很多游戏描述的世界都会含有流体表面,他们可能是个水池,可能是桶强酸,或者一个熔岩坑。为使这些对象的表面如同物理世界一样,需要模拟波在液体表面的扰动传播方式。
水池

波动方程
波动方程是一个偏微分方程,表示为在恒定张力下的一维线或二维面上每一个点的运动方式
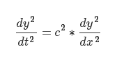
一维线波动方程为:

c为波速,x,y是二维笛卡尔坐标系的2个维
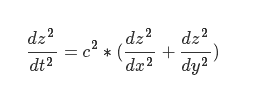
二维面波动方程为

z为x,y轴构成平面的第三维
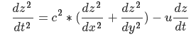
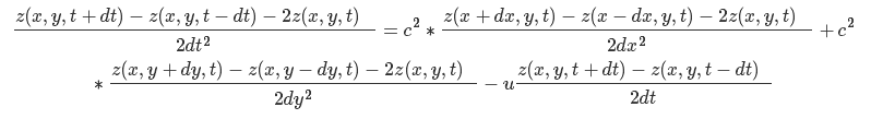
由于波速会因为粘性阻尼力衰减,所以水面的波动方程如下

u为液体粘稠度,用以控制波在液体表面的存在时间
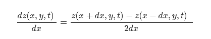
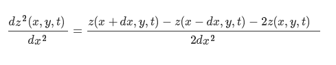
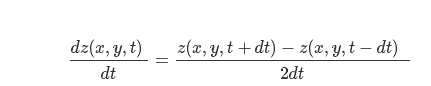
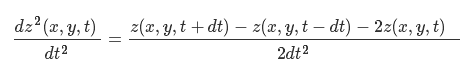
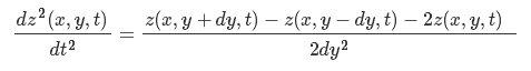
近似导数
实时仿真波动方程需要大量的计算,所以使用近似导数简化方程
近似导数如下

所以可得

同理



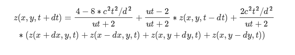
计算液体表面平移
由之前的近似表达式易得

使dx=dy=d易得最终方程如下

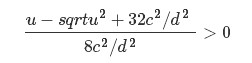
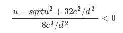
稳定条件
如果波速c太快,或者dt时间段太长,使二手交易平台位移发散为无穷大,需要约束c或t,约束如下


(

或

(

本文介绍了一种用于模拟液体表面波动的方法,包括波动方程的基本形式及其在考虑粘性阻尼力后的变化。为了实现实时仿真,文中还讨论了如何通过使用近似导数来简化计算过程。
2848

被折叠的 条评论
为什么被折叠?



