) resultList.get(0);
Map<String, String> groupMap = new HashMap<>();
groupMap.put("name",byUsername.getUserGroup());
List groupList = userGroupService.select(groupMap, new HashMap<>()).getResultList();
if (groupList.size()<1){
return error(30000,"用户组不存在");
}
UserGroup userGroup = (UserGroup) groupList.get(0);
//查询用户审核状态
if (!StringUtils.isEmpty(userGroup.getSourceTable())){
String sql = "select examine_state from "+ userGroup.getSourceTable() +" WHERE user_id = " + byUsername.getUserId();
String res = String.valueOf(service.runCountSql(sql).getSingleResult());
if (res==null){
return error(30000,"用户不存在");
}
if (!res.equals("已通过")){
return error(30000,"该用户审核未通过");
}
}
//查询用户状态
if (byUsername.getState()!=1){
return error(30000,"用户非可用状态,不能登录");
}
String md5password = service.encryption(password);
if (byUsername.getPassword().equals(md5password)) {
// 存储Token到数据库
AccessToken accessToken = new AccessToken();
accessToken.setToken(UUID.randomUUID().toString().replaceAll("-", ""));
accessToken.setUser_id(byUsername.getUserId());
tokenService.save(accessToken);
// 返回用户信息
JSONObject user = JSONObject.parseObject(JSONObject.toJSONString(byUsername));
user.put("token", accessToken.getToken());
JSONObject ret = new JSONObject();
ret.put("obj",user);
return success(ret);
} else {
return error(30000, "账号或密码不正确");
}
}
5.1.3用户注册模块
当用户点击右上角“注册”按钮的时候,当填写上自己的账号+密码+确认密码+昵称+邮箱+手机号等信息后再点击“注册”按钮后将会先验证输入的有没有空数据,再次验证密码和确认密码是否是一样的,最后验证输入的账户名和数据库表中已经注册的账户名是否重复,只有都验证没问题后即可注册成功。
用户注册流程图如下所示。

图5-5 用户注册流程
用户注册界面展示图如下所示。

图5-6 用户注册界面
注册关键代码如下所示。
/**
* 注册
* @param user
* @return
*/
@PostMapping("register")
public Map<String, Object> signUp(@RequestBody User user) {
// 查询用户
Map<String, String> query = new HashMap<>();
Map<String,Object> map = JSON.parseObject(JSON.toJSONString(user));
query.put("username",user.getUsername());
List list = service.selectBaseList(service.select(query, new HashMap<>()));
if (list.size()>0){
return error(30000, "用户已存在");
}
map.put("password",service.encryption(String.valueOf(map.get("password"))));
service.insert(map);
return success(1);
}
5.1.4个人资料模块
当您完成/注册操作,您就能够更新您的个人资料。您需要确保您的inputname值能够和您所属的实体类型的参数完全对应。当您更新您的个人资料时,您的账号密码应当保持完整,不能出现任何错误。您需要确保您的账号密码是唯一的,才能继续使用。
密码修改流程图如下所示。

图5-7密码修改流程图
密码修改界面如下所示。

图5-8密码修改界面
密码修改的逻辑代码如下所示。
/**
* 修改密码
* @param data
* @param request
* @return
*/
@PostMapping("change_password")
public Map<String, Object> change_password(@RequestBody Map<String, String> data, HttpServletRequest request){
// 根据Token获取UserId
String token = request.getHeader("x-auth-token");
Integer userId = tokenGetUserId(token);
// 根据UserId和旧密码获取用户
Map<String, String> query = new HashMap<>();
String o_password = data.get("o_password");
query.put("user_id" ,String.valueOf(userId));
query.put("password" ,service.encryption(o_password));
int count = service.selectBaseCount(service.count(query, service.readConfig(request)));
if(count > 0){
// 修改密码
Map<String,Object> form = new HashMap<>();
form.put("password",service.encryption(data.get("password")));
service.update(query,service.readConfig(request),form);
return success(1);
}
return error(10000,"密码修改失败!");
}
5.1.5物资信息模块
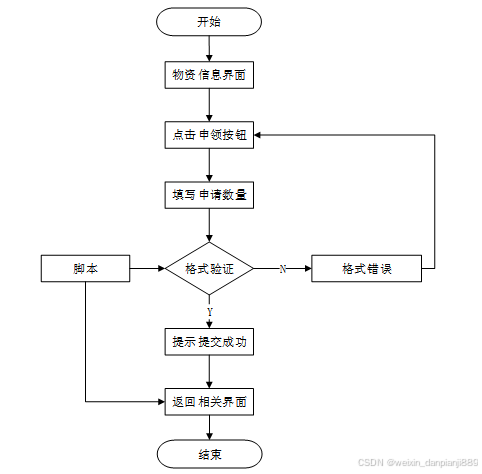
普通用户通过“物资信息”详情的“申请领取”按钮填写捐助金额。
申请领取物资信息功能整体流程:普通用户浏览物资信息时,同时会显示物资信息的状态,系统会在其显示详细信息的页面时便会判断物资信息的状态,若物资信息状态为可申请领取,则会显示申请领取的链接按钮。在用户点击申请领取按钮时,会先通过拦截器判断用户是否登录,若未登录,会跳转至登录页面,提示用户先登录,若为登录用户就会跳转至填写申请领取信息的页面,填写好申请领取信息之后,点击提交按钮,申请领取成功之后返回提示信息,告知用户申请领取成功。
申请领取流程图如下图所示。

图5-9申请领取流程图
物资详情界面如下图所示。

图5-10物资详情界面

图5-11申请领取界面图
5.1.6社区资讯模块
普通用户在“社区资讯”页面可通过关键字进行快速搜索查询社区资讯信息,点击“详情”可查看标题、标签、内容、封面图等详细信息,并可对社区资讯进行点赞、收藏、评论等操作。
社区资讯详情界面如下图所示。
图5-12社区资讯详情界面
5.1.8普通用户个人中心模块
普通用户点击右上角“个人中心”模块,可以查看和管理个人相关的信息和任务,包括个人首页、捐赠物资、申请领取和收藏功能模块。
普通用户个人中心界面如下图所示。
图5-13普通用户个人中心界面
5.3.6捐赠物资模块
用户在“捐赠物资”页面可查看自己捐赠物资的信息并可以进行物资的捐赠操作,填写捐赠物资的信息并提交,方便用户进行爱心捐助行为,并可对捐赠物资信息进行查询、重置等操作,添加捐赠物资界面如下图所示。
图5-14添加捐赠物资界面
5.2后台管理员管理模块
5.2.1系统用户管理模块
后台管理员在“系统用户”这一菜单中可以对注册的普通用户和管理员进行管控,系统用户管理界面如下图所示。
图5-15系统用户管理界面
5.3.2物资捐赠管理模块
管理员点击“物资捐赠管理”菜单可以用户的物资捐赠信息,包括用户姓名、用户类型、用户电话、物资名称、物资数量、物资类型、捐赠日期、捐赠备注等信息,管理员进行审核物资捐赠信息,审核物资捐赠界面如下所示。
图5-15审核物资捐赠界面
5.3.3物资信息管理
管理员在“物资信息列表”菜单可以对系统的物资信息进行管理,查看到系统中的所有物资信息,对已经存在的物资信息,管理员可以修改,也可以发布新的物资信息。同时,可查看前台用户的评论信息并进行管控,物资信息管理界面如下所示。
图5-16物资信息管理界面
5.3.4申请领取管理
管理员在“申请领取列表”可查看用户的申请领取信息,负责审核和管理社区居民的物资领取申请,包括审核申请信息、分配物资等,确保物资的合理分配和利用,满足社区居民的需求,领取信息审核界面如下图所示。
图5-17申请领取审核界面
5.3.4资源管理
管理员点击“资源管理”菜单可以对系统中的社区资讯以及资讯分类进行添加、重置、查询、删除等管理。同时,可查看前台用户的评论信息并进行管控,资源管理界面如下所示。
图5-17资源管理界面
5.3.5系统管理模块
管理员点击“轮播图管理”菜单可以对系统的轮播图进行管理,查看到系统中的所有轮播图信息,对已经存在的轮播图,管理员可以修改,也可以发布新的轮播图信息。轮播图管理界面如下所示。
图5-18 轮播图管理界面
第六章 系统测试
6.1测试目的
对任何系统而言,测试都是必不可少的环节,测试可以发现系统存在的很多问题,所有的软件上线之前,都应该进行充足的测试之后才能保证上线后不会Bug频发,或者是功能不满足需求等问题的发生。下面分别从单元测试,功能测试和用例测试来对系统进行测试以保证系统的稳定性和可靠性。
6.2功能测试
下表是系统登录功能测试用例,检测了用户名和密码的不同的输入情况,观察系统的响应情况。得出该功能达到了设计目标。
表6-1 系统登录功能测试用例
| 功能描述 | 用于系统登录 | |
| 测试目的 | 检测登录时的合法性检查 | |
| 测试数据以及操作 | 预期结果 | 实际结果 |
| 输入的用户名和密码带有非法字符 | 提示用户名或者密码错误 | 与预期结果一致 |
| 输入的用户名或者密码为空 | 提示用户名或者密码错误 | 与预期结果一致 |
| 输入的用户名和密码不存在 | 提示用户名或者密码错误 | 与预期结果一致 |
| 输入正确的用户名和密码 | 登录成功 | 与预期结果一致 |
下表是注册功能测试用例,检测了各种数据的输入情况,观察系统的响应情况。得出该功能达到了设计目标。
表6-2 注册功能测试用例
| 功能描述 | 用于用户注册 | |
| 测试目的 | 检测用户注册时的合法性检查 | |
| 测试数据以及操作 | 预期结果 | 实际结果 |
| 输入的手机号不合法 | 提示请输入正确的手机号码 | 与预期结果一致 |
| 输入的字段为空 | 提示必填项不能为空 | 与预期结果一致 |
| 输入的密码少于6位 | 提示密码必须为6-12位 | 与预期结果一致 |
| 输入的密码大于12位 | 提示密码必须为6-12位 | 与预期结果一致 |
下表是物资信息管理功能的测试用例,检测了物资信息管理中对物资信息的增加,删除,修改,查询操作是否成功运行。观察系统的响应情况,得出该功能也达到了设计目标,系统运行正确。
前置条件;用户登录系统。
表6-3物资信息管理的测试用例
| 功能描述 | 用于物资信息管理 | |
| 测试目的 | 检测物资信息管理时的各种操作的运行情况 | |
| 测试数据以及操作 | 预期结果 | 实际结果 |
| 点击添加物资信息,必填项合法输入,点击保存 | 提示添加成功 | 与预期结果一致 |
| 点击添加物资信息,必填项输入不合法,点击保存 | 提示必填项不能为空 | 与预期结果一致 |
| 点击修改物资信息,必填项修改为空,点击保存 | 提示必填项不能为空 | 与预期结果一致 |
| 点击修改物资信息,必填项输入不合法,点击保存 | 提示必填项不能为空 | 与预期结果一致 |
| 点击删除物资信息,选择养老院房间删除 | 提示删除成功 | 与预期结果一致 |
| 点击搜索物资信息,输入存在的活动名 | 查找出公益活动 | 与预期结果一致 |
| 点击搜索物资信息,输入不存在的活动名 | 不显示公益活动 | 与预期结果一致 |
下表是针对物资信息的申请领取功能的测试用例,检测了申请领取的操作是否成功运行。观察系统的响应情况,得出该功能也达到了设计目标,系统运行正确。
前置条件;用户登录系统。
表6-5 物资信息的申请领取测试用例
| 功能描述 | 用于物资信息的申请领取 | |
| 测试目的 | 检测申请领取时各种操作的情况 | |
| 测试数据以及操作 | 预期结果 | 实际结果 |
| 未填写申请数量,点击提交 | 提示请填写申请数量 | 与预期结果一致 |
| 未输入申请数量,点击提交 | 提示请输入申请数量 | 与预期结果一致 |
6.3系统测试结果
通过对社区捐赠物资管理系统的调试,能够检测社区捐赠物资管理系统的稳定性,为社区捐赠物资管理系统正式运行、稳定运行提供了可预测性的维护备案。能够帮助使用者熟悉整个社区捐赠物资管理系统,并对社区捐赠物资管理系统可能出现的错误有所了解。本章节提供了部分调试用例及调试日志,可以帮助使用者解决简单的错误问题,也加深了开发者对于此框架下的社区捐赠物资管理系统编写的了解度,为后期开发者顺利完成社区捐赠物资管理系统、发布物资信息提供了非常大的帮助。
第七章总结与展望
在开发本社区捐赠物资管理系统之前我胸有成竹,觉得很简单,但在实际的开发中我发现了自身的很多问题,许多编程思想和方法都还没有掌握牢靠,比如AJAX 、SpringBoot、Mybatis等许多Java Web开发技术,通过开发这个社区捐赠物资管理系统我成长了很多,懂得了做什么事情都要脚踏实地,不能眼高手低,在本次社区捐赠物资管理系统的开发中我逐渐掌握逐渐熟悉的技术。
本次社区捐赠物资管理系统的开发中我还学会了很多,例如良好的编程思想和完善的规划思想。在着手编程之前需要罗列出程序框架的大概,脑海中构建出程序的主题框架。做好这一步我们才能胸有成竹的经行开发项目。当设计框架了熟于心之后,需要思考本次编程所需的主要知识点和技术点,并充分学习。如此一来项目的开发才能循序渐进、如丝般顺滑,长久以往就能养成良好的开发习惯。一个程序好不好还要看出的bug多不多,如果在项目完成前做好bug的查验与预防可能发生的事故才能保证程序的稳定长久性运行。如果项目在完工后出现各种问题自己,那么在进入社会后,不仅会给公司团队带来麻烦和增加不必要的工作,还会导致客户流失,公司对自己的评价下降。
在本次项目中我也暴露了诸多问题。对于SpringBoot+vue的编程知识有所欠缺,环境配置和算法上出现诸多问题,时常导致项目运行出错,或者目标的实现有问题。或者实现想法时算法未优化,使得代码冗长,程序运行不顺畅。
参考文献
[1]马庆. 计算机软件开发中JAVA编程语言的应用[J]. 山西电子技术, 2023, (06): 84-86+98.
[2]杨华, 徐扬. MySQL数据库对中文编码支持的探讨[J]. 网络安全和信息化, 2023, (10): 157-160.
[3]Ping Gui, Zufeng Yang, Jun Che. Research on the path choice behavior of donated materials under major epidemics[J]. Kybernetes, 2023, 52 (9): 3338-3361.
[4]陈刚. 基于SpringBoot+Thymeleaf+MySQL的动态表单功能模块设计与实现[J]. 长江信息通信, 2023, 36 (09): 100-102.
[5]赵停停. 基于MySQL数据库技术的Web动态网页设计研究[J]. 信息与电脑(理论版), 2023, 35 (17): 174-176.
[6]唐保华. 安龙县防控新冠肺炎疫情纪实 黔西南阳光公益协会向九龙社区捐赠抗疫物资, 唐保华 主编, 安龙年鉴, 云南出版集团云南人民出版社, 2021, 53,
[7]赵康旭. 基于治理能力现代化的突发公共事件捐赠物资审计研究[D]. 山西财经大学, 2023.
[8]陈炎林. 全国台联助力榆中农村地区疫情防控物资捐赠仪式在甘肃榆中举办[J]. 台声, 2023, (05): 43.
[9]抗疫有我|华洋农垦享购 捐赠物资志愿服务,助力疫情防控[J]. 中国农垦, 2022, (12): 12.
[10]毛茂 主编. 精神文明建设 省公路局深入桃苑社区开展爱心防疫物资捐赠活动, 毛茂 主编, 江西交通年鉴, 江西人民出版社, 2021, 234,
[11]刘志新. 疫情防控 2020年疫情期间,琴断口街道七里庙社区志愿者搬运社会捐赠物资, 钟贤超,熊婕 主编, 汉阳年鉴, 长江出版社, 2021, 28,
[12]李萌, 陈智慧, 陈毅飞. 一种基于隐私合约技术的捐赠系统与方法[P]. 安徽省: CN114897611A, 2022-08-12.
[13]金明杰 主编. 致敬:最美抗疫 2020年,天宁区红十字会累计接收捐赠善款642.44万元,物资捐赠价值564.88万元,用于支持医疗机构、援鄂医务人员和救援队、学校、社区等开展疫情防控, 金明杰 主编, 天宁年鉴, 凤凰出版社, 2021, 27-28,
[14]万夏梅. WH市红十字会捐赠物资跟踪审计案例分析[D]. 江西财经大学, 2022.
[15]张伟娜, 李曼. 省档案馆向马蹄湾社区捐赠防疫物资[J]. 陕西档案, 2022, (01): 2.
[16]夏靓. 同心抗疫 2020年4月16日,鑫鼎集团、清华经管EMBA湖北宜昌校友会、湖北省宜昌市思源慈善基金会向城东社区卫生服务中心捐赠物资, 严伟 主编, 伍家岗年鉴, 三峡电子音像出版社, 2021, 34,
[17]图片 2020年12月24日,山东国信向当地社区环卫工人捐赠防疫物资, 中国信托业年鉴, 中国金融出版社, 2020-2021, 64,
[18]WHO provides health care support, donates materials to Adamawa State Government to curb cholera outbreak[J]. M2 Presswire, 2021,
[19]张中泽. A市红十字会社会捐赠物资的管理问题及对策分析[D]. 华中师范大学, 2021.
[20]Eastman donates material for face shield production[J]. M2 Presswire, 2020,
致谢
这篇文章的完成经历了多个日日夜夜的努力,终于在今天得以完成。这篇文章的创作过程实为不易,但在老师和同学的辛勤帮助下顺利渡过。让我在设计过程中举步维艰时,非常感谢我的导师不耐其烦的帮助我解决问题,给予了我许多指导意见。也感谢所有为我授业解惑的老师!
另外,本文的完成也参考借鉴了许多国内外在SpringBoot技术上的著作,如果没有著作原作的辛勤付出和科研成果,我也很难完成本论文。感谢在本论文中关联到的学者们!也感谢Google等公司,感谢他们强大的搜索引擎,让我的资料查阅省事简单。
感谢之余也还有几句话要说,虽大学学习四年,怎奈何本人才疏学浅,本文的完成已为尽力,但文中不免有些不当和错误之处,诚挚真切的请求各位老师对本文的批评改正,感谢百忙之中费心审阅我论文的老师。
免费领取项目源码,请关注❥点赞收藏并私信博主,谢谢~

被折叠的 条评论
为什么被折叠?



