基于WEB考研资讯服务系统的设计与实现
摘要:随着考研竞争的日益激烈,考生在备考过程中急需获取大量的教育信息、院校资料、考试资讯及学习资源。然而,传统的考研信息获取方式存在信息分散、更新不及时等问题,导致考生获取信息不便。因此,构建一个基于WEB平台的集信息查询、交流互动与资源共享于一体的考研资讯服务系统变得尤为重要。通过互联网技术,考生可以随时随地获取最新的考试资讯与资料,并与其他考生进行经验分享与互动。
本系统基于WEB和Spring Boot框架设计与实现,提供了全面、便捷的信息查询与交流平台,服务广大考研学子。系统分为两大主要角色:注册用户和管理员。注册用户可以通过平台获取首页信息、参与交流论坛、查看公告和新闻资讯、了解院校信息、查阅考研资料、查看光荣榜单,并管理个人中心中的收藏和评论内容。管理员拥有广泛的管理权限,包括管理系统用户、院校信息、考研资料、分类管理、光荣榜单、公告和新闻资讯等,负责论坛管理、轮播图、敏感词过滤和资源更新。通过功能模块化设计,系统确保信息实时更新和用户操作便捷高效,为考研学子与教育工作者提供了一个综合性的信息、资源和交流平台。
关键词:考研资讯服务系统;WEB;Spring Boot框架;考研资料
Design and Implementation of a Web based Postgraduate Entrance Examination Information Service System
Abstract: With the increasingly fierce competition in the postgraduate entrance examination, candidates urgently need to obtain a large amount of educational information, institutional materials, examination information, and learning resources during the preparation process. However, the traditional way of obtaining information for postgraduate entrance exams has problems such as scattered information and untimely updates, which makes it inconvenient for candidates to obtain information. Therefore, it has become particularly important to build a postgraduate entrance examination information service system based on a WEB platform that integrates information query, communication and interaction, and resource sharing. Through Internet technology, examinees can access the latest exam information and data anytime and anywhere, and share and interact with other examinees.
This system is designed and implemented based on WEB and Spring Boot framework, providing a comprehensive and convenient information query and communication platform to serve the vast number of postgraduate students. The system is divided into two main roles: registered users and administrators. Registered users can access homepage information, participate in communication forums, view announcements and news, learn about university information, access postgraduate entrance examination materials, view prestigious rankings, and manage their personal center's collection and comment content through the platform. Administrators have extensive management privileges, including managing system users, college information, postgraduate entrance examination materials, classification management, honor lists, announcements, and news information. They are responsible for forum management, slideshow, sensitive word filtering, and resource updates. Through modular design, the system ensures real-time information updates and convenient and efficient user operations, providing a comprehensive information, resource, and communication platform for postgraduate students and educators.
Keywords: postgraduate entrance examination information service system; WEB; Spring Boot framework; Graduate entrance examination materials
目录
1绪论
1.1研究背景及意义
1.1.1研究背景
近年来,随着考研竞争的日益激烈,越来越多的学子选择通过考研提升自己的学历和竞争力。然而,考研的准备过程涉及到大量的信息和资源需求,包括院校信息、专业介绍、考试科目、复习资料以及最新的考试政策等。传统的信息获取方式,如通过书籍、各类论坛、线下讲座等渠道,虽然在一定程度上满足了考生的需求,但信息分散且更新不及时,给考生带来了较大的困扰。此外,考研过程中考生往往需要与他人交流复习经验、解答疑惑,然而,缺乏一个集中的平台,限制了信息的有效流通和学术交流[1]。
为了解决这一问题,基于互联网技术的考研资讯服务平台逐渐成为一种解决方案。通过集中管理考研相关信息与资源,考生能够在一个统一的平台上获得所需的所有资源,并与其他考生进行互动交流。随着技术的发展,现如今的在线教育平台与服务系统已不再仅仅依赖传统的资讯发布,而是增加了数据交互、社区建设、智能推荐等功能,极大提升了考研的效率和体验[2]。因此,设计一个集信息查询、交流互动、资源共享于一体的考研资讯服务系统,不仅能为考生提供更加便捷的信息获取方式,也能为教育行业的数字化转型提供重要支持[3]。
1.1.2研究意义
随着考研竞争的日益激烈,考生在备考过程中面临着信息不对称、资源分散以及复习资料繁杂等问题。因此,开发一个高效便捷的考研资讯服务系统具有重要意义。该系统可以整合各类考研资讯、院校信息、复习资料及考试政策,帮助考生在一个平台上轻松获取所需资源,提高备考效率[4]。同时,系统通过交流论坛和互动平台,促进考生之间的经验交流,帮助解决疑惑,提升学习效果。系统还可以收集和分析用户数据,为教育机构提供市场洞察和决策支持,并通过智能推荐等技术提升用户体验。通过在线化、数字化的方式,该系统推动了考研服务的创新与发展,进一步促进了教育行业的数字化转型[5]。
1.2国内外研究现状及发展趋势
1.2.1国内研究现状
随着考研人数的持续增长,如何为考研学子提供更加高效、便捷的资讯服务成为当前国内高校及相关研究的重要课题。近年来,许多学者和高校已开展了一系列关于考研信息服务优化的研究。例如,李文杰(2023)通过研究发现,尽管部分高校已开始关注考研学生的服务需求,但在服务质量和信息覆盖方面仍有许多不足之处。李文杰提出,高校图书馆应加强对考研学子需求的调研,提供更多样化的服务形式,利用数字化手段提高考研资讯的获取效率[6]。此外,黄海燕等(2023)针对考研学子的实际需求,设计了一款基于微信小程序的考研信息共享平台,旨在帮助考生快速获得学习资源和各类考研资讯,极大提高了学生的备考效率[7]。陈依阳(2023)则开发了一款具有智能推荐功能的考研资讯系统,通过运用推荐算法分析学生的个人兴趣和需求,推送个性化的考研资讯和学习资料[8]。这些国内研究表明,随着考研竞争的日益激烈,考生对准确、及时的考研资讯的需求愈加迫切,如何通过信息化手段为考研学生提供高效的服务成为研究的重点。国内研究不仅注重信息平台的技术性建设,也强调个性化推荐和心理健康支持相结合,力图从多角度提升考研学子的备考体验和效率。
1.2.2国外研究现状
在国外,关于信息系统的研究涵盖了多个领域,尤其是在决策支持、应急管理以及项目管理等方面。虽然这些研究并非专门针对考研资讯服务系统,但它们在信息系统设计、决策支持机制、信息共享与透明度等方面的经验和成果,对于考研资讯服务系统的构建具有重要的参考意义。
Clara Le Duff等(2023)提出了一个基于(Physics of Decision,PoD)的项目组合管理信息系统。该系统强调如何利用决策支持技术和行为规则帮助项目经理更好地管理资源共享和风险分析,尤其是在复杂和不确定的环境下进行决策[9]。尽管研究背景是项目组合管理,但其提出的通用且可适应的规则和决策支持工具在考研资讯服务系统中也同样适用。例如,考研资讯服务系统可以借鉴这种决策支持机制,通过设立清晰的规则和决策框架,帮助用户在考研准备中做出合理决策,提高服务的精准性与个性化。
另一个相关研究来自Catherine Smallwood等(2023),他们提出了一个加强信息系统的战略工具,重点在于如何通过建立和优化信息管理系统来支持响应的决策。信息系统在应急管理中的作用愈加凸显[10]。该研究强调信息系统的时效性和可靠性,以及在不同的数字化层级和应急协调机制下如何提升信息流通效率。对于考研资讯服务系统来说,信息的时效性和准确性同样至关重要,特别是在考研政策变动频繁、用户需求多样化的背景下,如何保证信息的实时更新和精准传递,是系统设计中的重要挑战。
这些研究成果为考研资讯服务系统的构建提供了有价值的理论支持,尤其是在信息流通、决策支持和系统评估等方面。通过借鉴项目管理和应急管理领域的成功经验,可以帮助考研资讯服务系统更好地满足用户需求,提高信息的传递效率和服务的精确度。
1.3研究内容
本课题设计并开发了一个考研资讯服务系统,提供全面的考研信息和资源,帮助考生高效备考。系统功能包括用户管理、院校信息、考研资料、分类管理、光荣榜单、公告管理、资源管理及交流管理等,支持考生分享经验和激励目标。
系统增加了敏感词过滤功能,管理员可以设置敏感词,防止用户发布包含敏感词的评论,确保论坛的健康交流。此外,系统还提供可视化图展示功能,用户可以查看考研相关数据,帮助分析备考信息。
本系统基于Spring Boot框架,前端使用HTML5、CSS3、JavaScript及Vue.js,后端提供RESTful API,数据库使用MySQL,确保数据的可靠性与安全性。系统采用分层架构设计,提高了性能和可维护性。
论文章节规划如下:
第1章:绪论本章介绍了研究背景、目的和意义,阐明了研究内容,并对论文的结构进行概述。
第2章:相关技术介绍本章主要介绍了开发本系统所使用的技术,包括Spring Boot框架、前端技术、数据库技术等,并探讨了相关技术的优缺点和选择依据。
第3章:系统需求分析本章对系统的功能需求、系统用例和非功能需求进行了详细分析,确保系统的设计能够满足考研学子的实际需求。
第4章:系统设计本章介绍了系统的总体设计,详细描述了系统的架构、功能模块的设计和数据库的设计方案。
第5章:系统实现本章详细描述了各个模块的具体实现,包括前端和后端的具体代码实现,系统功能的开发过程以及主要技术难点的解决方案。
第6章:系统测试本章对系统进行了功能测试、性能测试等,并针对测试结果进行了优化,确保系统的高效运行。
第7章:总结与展望本章总结了研究成果和系统的实际应用价值,并对未来可能的改进方向和研究领域进行了展望。
2相关技术介绍
2.1Java
Java是一种跨平台的编程语言,广泛用于开发各种类型的应用程序,包括Web应用、移动应用和大型软件系统。在考研资讯服务系统中,Java通常用于后端开发,提供强大的处理能力和稳定性。同时Java是一种面向对象的编程语言,支持封装、继承和多态等特性,使代码更易于维护和重用。还拥有丰富的标准库和第三方框架,如Spring、Hibernate等,可以大大提高开发效率。
2.2B/S模式
B/S模式(Browser/Server模式)是一种网络应用架构,其中浏览器(Browser)作为客户端与服务器(Server)进行通信[11] 。这种模式使用户可以通过普通的Web浏览器访问应用程序,而无需安装额外的客户端软件。用户通过浏览器发送请求,服务器接收并处理这些请求,然后将结果返回给浏览器显示给用户。在考研资讯服务系统中,Spring Boot结合B/S模式的优势包括跨平台的兼容性,用户可以在不同操作系统和设备上访问应用程序[12]。维护和部署也更为简便,并且能够实现较高的安全性,因为服务器端控制了应用程序和数据的访问权限。
2.3Spring Boot框架
Spring Boot是一个用于构建微服务的Java框架,简化了Spring应用程序的开发和部署过程[13]。Spring Boot通过自动配置和约定优于配置的理念,简化了Spring应用程序的开发过程,使开发者可以更快地构建和部署应用程序。拥有丰富的生态系统,如Spring Cloud、Spring Security等,可以满足各种企业级应用的需求[14]。在考研资讯服务系统中,Spring Boot可以帮助开发团队快速搭建后端服务,并实现各种功能模块的集成和管理。
2.4MySQL
MySQL是一种流行的开源关系型数据库管理系统,用于存储和管理数据。在考研资讯服务系统中,MySQL可以用于数据存储、数据查询和数据管理等方面,用户可以免费使用和修改源代码,为平台提供可靠和高性能的数据库支持[15]。MySQL支持多种存储引擎,如InnoDB和MyISAM,可以根据不同的应用场景选择合适的存储引擎,提高性能;提供了多种数据安全机制,如用户权限管理、数据加密和备份恢复等,保证数据的安全性[16]。
3系统需求分析
3.1功能需求
该系统在总体需求上主要满足考生、院校以及管理员的需求。对于考生来说,系统需要提供一个简洁易用的Web平台,方便考生随时获取考研资讯、资料和与其他考生的互动交流;对于管理员而言,系统需要提供一个功能强大的Web后台,方便管理用户、院校信息、考研资料、公告等内容,确保系统的稳定运行与数据的准确性。
3.1.1用户功能需求
注册登录功能:用户通过注册账号并登录系统后,登录后,用户能够管理自己的个人信息和密码。同时,平台还提供找回密码和修改个人信息的功能。
交流论坛:在交流论坛板块,注册用户可以自由发帖与其他考研用户互动,讨用户还可以对帖子进行点赞、评论、收藏等操作。
网站公告:用户可以查看平台发布的各种公告,包括网站更新、活动通知等。公告内容可以通过点赞、评论和收藏等功能进行互动。
新闻资讯:用户可以浏览与考研相关的新闻资讯,支持点赞、评论、收藏功能。
院校信息:用户可以通过院校名称、所在省份等关键词搜索院校信息,支持对院校信息进行点赞、收藏及评论。
考研资料:用户可根据关键词或科目对考研资料进行检索,下载所需的学习资源。每份资料都可以进行点赞、收藏与评论。
光荣榜单:系统展示光荣榜单,用户可以查看并对其进行点赞、收藏、评论等操作。
个人中心:用户可以在个人中心管理自己的账号信息,查看收藏的帖子、新闻、资料及评论内容。
3.1.2管理员功能需求
系统用户管理:管理员能够对平台上的所有用户进行管理,包括注册用户和管理员的权限管理。管理员可以新增、查询、修改和删除用户信息。
院校信息管理:管理员可以对平台上的院校信息进行增、删、改、查操作。并能够查看用户对院校信息的评论,及时进行反馈和处理。
考研资料管理:管理员可以对考研资料进行增、删、改、查操作,上传新的考研资料供用户下载。同时,管理员可以查看用户对资料的评论和反馈,并对不适宜的资料进行审查和删除。
资料分类管理:管理员负责对考研资料进行分类管理,包括新增、修改和删除不同的分类。
科目分类管理:管理员可以管理各个科目的分类信息,可新增、修改或删除科目分类。
光荣榜单管理:管理员可以新增、删除、修改光荣榜单上的信息,还可以查看用户的评论,及时对不合适的评论进行管理和处理。
系统管理(轮播图):管理员可以管理网站首页的轮播图,包括新增、删除和修改轮播图内容。
网站公告管理:管理员可以发布、修改、删除和查询网站公告。
资源管理(新闻资讯、资讯分类):管理员负责管理网站的新闻资讯,包括新增、修改和删除新闻内容,以及新闻资讯的分类管理。
交流管理(交流论坛、论坛分类):管理员能够管理平台上的交流论坛及其分类。管理员可对论坛中的帖子进行审核。
3.2系统用例
用户在成功登录后,系统会根据用户的权限展示相应的功能。用户便可以浏览交流论坛、网站公告、新闻资讯、院校信息、考研资料、光荣榜单、个人中心(首页、收藏、评论管理)等。用户用例图如图3.1所示。
管理员在完成登录后,需要管理用户信息,院校信息管理、考研资料管理、资料分类管理、科目分类管理、光荣榜单管理、系统管理(轮播图)、网站公告管理、资源管理(新闻资讯、资讯分类)交流管理(交流论坛、论坛分类)进行处理。管理员用例图如图3.2所示。
3.3非功能需求
系统的非功能需求是指系统除了功能性需求外,还需要满足的其他方面的需求,如性能、安全性、可靠性、可维护性等。以下是对系统非功能需求的分析:
性能需求:系统需要具有快速的响应时间,支持多用户并发访问,并能够处理大量数据和请求,以确保系统运行流畅。
安全性需求:系统必须保障用户数据的安全和完整性,包括数据加密、备份机制和严格的身份认证与权限控制,以防止未经授权的访问。
可靠性需求:系统应具备高可用性和稳定性,减少系统故障和停机时间,同时需要容错机制,能够及时恢复并保持正常运行。
可维护性需求:系统需要具备易维护性和可扩展性,包括良好的代码结构和文档,以便开发人员进行维护和升级,适应未来业务需求的变化。
用户体验需求:系统界面应设计简洁直观,操作便捷,同时具备响应式设计,适配不同设备和屏幕尺寸,提供一致的用户体验。
4系统设计
4.1设计目标
本节介绍考研资讯服务系统的架构设计、功能模块设计、数据库设计等内容。通过系统功能结构图展示各模块的功能及相互关系,利用程序流程图描述功能的具体执行流程。在数据库设计部分,提供数据表设计和ER图,确保数据存储结构合理、查询高效,满足系统扩展需求。
系统使用Spring Boot与Vue框架进行搭建,架构分为视图层、控制层、业务逻辑层、数据持久层和数据库服务器。视图层利用Vue框架和Element UI界面渲染工具构建前端页面,前端页面通过HTTP协议发送请求至控制层。控制层与业务逻辑层通过Spring Boot框架搭建,控制层接收前端请求,进行解析和数据校验,将数据传递至Service层进行业务逻辑处理。业务处理完成后,通过数据持久层访问数据库服务器,执行数据库操作,最终将结果返回至控制层,并传递至前端进行页面处理。本系统开发的技术架构图如图4.1所示。

4.2功能模块设计
本课题主要设计并开发一个基于WEB的考研资讯服务系统,采用Spring Boot框架实现,为考生提供全面的考研信息、院校资料、考试资讯及学习资源,帮助考生高效获取相关内容并辅助备考。如图 4.2所示为基于考研资讯服务系统的系统功能结构图如图 4.2所示。
4.2.1用户操作流程
用户访问平台网站,可以选择进行注册或登录操作。注册成功后,用户可以使用注册的账号登录平台。登录后的用户可以进入系统功能界面,使用自己权限内的功能操作。用户操作流程图如图4.3所示。

图4.3程序操作流程图
4.2.2登录流程
用户访问平台的网站,进入登录页面页面,入其用户名和密码,后端服务接收登录请求,验证用户提供的用户名和密码是否匹配数据库中存储的信息,验证通过即可登录成功。登录流程图如图4.4所示。

图4.4 登录流程图
4.2.3注册流程
未有账号的用户可进入注册界面进行注册操作,填写注册表格,包括用户名、密码、电子邮件等必要信息。后台系统验证并保存用户提交的信息。分配唯一用户标识符。注册成功后,用户可以使用账号密码进行登录。用户注册流程图如图4.5所示。
图4.5注册流程图
4.3协同过滤算法设计
4.3.1算法描述
协同过滤算法是一种基于用户行为数据进行个性化推荐的常见方法,主要通过分析用户与物品的交互记录,寻找相似用户或相似物品,从而为用户提供推荐。该算法分为两种主要类型:基于用户的协同过滤和基于物品的协同过滤。基于用户的协同过滤通过计算用户之间的相似度,推荐与当前用户兴趣相似的其他用户喜爱的项目;而基于物品的协同过滤则通过分析物品之间的相似度,推荐与用户已评分或行为过的物品相似的其他物品。在实际操作中,协同过滤算法首先收集用户与物品的交互数据(如评分、点击、浏览记录等),然后计算用户或物品之间的相似度,最后基于相似度进行推荐或预测用户可能感兴趣的物品。通过这种方式,协同过滤能够准确捕捉用户的兴趣和偏好,提升推荐的精准度,进而提高用户体验和满意度。
4.3.2算法执行流程

图 4.6 协同过滤算法流程图
4.4数据库设计
4.4.1数据库E-R图设计
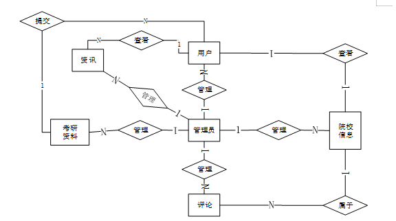
该系统的实体联系图如下图4.7所示。
图 4.7 系统实体联系图
用户实体属性图,如下图4.8所示。

管理员实体属性图,如下图4.9所示。

图 4.9 管理员实体属性图
考研资料实体属性图,如下图4.10所示。
图 4.10 考研资料实体属性图
院校信息实体属性图,如下图4.11所示。
图 4.11 院校信息实体属性图
资讯实体属性图,如下图4.12所示。

4.4.2数据库表设计
下面将介绍相关数据库中表的详细信息,如下表所示:
该表用于存储院校的详细信息,包括院校名称、院校所在省份、专业设置、历年录取线等内容,主要用于为考生提供院校的基本信息和历史数据。通过该表,考生能够快速了解院校的基本情况,并参考历年的录取数据来做出院校选择。
表4.1college_information (院校信息)
| 编号 | 名称 | 数据类型 | 长度 | 允许空值 | 主键 | 说明 | |
| 1 | college_information_id | int | 10 | N | Y | 院校信息ID | |
| 2 | college_name | varchar | 64 | Y | N | 院校名称 | |
| 3 | cover_photo | varchar | 255 | Y | N | 封面图片 | |
| 4 | university_province | varchar | 64 | Y | N | 院校省份 | |
| 5 | professional_setting | text | 65535 | Y | N | 专业设置 | |
| 6 | annual_admission_line | text | 65535 | Y | N | 历年录取线 | |
| 7 | introduction_to_enrollment | longtext | 2147483647 | Y | N | 招生简介 | |
| 8 | hits | int | 10 | N | N | 点击数 | |
| 9 | praise_len | int | 10 | N | N | 点赞数 | |
| 10 | collect_len | int | 10 | N | N | 收藏数 | |
| 11 | comment_len | int | 10 | N | N | 评论数 | |
| 12 | create_time | datetime | 19 | N | N | 创建时间 | |
| 13 | update_time | timestamp | 19 | N | N | 更新时间 | |
该表用于存储考生或用户在平台上发布的评论信息,包括评论的内容、评论者的昵称、头像等数据。每条评论都与用户信息关联,并且可以回复其他评论,用于促进用户之间的互动和交流。该表还支持评论的来源字段,用于支持不同功能模块的评论管理,如考研资料、院校信息等。
4.2comment (评论)
| 编号 | 名称 | 数据类型 | 长度 | 允许空值 | 主键 | 说明 |
| 1 | comment_id | int | 10 | N | Y | 评论ID |
| 2 | user_id | int | 10 | N | N | 评论人ID |
| 3 | reply_to_id | int | 10 | N | N | 回复评论ID |
| 4 | content | longtext | 2147483647 | Y | N | 内容 |
| 5 | nickname | varchar | 255 | Y | N | 昵称 |
| 6 | avatar | varchar | 255 | Y | N | 头像地址 |
| 7 | create_time | timestamp | 19 | N | N | 创建时间 |
| 8 | update_time | timestamp | 19 | N | N | 更新时间 |
| 9 | source_table | varchar | 255 | Y | N | 来源表 |
| 10 | source_field | varchar | 255 | Y | N | 来源字段 |
| 11 | source_id | int | 10 | N | N | 来源ID |
该表存储与考研相关的各种学习资料,包括资料名称、资料分类、科目分类、以及资料的下载链接等。用户可以通过该表获取到不同类型的备考资料,帮助考生进行高效的复习准备。
表4.3graduate_entrance_examination_materials (考研资料)
| 编号 | 名称 | 数据类型 | 长度 | 允许空值 | 主键 | 说明 | |
| 1 | graduate_entrance_examination_materials_id | int | 10 | N | Y | 考研资料ID | |
| 2 | data_name | varchar | 64 | Y | N | 资料名称 | |
| 3 | cover_photo | varchar | 255 | Y | N | 封面图片 | |
| 4 | data_classification | varchar | 64 | Y | N | 资料分类 | |
| 5 | subject_classification | varchar | 64 | Y | N | 科目分类 | |
| 6 | data_files | varchar | 255 | Y | N | 资料文件 | |
| 7 | data_introduction | longtext | 2147483 | Y | N | 资料介绍 | |
| 8 | recommend | int | 10 | N | N | 智能推荐 | |
| 9 | update_time | timestamp | 19 | N | N | 更新时间 | |
该表用于存储平台上注册用户的基本信息,包括用户名、性别、电话等。用户注册后,其信息将存入该表,以便后续的用户管理、权限控制以及个性化服务。
表4.4registered_user (注册用户)
| 编号 | 名称 | 数据类型 | 长度 | 允许空值 | 主键 | 说明 | |
| 1 | registered_user_id | int | 10 | N | Y | 注册用户ID | |
| 2 | user_name | varchar | 64 | Y | N | 用户姓名 | |
| 3 | user_gender | varchar | 64 | Y | N | 用户性别 | |
| 4 | user_phone_number | varchar | 64 | Y | N | 用户电话 | |
| 5 | examine_state | varchar | 16 | N | N | 审核状态 | |
| 6 | user_id | int | 10 | N | N | 用户ID | |
| 7 | create_time | datetime | 19 | N | N | 创建时间 | |
| 8 | update_time | timestamp | 19 | N | N | 更新时间 | |
5系统实现
5.1开发环境介绍
操作系统:Windows 11、Windows 10、Windows 8、Windows 7
开发语言:Java
使用框架:spring boot
前端技术:JavaScript、VUE.js、css3、HTML、ajax、redis
开发工具:IDEA(2020版)/MyEclipse(2017)/Eclipse、vs code
数据库:MySQL 5.6以上
数据库管理工具: Navicat
JDK版本:Java sdk8
Maven:apache-maven 3.8.1-bin
5.2用户功能实现
5.2.1用户注册页面
注册登录功能:用户通过如图 5.1注册账号并登录系统后,登录后,用户能够管理自己的个人信息和密码如图 5.2。同时,平台还提供找回密码和修改个人信息的功能。
5.2.2用户登录页面
用户在登录系统时,需要提供账号和密码,如图5.3所示。
5.2.3交流论坛管理页面
在交流论坛板块,注册用户可以自由发帖与其他考研用户互动如图 5.4,讨用户还可以对帖子进行点赞、评论、收藏等操作如图 5.5。
5.2.4院校信息页面
用户可以通过院校名称、所在省份等关键词搜索院校信息如图 5.6,支持对院校信息进行点赞、收藏及评论如图 5.7。
图 5.6 院校信息浏览
图 5.7 院校信息详情图
5.2.5考研资料管理页面
用户可根据关键词或科目对考研资料进行检索如图 5.8,下载所需的学习资源。每份资料都可以进行点赞、收藏与评论。如图 5.9所示。
5.2.6个人中心管理页面
用户可以在个人中心管理自己的账号信息,查看收藏的帖子、新闻、资料及评论内容,如图 5.10所示。
图 5.10 个人中心页面管理
5.3管理员功能实现
5.3.1用户管理页面
管理员能够对平台上的所有用户进行管理,包括注册用户和管理员的权限管理。管理员可以新增、查询、修改和删除用户信息。如图 5.11所示。
图 5.10 用户管理页面
5.3.3考研资料管理页面
管理员可以对考研资料进行增、删、改、查操作,上传新的考研资料供用户下载。同时,管理员可以查看用户对资料的评论和反馈,并对不适宜的资料进行审查和删除。如图 5.13。
图 5.13 考研资料管理页面
5.3.4光荣榜单页面
管理员可以新增、删除、修改光荣榜单上的信息,还可以查看用户的评论,及时对不合适的评论进行管理和处理。如图 5.14所示。
图 5.14 光荣榜单管理页面
5.3.5敏感词过滤功能
为了确保论坛交流的健康与和谐,系统增加了敏感词过滤功能。在论坛交流管理模块中,管理员可以设置敏感词列表,系统会自动检测用户评论中的敏感词。一旦评论中出现敏感词,系统将阻止该评论的发布,从而保障平台的安全和文明交流环境。
图 5.15 敏感词管理页面
5.3.6可视化图展示功能
为了提升信息展示的直观性,系统引入了可视化图展示功能。用户可以通过图表查看各种考研相关数据,如考试科目分布、院校录取情况、考研资料使用情况等,帮助考生更好地分析备考中的各种信息,做出更有效的决策。
图 5.16 可视化展示页面
6系统测试
6.1测试目的
软件测试的目的在于识别系统缺陷,验证软件对需求的符合程度,使其功能、性能和安全性达到设计标准 。在开发过程中,测试能够及时发现潜在问题,降低发布后出现故障的风险。测试不仅关注系统的正常运行,还模拟各种异常情况,评估在不同环境和边界条件下的表现,从而提升软件的可靠性和稳定性,为用户提供更高质量的产品体验,增强信任感。测试过程中的数据和经验积累能完善测试策略,改进开发流程,成为后续项目的参考。软件测试贯穿开发生命周期,是实现产品质量和发布标准的重要环节。
6.2测试方法
黑盒测试:黑盒测试是一种主要关注软件外部行为的测试方法。在这种测试中,测试人员无需了解软件内部的代码、结构或实现方式,而是基于软件的功能需求,通过设计测试用例模拟用户的实际操作。测试人员通过提供不同的输入,并观察系统的输出和响应,来验证软件是否按预期功能正常运行。该方法能够有效检测软件功能上的缺陷和问题,确保系统的各项功能能够满足用户需求。
白盒测试:白盒测试是一种基于软件内部结构和实现的测试方法,测试人员需要了解系统的源代码、逻辑结构以及实现细节。在此过程中,测试人员通过分析代码的执行路径、逻辑分支和条件判断等,设计测试用例来检查软件内部是否存在缺陷或潜在问题。白盒测试通常用于验证代码的正确性、覆盖率、性能以及安全性,能够帮助发现一些仅通过外部测试无法察觉的逻辑错误或漏洞。
6.3测试用例
本系统需要满足用户和管理员两种角色的需求,所以以下将对这三类角色分别进行功能测试。
6.3.1用户功能测试
表 6.1 用户功能测试用例表
| 编号 | 用例说明 | 输入数据 | 预测结果 | 测试结果 | |
| 1 | 用户注册功能 | 用户名、密码 | 注册成功 | 通过 | |
| 2 | 用户登录功能 | 用户名、密码 | 成功登录系统 | 通过 | |
| 3 | 用户修改个人信息 | 新用户名、新密码 | 系统更新用户信息 | 通过 | |
| 3 | 用户发布帖子 | 帖子标题、内容 | 系统成功发布帖子 | 通过 | |
| 4 | 用户浏览资讯 | 新闻资讯标题 | 正确展示新闻详情页面 | 通过 | |
| 5 | 用户搜索功能 | 搜索关键字 | 与关键字匹配的搜索结果 | 通过 | |
| 6 | 浏览院校信息 | 院校名称、院校省份 | 显示匹配的院校信息 | 通过 | |
| 7 | 搜索考研资料 | 资料关键词 | 系统展示符合条件的考研资料 | 通过 | |
| 8 | 浏览光荣榜单 | 光荣榜单项目 | 系统显示光荣榜单 | 通过 | |
| 9 | 用户管理个人中心 | 收藏、评论管理 | 系统展示用户的收藏和评论 | 通过 | |
6.3.2管理员功能测试
表 6.2 管理员功能测试用例表
| 用例编号 | 用例说明 | 输入数据 | 预测结果 | 测试结果 |
| 1 | 管理员登录功能测试 | 输入管理员用户名与密码 | 登录成功 | 通过 |
| 2 | 院校信息管理测试 | 输入院校名称 | 成功添加息 | 通过 |
| 3 | 考研资料管理测试 | 上传考研资料 | 成功上传考研资料 | 通过 |
| 4 | 资料分类管理测试 | 创建新资料分类 | 资料分类成功 | 通过 |
| 5 | 科目分类管理测试 | 添加科目分类及科目信息 | 科目分类成功 | 通过 |
| 6 | 光荣榜单管理测试 | 添加榜单信息 | 添加成功 | 通过 |
| 7 | 轮播图管理功能测试 | 上传轮播图 | 轮播图显示成功 | 通过 |
| 8 | 公告管理功能测试 | 发布公告信息 | 公告发布成功 | 通过 |
| 9 | 新闻资讯管理测试 | 发布新闻资讯 | 新闻资讯发布成功 | 通过 |
| 10 | 资讯分类管理测试 | 添加资讯分类 | 资讯分类创建成功 | 通过 |
| 11 | 交流论坛管理测试 | 创建论坛主题 | 论坛主题创建成功 | 通过 |
| 12 | 论坛分类管理测试 | 创建论坛分类 | 论坛分类创建成功 | 通过 |
6.3.3测试结果分析
通过对用户和管理员的多个关键功能测试,所有测试功能均符合预期结果,未发现明显问题,显示出系统在当前测试条件下的稳定性和可靠性。这些结果表明,系统能够有效支持用户和管理员顺畅完成各自的核心活动,未出现操作障碍或功能缺陷。
7总结与展望
7.1总结
在本次毕业设计项目中,成功开发了一个基于WEB的考研资讯服务系统,旨在解决传统考研信息获取方式中存在的信息不对称与管理效率低下等问题。通过采用Spring Boot框架作为后端开发技术、MySQL数据库进行数据存储以及Vue.js等前端技术,本系统实现了院校信息的在线管理和考研资料下载的数字化处理。通过这些技术,系统不仅提升了数据的管理效率,还加强了用户权限管理与数据安全保护措施,为考研资讯的线上管理提供了一种新的解决方案。
具体来说,系统包括了院校信息展示、考研资料的分类与下载、用户注册与登录、交流论坛等多个功能模块。通过院校信息管理模块,考生能够实时获取各大院校的相关信息,并参考历年录取线和招生简章,为选择院校提供参考依据。同时,考研资料模块为考生提供了丰富的学习资源,包括各种科目的复习资料,满足了考生在备考过程中对信息和资源的多元化需求。用户可以在平台内进行资料下载、信息评论与分享,增强了平台的互动性。
尽管系统已经实现了许多核心功能,但在项目研究过程中也遇到了一些问题和挑战。首先,虽然当前的技术选型能够满足系统的基本需求,但随着考研资讯领域和用户需求的不断变化,现有技术架构显得较为僵化。在后期的应用中,可能会面临对功能的扩展需求,若要满足更高效、更灵活的操作和管理,现有的架构可能需要进一步优化和调整。其次,在用户体验方面,系统的界面设计与交互逻辑虽然达到了基本的功能需求,但在界面美观、交互流畅性等方面仍有提升空间。现代用户对高效、直观操作的需求不断提高,系统在这些方面尚未完全符合最新的用户体验标准。最后,随着网络安全威胁的上升,如何保护用户数据的安全性和隐私,尤其是在存储大量个人信息和用户数据的背景下,成为了不可忽视的问题。尽管目前系统已采取了数据加密与安全认证措施,但随着网络攻击手段的日益复杂,这一问题仍需持续关注并进行优化。
7.2展望
未来的研究将集中于提升系统的可扩展性、灵活性和智能化水平。首先,技术架构的优化将是关键,特别是引入更加高效和灵活的技术架构,以增强系统的扩展性和维护性。例如,微服务架构和容器化技术(如Docker和Kubernetes)将帮助系统更好地适应高并发和海量数据处理的需求。其次,用户体验将继续优化,改进界面的设计,提升操作流程的简便性和直观性,并引入人工智能技术为考生提供更加个性化和精准的学习推荐。同时,随着网络安全威胁的增加,数据加密和隐私保护将继续受到重视,未来将研究更先进的加密技术和安全策略,确保用户数据的安全性。此外,随着大数据和人工智能技术的迅速发展,系统将在数据分析和决策支持方面引入更多智能化功能,如个性化学习推荐、智能化院校选择和科目预测等。最后,随着移动互联网的普及,系统将在跨平台应用方面进一步扩展,开发适配移动端的应用,提供更高效的跨设备服务。通过这些研究和创新,未来的考研资讯服务系统将更加智能、高效、安全,并能为考生提供更为全面的备考支持。
时光荏苒,四年的求学生涯在不经意间画上了圆满的句号。在这段充满挑战与成长的旅程中,许多人给予了我无私的支持与鼓励。在此,我怀着无比感激的心情,向所有帮助和关心过我的人致以诚挚的感谢。
首先,我要特别感谢我的指导老师。您不仅是知识的传播者,更是我人生道路上的引路人。您严谨治学、孜孜不倦的精神深深感染了我,让我明白了追求真理的重要性。无论是细致的反馈,还是启发性的建议,您都让我感受到一种无形的力量,激励着我不断超越自我。感谢您在我最迷茫的时刻,为我指明方向,给予我勇气,让我在道路上走得更加坚定。
我要感谢我的父母。感谢你们无私的爱与支持,是你们的辛勤付出让我得以追逐梦想,成就自我。无论是在我遇到挫折时的鼓励,还是在我获得成绩时的欢笑,你们总是我最坚实的后盾。在你们的呵护下,我得以在知识的海洋中遨游,体会到求知的乐趣与美好。你们教会我如何面对生活中的风雨,教会我如何在困境中寻找希望。每当我回首过往,心中涌起的都是对你们的感激与爱戴。没有你们的支持,我无法走到今天这一步。愿在未来的日子里,能用自己的努力回报你们的厚爱。
我也要感谢我的同学们。在这四年的岁月里,我们共同经历了无数的挑战与欢笑。无论是一起熬夜复习的辛酸,还是考试后的欢庆,你们的陪伴让我不再孤单。在学习上,我们相互借鉴、共同进步。在生活中,我们彼此扶持、携手前行。与你们的友谊让我感受到青春的热情与力量。每一次的团结合作,都让我意识到团队的力量是无穷的。感谢你们在我人生旅途中的陪伴,你们的存在让我的大学生活更加丰富多彩。
最后,感谢这个校园。这里承载了我的青春与梦想,见证了我的成长与蜕变。每一处熟悉的角落,都蕴藏着我无数的回忆。无论是静谧的图书馆,还是热闹的操场,都成为我心中不可磨灭的印记。这里的每一位老师、每一位同学、每一段经历,都将成为我人生旅途中最珍贵的财富。
在即将踏入新的人生阶段之际,我衷心地感谢所有给予我帮助与关心的人。是你们的陪伴让我在这条路上走得更加坚定与自信。未来的路途或许会有荆棘与挑战,但我将带着你们给予我的勇气与力量,勇敢前行。愿在不久的将来,能够以自己的成就来回馈你们的厚爱。
再次感谢每一位在我生命中出现的人,愿我们都能在各自的人生舞台上,绽放出属于自己的光彩。
- 游云,张德银,徐文欣,等.大学生数学考研平台的研究[J].福建电脑,2022,38(05):60-62.
- 李雅峰.具有智能推荐功能的考研服务系统[D].南开大学,2022.
- 刘微,张舒婷,辜子寅.大学生考研现状统计调查与分析[J].统计与咨询,2020,(04):36-39.
- 张祯祯.考研辅导资料主导下的备考行为研究[D].厦门大学,2020.
- 刘雅慧.基于Struts框架的考研资讯平台的设计与开发[J].现代信息科技,2019,
- 李文杰.浅谈高校图书馆如何优化考研信息服务[J].办公室业务,2023,(02):112-114.
- 黄海燕,冯静怡,古嘉欢,等.考研信息共享微信小程序的研究与设计[J].科技与创新,2022,(12):98-100+104.
- 陈依阳.基于智能推荐算法的考研资讯系统设计与实现[D].首都经济贸易大学,2021.
- Duff L C ,Lesbegueries J ,Falco R , et al. Toward a generic information system for projects portfolio management using Physics of Decision (POD) [J]. Expert Systems With Applications, 2025, 271 126607-126607.
- Smallwood C ,Matos C ,Monteiro H , et al. Enhancing information for action: A strategic tool for strengthening public health emergency management systems [J]. International Journal of Medical Informatics, 2025, 196 105791-105791.
- 赵惠. 基于B/S模式的实验室管理系统设计和实现 [J]. 中国新通信, 2023, 25 (21): 72-74.
- 田应权,尹瑞雪. 基于三层B/S模式的飞机结构损伤信息管理系统设计与实现 [J]. 机械工程师, 2023, (06): 36-39.
- 罗光武,陈典灿,吴荷,等. 应用Spring boot + Vue框架的时间管理软件的设计与实现 [J]. 工业控制计算机, 2024, 37 (04): 64-66.
- 刘慧玲,谭定英,陈平平. 基于Spring Boot和Vue.js的大学生团队管理系统的设计 [J]. 电脑编程技巧与维护, 2024, (03): 120-122.
- 杨芬,MySQL数据库应用的课程教学分析[J]电子技术,2023,52(10):180-181.
- 赵停停.基于MySQL数据库技术的Web动态网页设计研究[J].信息与电脑(理论版),2023,35(17):174-176.
2020

被折叠的 条评论
为什么被折叠?



