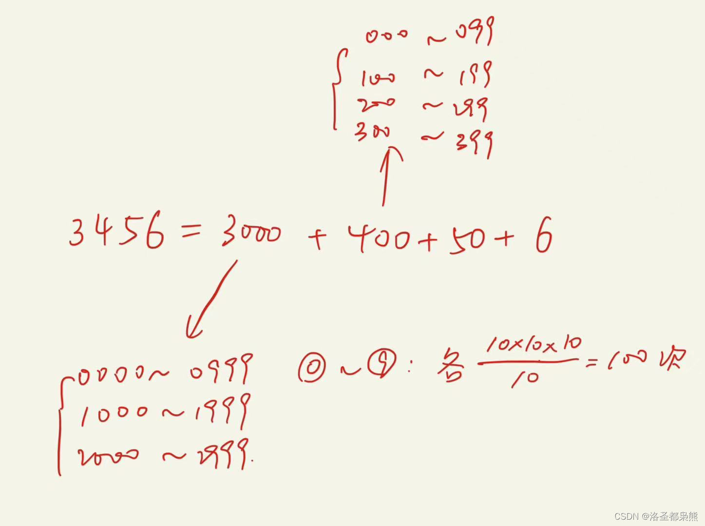
题目描述:统计 m ~ n 中,0 ~ 9 各数字出现的次数。
思路:对 k 进行拆分;能做到统计 0 ~ k 中各数字出现的次数即可。

【algo】
最新推荐文章于 2025-11-24 15:27:16 发布
本文介绍了如何通过将整数k拆分成0~k中的各个数字来统计m到n范围内0到9的数字出现次数的方法。
本文介绍了如何通过将整数k拆分成0~k中的各个数字来统计m到n范围内0到9的数字出现次数的方法。
题目描述:统计 m ~ n 中,0 ~ 9 各数字出现的次数。
思路:对 k 进行拆分;能做到统计 0 ~ k 中各数字出现的次数即可。

2万+
197

被折叠的 条评论
为什么被折叠?