摘 要
随着信息技术的不断发展和互联网的普及,传统驾校的管理模式逐渐暴露出许多不足,特别是在学员预约、课程安排和信息管理等方面。为了提高驾校管理效率,简化学员预约流程,增强教学互动,本论文提出了一种基于Python语言的驾校预约系统设计与实现方案。
该系统以学员、教练和管理员为主要用户角色,通过Django框架的强大功能实现后台管理、学员预约、课程安排、学车记录管理等核心功能。系统的前端采用现代Web技术,实现响应式界面设计,使得学员可以便捷地进行课程预约、查看学车记录、提供评价等操作。同时,管理员和教练可以通过后台管理系统进行学员信息管理、课程安排和学员评价等操作,确保驾校管理流程的高效运作。
本系统的设计重点在于简化驾校预约和管理流程,通过模块化和数据化的管理方式,提升学员、教练和管理员的操作效率,增强用户体验。此外,系统采用Django框架提供的安全性和扩展性,使得该平台能够应对日后不断增长的用户需求和功能扩展。
通过对该系统的研究与实现,验证了基于Python开发的驾校预约系统在提高驾校管理效率、改善学员体验、优化课程安排等方面的有效性。最终,本系统能够为驾校提供一种智能化、便捷化的管理方案,为学员提供更加高效的预约服务。
关键词:驾校预约;Python语言;学员信息;课程预约
ABSTRACT
With the continuous development of information technology and the popularity of the Internet, the management model of traditional driving schools has gradually exposed many shortcomings, especially in student appointment, course arrangement and information management. In order to improve the efficiency of driving school management, simplify the student appointment process, and enhance teaching interaction, this paper proposes a design and implementation scheme for a driving school appointment system based on Python language.
The system focuses on the main user roles of students, coaches, and administrators, and utilizes the powerful features of the Django framework to implement core functions such as backend management, student appointments, course scheduling, and learning record management. The front-end of the system adopts modern web technology and implements a responsive interface design, allowing students to conveniently make course reservations, view learning records, provide evaluations, and other operations. At the same time, administrators and coaches can manage student information, schedule courses, and evaluate students through the backend management system, ensuring the efficient operation of the driving school management process.
The design focus of this system is to simplify the process of scheduling and managing driving schools, improve the operational efficiency of students, coaches, and administrators through modular and data-driven management, and enhance user experience. In addition, the system adopts the security and extensibility provided by the Django framework, enabling the platform to cope with the constantly growing user demands and feature extensions in the future.
Through the research and implementation of the system, the effectiveness of the Python based driving school reservation system in improving driving school management efficiency, enhancing student experience, and optimizing course arrangements has been verified. Ultimately, this system can provide an intelligent and convenient management solution for driving schools, offering more efficient appointment services for students.
Keywords:Booking a driving school; Python language; Student information; Course reservation
目 录
1 绪论
随着社会经济的不断发展和人民生活水平的提升,驾驶已成为现代社会的重要技能。随着机动车保有量的增加,交通安全问题也日益受到关注。为确保驾驶员的安全驾驶,驾校作为培训驾驶员的重要机构,承担着培训和考试的重要任务。然而,传统的驾校管理方式存在着诸多问题,尤其在学员预约、课程安排和信息管理方面,常常出现效率低下、信息不对称等问题。这不仅给学员和教练带来了不便,也影响了驾校的运营效率。
在传统模式下,学员往往需要亲自到驾校进行预约和咨询,课程安排也常因手工操作而导致混乱。这种低效的管理方式不仅浪费了大量的时间和人力资源,还无法及时响应学员的需求。随着信息化技术的发展,尤其是互联网技术的普及,传统的管理模式亟需转型,以适应日益增长的学员需求和复杂的管理任务。因此,设计一种智能化、便捷的驾校预约系统成为提升驾校运营效率、优化学员服务的重要途径。
通过研究和实现基于信息技术的驾校预约系统,可以有效解决传统驾校管理中遇到的问题。该系统能够实现学员自助预约、实时查询课程安排、查看学车记录等功能,大大提升学员的体验。同时,教练和管理员也可以通过系统管理课程、处理预约、记录学车进度等,从而提升管理效率。此外,信息化系统的实施能够帮助驾校更好地进行资源调配,提高服务质量和教学效率。
通过本课题的研究与实现,能够推动驾校行业的数字化转型,改善驾校的服务质量,提升学员的满意度。更为重要的是,这一系统的实施不仅能为驾校管理者提供更高效的管理工具,也为学员提供了更加便捷、透明和高效的预约服务。
1.2国内外研究现状
随着互联网和信息技术的发展,传统行业逐渐步入数字化和智能化时代,驾校行业也不例外。国外较早开始探索驾校管理信息化的路径,许多国家已经通过先进的技术手段提高了驾校的管理效率和服务质量。例如,美国和欧洲一些国家的驾校管理系统通过网络平台实现了学员预约、课程安排、学车记录查询等功能,能够为学员提供更为便捷的服务,同时也帮助驾校优化了资源配置,提升了运营效率。这些系统不仅集成了课程安排和预约功能,还加强了学员和教练的互动,支持在线支付、评价系统等附加功能,极大地促进了驾校业务的数字化转型。
在国内,随着信息化进程的推进,驾校行业逐渐认识到传统管理模式的局限性,开始尝试采用信息技术改善服务和管理。近年来,越来越多的驾校开始使用基于互联网平台的预约管理系统来优化学员的学习体验。国内一些大型驾校和培训机构已经实现了课程预约、学员管理、课程安排等功能的自动化,然而,由于系统的开发和运维成本较高,中小型驾校在信息化建设方面仍存在较大差距。国内的研究主要集中在如何通过技术手段优化课程安排、提高预约效率、简化管理流程等方面,一些学者和技术团队已提出并实施了相应的系统设计方案,并在实际应用中取得了一定的成果。
尽管国内外的研究和实践在推动驾校预约系统发展方面取得了一定的进展,但仍然面临一些挑战。国外虽然在系统功能和用户体验上取得了一些成果,但系统的普遍性和适应性仍然存在差异,特别是在文化背景和监管政策不同的情况下,如何实现全球化和本地化的统一标准是一大难题。国内的研究虽然较为活跃,但在系统的稳定性、数据安全性、用户隐私保护等方面仍有待加强。尤其是在小型和地方性驾校,信息技术的普及率和应用深度仍有较大提升空间。
总体而言,国内外关于驾校预约系统的研究已经取得了一定的成果,并在实际应用中不断优化和完善。然而,要实现驾校行业的全面信息化转型,仍需进一步提升技术的创新性和系统的适应性,解决在推广过程中遇到的技术、管理和政策等问题。
1.3论文组成结构
第一章是绪论,本文章的开头部分,对本题目的研究背景和研究意义等一些做文字性的描述。
第二章研究了驾校预约设计与实现的所采用的开发技术和开发工具。
第三章是系统分析部分,包括系统总体需求描述、功能性角度分析系统需求、非功能性等各个方面分析系统是否可以实现。
第四章是系统设计部分,本文章的重要部分,提供了系统架构的详细设计和一些主要功能模块的设计说明。
第五章是系统的具体实现,介绍系统的各个模块的具体实现。
第六章在前几章的基础上对系统进行测试和运行。
最后对系统进行了认真的总结,以此对未来有一个新的展望。
2.1 B/S体系工作原理
B/S(Browser/Server)架构是一种基于浏览器和服务器的应用架构模式。它以Web浏览器作为客户端,服务器端通过Web技术提供应用服务。客户端通过浏览器与服务器进行交互,用户无需安装专门的客户端应用程序,只需要通过互联网连接即可访问应用程序[1]。在B/S架构中,客户端主要承担用户界面的呈现和基本的输入输出功能,而核心的业务处理、数据存储等操作则由服务器端完成。这种架构的核心优势在于无需在每个客户端机器上安装或更新软件,只要用户的浏览器符合要求,就可以使用系统。
B/S(Browser/Server)架构是一种网络架构模型,其主要特点是客户端通过浏览器与服务器进行通信,所有的业务逻辑和数据处理都在服务器端完成,客户端仅负责展示数据[2]。B/S架构本质上是一种客户端-服务器模式的变体,它通过将传统的C/S(Client/Server)架构中的客户端功能移到浏览器中,简化了客户端的开发和维护工作。在B/S架构中,用户通过浏览器发送请求,浏览器负责展示从服务器获取的数据,服务器则处理请求并返回响应。该架构避免了安装和配置客户端软件的麻烦,也减少了对客户端硬件的依赖,适合于需要大规模部署和跨平台支持的应用系统。
2.2 Django框架介绍
Django是高水准的Python编程语言驱动的一个开源模型.视图,控制器风格的Web应用程序框架,它起源于开源社区。使用这种架构,程序员可以方便、快捷地创建高品质、易维护、数据库驱动的应用程序。这也正是OpenStack的Horizon组件采用这种架构进行设计的主要原因[3]。另外,在Django框架中,还包含许多功能强大的第三方插件,使得Django具有较强的可扩展性[4]。Django 项目源自一个在线新闻 Web 站点,于 2005 年以开源的形式被释放出来。Django 框架的核心组件有:
(1)用于创建模型的对象关系映射;
(2)为最终用户设计较好的管理界面;
(3)URL 设计;
(4)设计者友好的模板语言;
(5)缓存系统。
Django(发音:[`dʒæŋɡəʊ]) 是用python语言写的开源web开发框架(open source web framework),它鼓励快速开发,并遵循MVC设计。Django遵守BSD版权,初次发布于2005年7月, 并于2008年9月发布了第一个正式版本1.0 。
Django 根据比利时的爵士音乐家Django Reinhardt命名,他是一个吉普赛人,主要以演奏吉它为主,还演奏过小提琴等。
由于Django在近年来的迅速发展,应用越来越广泛,被著名IT开发杂志SD Times评选为2013 SD Times 100,位列“API、库和框架”分类第6位,被认为是该领域的佼佼者。
2.3Vue技术
Vue.js是一款用于构建用户界面的渐进式JavaScript框架,提供一种灵活而高效的方式来开发单页面应用(SPA)。Vue的设计理念是通过尽量简化开发过程,提供一种声明式的方式来构建用户界面[5]。Vue.js通过数据驱动的视图模型,允许开发者以声明式语法绑定数据与视图,使得应用的状态和界面表现更加简洁和可维护。它的核心思想是通过组件化开发将复杂的UI拆分为可重用的独立模块,从而提升了代码的模块化、可维护性和可扩展性。
Vue.js具备响应式数据绑定和虚拟DOM的特性。响应式数据绑定意味着当数据变化时,Vue会自动更新与之绑定的DOM元素,从而实现视图的实时更新。虚拟DOM则是Vue.js的一种优化手段,通过将对DOM的操作抽象为一个虚拟的DOM树来提高性能,减少实际DOM操作的开销[6]。Vue还提供了丰富的插件和工具,如Vue Router用于路由管理,Vuex用于状态管理,方便开发者构建复杂的前端应用。Vue的灵活性和简洁性使其成为现代Web开发中常用的前端框架之一。
2.4 MySQL数据库
MySQL是一种开源的关系型数据库管理系统(RDBMS),基于SQL(结构化查询语言)进行数据操作。作为一个被广泛使用的数据库系统,MySQL具有高度的性能、可扩展性和可靠性。MySQL使用表格结构来存储数据,每个表由多个列和行组成,数据通过SQL查询语言进行操作[7]。MySQL支持多种数据类型,如整数、浮动小数、字符串、日期等,以满足不同应用场景对数据存储的需求。在实际应用中,MySQL通常用于存储和管理结构化数据,通过索引、视图、触发器等功能提升数据查询的效率和数据的完整性。
MySQL支持ACID事务特性(原子性、一致性、隔离性、持久性),确保数据库操作的可靠性和数据的一致性。它还支持多种存储引擎,其中InnoDB是最常用的存储引擎,具备事务支持、行级锁定和外键约束等特性,适用于高并发、高可靠性的数据存储需求。MySQL可以通过主从复制、分区和分库分表等技术实现横向扩展,以应对大规模数据存储和高负载的应用需求。MySQL还具有灵活的权限管理机制,支持用户角色管理、细粒度的权限控制等,保障数据的安全性。
2.5 python语言
Python是一种简洁易读、跨平台且功能强大的编程语言。它拥有庞大而活跃的社区,提供了丰富的第三方库和框架,如NumPy、Pandas和Django,使开发人员能够快速构建各种应用程序。Python在数据处理和科学计算方面表现出色,通过相关库和工具,可以进行数据分析、机器学习和科学计算等任务。此外,Python广泛应用于Web开发、自动化脚本、网络爬虫等领域,其多样性使其成为一个全能的编程语言。无论你是初学者还是有经验的开发者,Python的简单语法、跨平台性以及强大的社区支持都能为你提供高效、优雅和可靠的编程体验。总之,Python是一个强大而灵活的编程语言,深受开发人员喜爱,并在各个领域得到广泛应用。
3.1 系统可行性分析
3.1.1技术可行性
驾校预约设计与实现系统具有显著的技术可行性。Django作为成熟、稳定的Web开发框架,提供了丰富的功能和灵活的扩展性,能够支撑复杂的数据处理、算法实现和用户交互需求。Django的社区支持广泛,拥有丰富的资源和文档,为系统的开发和维护提供了有力保障。因此,从技术角度来看,利用Django实现驾校预约设计与实现是完全可行的。
在驾校预约设计与实现开发之前所做的市场调研及其他的相关的系统,都是没有任何费用的,都是通过开发者自己的努力,所有的工作的都是自己亲力亲为,在碰到自己比较难以解决的问题,大多是通过同学和指导老师的帮助进行相关信息的解决,所以对于驾校预约设计与实现的开发在经济上是完全可行的,没有任何费用支出的。
使用比较成熟的技术,系统是基于django的开发,采用Mysql数据库。所以系统在开发人力、财力要求不高,具有经济可行性。
可操作性主要是对驾校预约设计与实现设计完成后,用户的使用体验度,以及管理员可以通过系统随时管理相关的数据信息,并且对于管理员、学员用户、教练用户这三个用户角色,都可以简单明了的进入到自己的系统界面,通过界面导航菜单可以简单明了地操作功能模块,方便用户信息的操作需求和管理员管理数据信息,对于系统的操作,不需要专业人员都可以直接进行功能模块的操作管理,所以在系统的可操作性是完全可以的。本系统的操作使用的也是界面窗口进行登录,所以操作人员只要会简单的电脑操作就完全可以的。
3.2 系统功能分析
驾校预约设计与实现中采用了Python的Django框架进行开发,在数据库上选择MYSQL,在功能上驾校预约设计与实现划分为了学员用户、教练用户和和管理员这三大部分。功能需求分析如下:
(一)学员用户功能介绍:
首页:展示驾校的基本信息、课程推荐和最新动态。
通知公告:查看驾校发布的最新公告和重要通知。
驾校资讯:获取有关驾校的新闻、活动及重要信息。
留言反馈:向驾校反馈意见和建议,促进沟通。
课程安排:查看课程的时间安排和内容详情。
我的账户:管理学员个人信息、登录状态等账户相关事项。
个人中心:管理学员的个人信息,包括:
个人首页:展示学员的基本信息和学习进度。
学员预约:进行课程预约、查看预约情况。
学车记录:查看学员的历史学车记录和进度。
学员评价:对学员课程和教练进行评价。
收藏:管理学员收藏的课程和资讯。
评论管理:查看和管理自己的课程评论。
- 教练用户功能介绍:
后台首页:查看系统信息和任务安排。
课程安排管理:查看和管理自己负责的课程安排。
学员预约管理:处理学员的课程预约请求和变更。
学车记录管理:查看学员的学车进度和记录。
学员评价管理:查看学员对课程和教学的评价,进行反馈管理。
(三)管理员功能介绍:
后台首页:展示系统的整体概况和最新活动。
系统用户:管理系统中的用户信息,包括学员、教练等角色。
课程科目管理:管理和设置驾校的课程科目。
课程安排管理:管理课程的时间、地点和教练安排。
学员预约管理:查看学员预约记录,处理预约请求。
学车记录管理:管理和查询学员的学车记录。
学员评价管理:查看学员对教练和课程的评价,进行管理。
系统管理(轮播图):管理网站首页的轮播图内容。
留言管理:查看和处理学员的留言和反馈。
通知公告管理:发布和管理驾校的通知和公告。
资源管理(驾校资讯、资讯分类):管理驾校的资讯和相关分类
3.3系统用例分析
系统的用例展示的是系统功能与用户之间的关系,通过用例的方式能够直观的展示出来,本驾校预约设计与实现的完整UML用例图分别是图3-1、图3-2和图3-3。

图3-1 驾校预约设计与实现学员用户角色用例图

图3-2 驾校预约设计与实现教练用户角色用例图

图3-3 驾校预约设计与实现管理员角色用例图
3.4系统流程分析
3.4.1登录流程

图3-4登录流程图
3.4.2添加信息流程
添加信息流程图,如下图所示:

图3-5添加信息流程图
3.4.3删除信息流程
删除信息流程图,如下图所示:

图3-6删除信息流程图
3.4.4系统操作流程
系统操作流程图,如下图所示:

图3-7系统操作流程图
4.1系统设计的原理
系统设计原理包括:
- 模块化。模块化就是把整个程序划分为多个模块,每个模块有自己的名字并可以被独立访问。所有模块的功能集合起来就可以满足用户需求。
- 抽象。抽象是暂时忽略软件的细节,集中精力将软件的本质特征提取出来。
- 逐步求精。总体设计需要先解决主要问题,再将问题一步步细化。
- 局部化和信息隐藏。不同模块之间,信息相互不能访问,是不能访问的;并且应该在相近的物理地址上放置关系较密切的软件元素。
- 模块独立。模块之间应该遵循高内聚,低耦合的原则。
4.2系统功能设计
系统的功能结构图如下所示。

图4-1系统功能结构图
4.3数据库设计
数据库设计(DatabaseDesign)是指对一个给定的环境,构造良好的数据库模式,建立数据库系统,使之能够最有效地存储数据,满足各类用户的需求即处理要求和信息要求。在数据库应用范围内,经常把使用数据库的系统称为数据库的应用系统。
4.3.1数据库实体设计
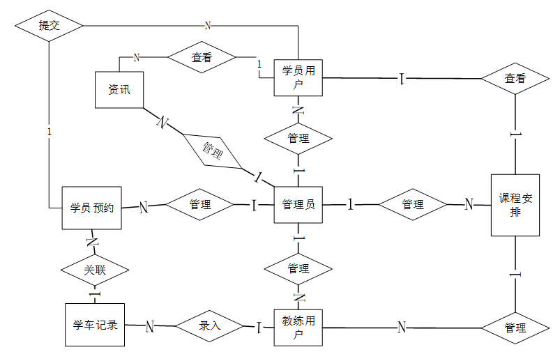
数据库实体设计是数据库设计的关键步骤,对实际业务逻辑中涉及的实体及其属性进行抽象建模,明确系统中的主要信息对象及其关系[8]。在实体设计中,根据需求分析确定系统的核心实体,如用户、角色、权限等,提取实体的主要属性,如用户的ID、姓名、联系方式,名称、类型等,同时定义各实体之间的关系,包括一对一、一对多、多对多等。在设计过程中,注重实体的完整性、规范性和唯一性,确保设计能够满足系统功能需求,并为后续的表设计提供清晰的结构框架。实体设计需遵循数据库设计的标准化要求,避免数据冗余和不必要的复杂度。
系统的主要实体间关系E-R图如下图所示:

图4-2系统E-R图
4.3.2数据库表设计
数据库表设计基于实体设计,将抽象的实体映射为具体的表结构。设计过程中,为每个实体定义表名、字段名及数据类型[9]。根据业务需求,合理定义主键、外键及约束条件,确保表之间的关联性,例如通过外键建立用户表和角色表之间的关系。表设计时注重数据存储的完整性、一致性,并通过索引优化查询效率,最终确保数据库结构能够支持系统的功能需求。以下是系统的数据库表设计展示。
表 4-1-access_token(登陆访问时长)
| 编号 | 字段名 | 类型 | 长度 | 是否非空 | 是否主键 | 注释 |
| 1 | token_id | int | 是 | 是 | 临时访问牌ID | |
| 2 | token | varchar | 64 | 否 | 否 | 临时访问牌 |
| 3 | info | text | 65535 | 否 | 否 | 信息 |
| 4 | maxage | int | 是 | 否 | 最大寿命:默认2小时 | |
| 5 | create_time | timestamp | 是 | 否 | 创建时间 | |
| 6 | update_time | timestamp | 是 | 否 | 更新时间 | |
| 7 | user_id | int | 是 | 否 | 用户编号 |
表 4-2-article(文章)
| 编号 | 字段名 | 类型 | 长度 | 是否非空 | 是否主键 | 注释 |
| 1 | article_id | mediumint | 是 | 是 | 文章id | |
| 2 | title | varchar | 125 | 是 | 是 | 标题 |
| 3 | type | varchar | 64 | 是 | 否 | 文章分类 |
| 4 | hits | int | 是 | 否 | 点击数 | |
| 5 | praise_len | int | 是 | 否 | 点赞数 | |
| 6 | create_time | timestamp | 是 | 否 | 创建时间 | |
| 7 | update_time | timestamp | 是 | 否 | 更新时间 | |
| 8 | source | varchar | 255 | 否 | 否 | 来源 |
| 9 | url | varchar | 255 | 否 | 否 | 来源地址 |
| 10 | tag | varchar | 255 | 否 | 否 | 标签 |
| 11 | content | longtext | 4294967295 | 否 | 否 | 正文 |
| 12 | img | varchar | 255 | 否 | 否 | 封面图 |
| 13 | description | text | 65535 | 否 | 否 | 文章描述 |
表 4-3-article_type(文章分类)
| 编号 | 字段名 | 类型 | 长度 | 是否非空 | 是否主键 | 注释 |
| 1 | type_id | smallint | 是 | 是 | 分类ID | |
| 2 | display | smallint | 是 | 否 | 显示顺序 | |
| 3 | name | varchar | 16 | 是 | 否 | 分类名称 |
| 4 | father_id | smallint | 是 | 否 | 上级分类ID | |
| 5 | description | varchar | 255 | 否 | 否 | 描述 |
| 6 | icon | text | 65535 | 否 | 否 | 分类图标 |
| 7 | url | varchar | 255 | 否 | 否 | 外链地址 |
| 8 | create_time | timestamp | 是 | 否 | 创建时间 | |
| 9 | update_time | timestamp | 是 | 否 | 更新时间 |
表 4-4-auth(用户权限管理)
| 编号 | 字段名 | 类型 | 长度 | 是否非空 | 是否主键 | 注释 |
| 1 | auth_id | int | 是 | 是 | 授权ID | |
| 2 | user_group | varchar | 64 | 否 | 否 | 用户组 |
| 3 | mod_name | varchar | 64 | 否 | 否 | 模块名 |
| 4 | table_name | varchar | 64 | 否 | 否 | 表名 |
| 5 | page_title | varchar | 255 | 否 | 否 | 页面标题 |
| 6 | path | varchar | 255 | 否 | 否 | 路由路径 |
| 7 | parent | varchar | 64 | 否 | 否 | 父级菜单 |
| 8 | parent_sort | int | 是 | 否 | 父级菜单排序 | |
| 9 | position | varchar | 32 | 否 | 否 | 位置 |
| 10 | mode | varchar | 32 | 是 | 否 | 跳转方式 |
| 11 | add | tinyint | 是 | 否 | 是否可增加 | |
| 12 | del | tinyint | 是 | 否 | 是否可删除 | |
| 13 | set | tinyint | 是 | 否 | 是否可修改 | |
| 14 | get | tinyint | 是 | 否 | 是否可查看 | |
| 15 | field_add | text | 65535 | 否 | 否 | 添加字段 |
| 16 | field_set | text | 65535 | 否 | 否 | 修改字段 |
| 17 | field_get | text | 65535 | 否 | 否 | 查询字段 |
| 18 | table_nav_name | varchar | 500 | 否 | 否 | 跨表导航名称 |
| 19 | table_nav | varchar | 500 | 否 | 否 | 跨表导航 |
| 20 | option | text | 65535 | 否 | 否 | 配置 |
| 21 | create_time | timestamp | 是 | 否 | 创建时间 | |
| 22 | update_time | timestamp | 是 | 否 | 更新时间 |
表 4-5-coach_user(教练用户)
| 编号 | 字段名 | 类型 | 长度 | 是否非空 | 是否主键 | 注释 |
| 1 | coach_user_id | int | 是 | 是 | 教练用户ID | |
| 2 | coach_name | varchar | 64 | 否 | 否 | 教练姓名 |
| 3 | coach_gender | varchar | 64 | 否 | 否 | 教练性别 |
| 4 | examine_state | varchar | 16 | 是 | 否 | 审核状态 |
| 5 | user_id | int | 是 | 否 | 用户ID | |
| 6 | create_time | datetime | 是 | 否 | 创建时间 | |
| 7 | update_time | timestamp | 是 | 否 | 更新时间 |
表 4-6-code_token(验证码)
| 编号 | 字段名 | 类型 | 长度 | 是否非空 | 是否主键 | 注释 |
| 1 | code_token_id | int | 是 | 是 | 验证码ID | |
| 2 | token | varchar | 255 | 否 | 否 | 令牌 |
| 3 | code | varchar | 255 | 否 | 否 | 验证码 |
| 4 | expire_time | timestamp | 是 | 否 | 失效时间 | |
| 5 | create_time | timestamp | 是 | 否 | 创建时间 | |
| 6 | update_time | timestamp | 是 | 否 | 更新时间 |
表 4-7-collect(收藏)
| 编号 | 字段名 | 类型 | 长度 | 是否非空 | 是否主键 | 注释 |
| 1 | collect_id | int | 是 | 是 | 收藏ID | |
| 2 | user_id | int | 是 | 是 | 收藏人ID | |
| 3 | source_table | varchar | 255 | 否 | 否 | 来源表 |
| 4 | source_field | varchar | 255 | 否 | 否 | 来源字段 |
| 5 | source_id | int | 是 | 否 | 来源ID | |
| 6 | title | varchar | 255 | 否 | 否 | 标题 |
| 7 | img | varchar | 255 | 否 | 否 | 封面 |
| 8 | create_time | timestamp | 是 | 否 | 创建时间 | |
| 9 | update_time | timestamp | 是 | 否 | 更新时间 |
表 4-8-comment(评论)
| 编号 | 字段名 | 类型 | 长度 | 是否非空 | 是否主键 | 注释 |
| 1 | comment_id | int | 是 | 是 | 评论ID | |
| 2 | user_id | int | 是 | 是 | 评论人ID | |
| 3 | reply_to_id | int | 是 | 否 | 回复评论ID | |
| 4 | content | longtext | 4294967295 | 否 | 否 | 内容 |
| 5 | nickname | varchar | 255 | 否 | 否 | 昵称 |
| 6 | avatar | varchar | 255 | 否 | 否 | 头像地址 |
| 7 | create_time | timestamp | 是 | 否 | 创建时间 | |
| 8 | update_time | timestamp | 是 | 否 | 更新时间 | |
| 9 | source_table | varchar | 255 | 否 | 否 | 来源表 |
| 10 | source_field | varchar | 255 | 否 | 否 | 来源字段 |
| 11 | source_id | int | 是 | 否 | 来源ID |
表 4-9-course_arrangement(课程安排)
| 编号 | 字段名 | 类型 | 长度 | 是否非空 | 是否主键 | 注释 |
| 1 | course_arrangement_id | int | 是 | 是 | 课程安排ID | |
| 2 | course_name | varchar | 64 | 否 | 否 | 课程名称 |
| 3 | course_subjects | varchar | 64 | 否 | 否 | 课程科目 |
| 4 | course_coach | int | 否 | 否 | 课程教练 | |
| 5 | course_time | datetime | 否 | 否 | 课程时间 | |
| 6 | course_location | varchar | 64 | 否 | 否 | 课程地点 |
| 7 | course_fees | double | 否 | 否 | 课程费用 | |
| 8 | refund_policy | varchar | 64 | 否 | 否 | 退款政策 |
| 9 | cover_photo | varchar | 255 | 否 | 否 | 封面图片 |
| 10 | course_introduction | longtext | 4294967295 | 否 | 否 | 课程简介 |
| 11 | hits | int | 是 | 否 | 点击数 | |
| 12 | praise_len | int | 是 | 否 | 点赞数 | |
| 13 | collect_len | int | 是 | 否 | 收藏数 | |
| 14 | comment_len | int | 是 | 否 | 评论数 | |
| 15 | student_appointment_limit_times | int | 是 | 否 | 预约限制次数 | |
| 16 | create_time | datetime | 是 | 否 | 创建时间 | |
| 17 | update_time | timestamp | 是 | 否 | 更新时间 |
表 4-10-course_subjects(课程科目)
| 编号 | 字段名 | 类型 | 长度 | 是否非空 | 是否主键 | 注释 |
| 1 | course_subjects_id | int | 是 | 是 | 课程科目ID | |
| 2 | course_subjects | varchar | 64 | 否 | 否 | 课程科目 |
| 3 | create_time | datetime | 是 | 否 | 创建时间 | |
| 4 | update_time | timestamp | 是 | 否 | 更新时间 |
表 4-11-hits(用户点击)
| 编号 | 字段名 | 类型 | 长度 | 是否非空 | 是否主键 | 注释 |
| 1 | hits_id | int | 是 | 是 | 点赞ID | |
| 2 | user_id | int | 是 | 否 | 点赞人 | |
| 3 | create_time | timestamp | 是 | 否 | 创建时间 | |
| 4 | update_time | timestamp | 是 | 否 | 更新时间 | |
| 5 | source_table | varchar | 255 | 否 | 否 | 来源表 |
| 6 | source_field | varchar | 255 | 否 | 否 | 来源字段 |
| 7 | source_id | int | 是 | 否 | 来源ID |
表 4-12-learning_car_record(学车记录)
| 编号 | 字段名 | 类型 | 长度 | 是否非空 | 是否主键 | 注释 |
| 1 | learning_car_record_id | int | 是 | 是 | 学车记录ID | |
| 2 | course_name | varchar | 64 | 否 | 否 | 课程名称 |
| 3 | course_subjects | varchar | 64 | 否 | 否 | 课程科目 |
| 4 | course_coach | int | 否 | 否 | 课程教练 | |
| 5 | course_time | datetime | 否 | 否 | 课程时间 | |
| 6 | course_location | varchar | 64 | 否 | 否 | 课程地点 |
| 7 | student_users | int | 否 | 否 | 学员用户 | |
| 8 | name | varchar | 64 | 否 | 否 | 学员姓名 |
| 9 | student_hours | varchar | 64 | 否 | 否 | 学员学时 |
| 10 | learning_progress | varchar | 64 | 否 | 否 | 学习进度 |
| 11 | exam_results | varchar | 64 | 否 | 否 | 考试成绩 |
| 12 | learning_situation | text | 65535 | 否 | 否 | 学习情况 |
| 13 | student_evaluation_limit_times | int | 是 | 否 | 学员评价限制次数 | |
| 14 | create_time | datetime | 是 | 否 | 创建时间 | |
| 15 | update_time | timestamp | 是 | 否 | 更新时间 | |
| 16 | source_table | varchar | 255 | 否 | 否 | 来源表 |
| 17 | source_id | int | 否 | 否 | 来源ID | |
| 18 | source_user_id | int | 否 | 否 | 来源用户 |
表 4-13-message(留言板)
| 编号 | 字段名 | 类型 | 长度 | 是否非空 | 是否主键 | 注释 |
| 1 | message_id | int | 是 | 是 | 留言板ID | |
| 2 | user_id | int | 是 | 否 | 用户ID | |
| 3 | title | varchar | 64 | 否 | 否 | 标题 |
| 4 | content | longtext | 4294967295 | 是 | 否 | 内容 |
| 5 | nickname | varchar | 32 | 是 | 否 | 昵称 |
| 6 | avatar | varchar | 255 | 否 | 否 | 头像 |
| 7 | | varchar | 125 | 否 | 否 | 留言者邮箱 |
| 8 | phone | varchar | 11 | 否 | 否 | 留言者手机号码 |
| 9 | create_time | timestamp | 是 | 否 | 创建时间 | |
| 10 | update_time | timestamp | 是 | 否 | 更新时间 | |
| 11 | reply | longtext | 4294967295 | 否 | 否 | 回复 |
| 12 | reply_state | tinyint | 否 | 否 | 回复状态 |
表 4-14-notice(公告)
| 编号 | 字段名 | 类型 | 长度 | 是否非空 | 是否主键 | 注释 |
| 1 | notice_id | mediumint | 是 | 是 | 公告ID | |
| 2 | title | varchar | 125 | 是 | 否 | 标题 |
| 3 | content | longtext | 4294967295 | 否 | 否 | 正文 |
| 4 | create_time | timestamp | 是 | 否 | 创建时间 | |
| 5 | update_time | timestamp | 是 | 否 | 更新时间 |
表 4-15-praise(点赞)
| 编号 | 字段名 | 类型 | 长度 | 是否非空 | 是否主键 | 注释 |
| 1 | praise_id | int | 是 | 是 | 点赞ID | |
| 2 | user_id | int | 是 | 是 | 点赞人 | |
| 3 | create_time | timestamp | 是 | 否 | 创建时间 | |
| 4 | update_time | timestamp | 是 | 否 | 更新时间 | |
| 5 | source_table | varchar | 255 | 否 | 否 | 来源表 |
| 6 | source_field | varchar | 255 | 否 | 否 | 来源字段 |
| 7 | source_id | int | 是 | 否 | 来源ID | |
| 8 | status | tinyint | 是 | 否 | 点赞状态:1为点赞,0已取消 |
表 4-16-schedule(日程管理)
| 编号 | 字段名 | 类型 | 长度 | 是否非空 | 是否主键 | 注释 |
| 1 | schedule_id | smallint | 是 | 是 | 日程ID | |
| 2 | content | varchar | 255 | 否 | 否 | 日程内容 |
| 3 | scheduled_time | datetime | 否 | 否 | 计划时间 | |
| 4 | user_id | int | 是 | 否 | 用户ID | |
| 5 | create_time | datetime | 否 | 否 | 创建时间 | |
| 6 | update_time | datetime | 否 | 否 | 更新时间 |
表 4-17-score(评分)
| 编号 | 字段名 | 类型 | 长度 | 是否非空 | 是否主键 | 注释 |
| 1 | score_id | int | 是 | 是 | 评分ID | |
| 2 | user_id | int | 是 | 否 | 评分人 | |
| 3 | nickname | varchar | 64 | 否 | 否 | 昵称 |
| 4 | score_num | double | 是 | 否 | 评分 | |
| 5 | create_time | timestamp | 是 | 否 | 创建时间 | |
| 6 | update_time | timestamp | 是 | 否 | 更新时间 | |
| 7 | source_table | varchar | 255 | 否 | 否 | 来源表 |
| 8 | source_field | varchar | 255 | 否 | 否 | 来源字段 |
| 9 | source_id | int | 是 | 否 | 来源ID |
表 4-18-slides(轮播图)
| 编号 | 字段名 | 类型 | 长度 | 是否非空 | 是否主键 | 注释 |
| 1 | slides_id | int | 是 | 是 | 轮播图ID | |
| 2 | title | varchar | 64 | 否 | 否 | 标题 |
| 3 | content | varchar | 255 | 否 | 否 | 内容 |
| 4 | url | varchar | 255 | 否 | 否 | 链接 |
| 5 | img | varchar | 255 | 否 | 否 | 轮播图 |
| 6 | hits | int | 是 | 否 | 点击量 | |
| 7 | create_time | timestamp | 是 | 否 | 创建时间 | |
| 8 | update_time | timestamp | 是 | 否 | 更新时间 |
表 4-19-student_appointment(学员预约)
| 编号 | 字段名 | 类型 | 长度 | 是否非空 | 是否主键 | 注释 |
| 1 | student_appointment_id | int | 是 | 是 | 学员预约ID | |
| 2 | course_name | varchar | 64 | 否 | 否 | 课程名称 |
| 3 | course_subjects | varchar | 64 | 否 | 否 | 课程科目 |
| 4 | course_coach | int | 否 | 否 | 课程教练 | |
| 5 | course_time | datetime | 否 | 否 | 课程时间 | |
| 6 | course_location | varchar | 64 | 否 | 否 | 课程地点 |
| 7 | course_fees | double | 否 | 否 | 课程费用 | |
| 8 | student_users | int | 否 | 否 | 学员用户 | |
| 9 | name | varchar | 64 | 否 | 否 | 学员姓名 |
| 10 | pay_state | varchar | 16 | 是 | 否 | 支付状态 |
| 11 | pay_type | varchar | 16 | 否 | 否 | 支付类型: 微信、支付宝、网银 |
| 12 | learning_car_record_limit_times | int | 是 | 否 | 学车记录限制次数 | |
| 13 | create_time | datetime | 是 | 否 | 创建时间 | |
| 14 | update_time | timestamp | 是 | 否 | 更新时间 | |
| 15 | source_table | varchar | 255 | 否 | 否 | 来源表 |
| 16 | source_id | int | 否 | 否 | 来源ID | |
| 17 | source_user_id | int | 否 | 否 | 来源用户 |
表 4-20-student_evaluation(学员评价)
| 编号 | 字段名 | 类型 | 长度 | 是否非空 | 是否主键 | 注释 |
| 1 | student_evaluation_id | int | 是 | 是 | 学员评价ID | |
| 2 | course_name | varchar | 64 | 否 | 否 | 课程名称 |
| 3 | course_subjects | varchar | 64 | 否 | 否 | 课程科目 |
| 4 | course_coach | int | 否 | 否 | 课程教练 | |
| 5 | course_time | datetime | 否 | 否 | 课程时间 | |
| 6 | course_location | varchar | 64 | 否 | 否 | 课程地点 |
| 7 | student_users | int | 否 | 否 | 学员用户 | |
| 8 | name | varchar | 64 | 否 | 否 | 学员姓名 |
| 9 | evaluation_content | text | 65535 | 否 | 否 | 评价内容 |
| 10 | create_time | datetime | 是 | 否 | 创建时间 | |
| 11 | update_time | timestamp | 是 | 否 | 更新时间 | |
| 12 | source_table | varchar | 255 | 否 | 否 | 来源表 |
| 13 | source_id | int | 否 | 否 | 来源ID | |
| 14 | source_user_id | int | 否 | 否 | 来源用户 |
表 4-21-student_users(学员用户)
| 编号 | 字段名 | 类型 | 长度 | 是否非空 | 是否主键 | 注释 |
| 1 | student_users_id | int | 是 | 是 | 学员用户ID | |
| 2 | name | varchar | 64 | 否 | 否 | 学员姓名 |
| 3 | student_gender | varchar | 64 | 否 | 否 | 学员性别 |
| 4 | student_phone_number | varchar | 64 | 否 | 否 | 学员电话 |
| 5 | examine_state | varchar | 16 | 是 | 否 | 审核状态 |
| 6 | user_id | int | 是 | 否 | 用户ID | |
| 7 | create_time | datetime | 是 | 否 | 创建时间 | |
| 8 | update_time | timestamp | 是 | 否 | 更新时间 |
表 4-22-upload(文件上传)
| 编号 | 字段名 | 类型 | 长度 | 是否非空 | 是否主键 | 注释 |
| 1 | upload_id | int | 是 | 是 | 上传ID | |
| 2 | name | varchar | 64 | 否 | 否 | 文件名 |
| 3 | path | varchar | 255 | 否 | 否 | 访问路径 |
| 4 | file | varchar | 255 | 否 | 否 | 文件路径 |
| 5 | display | varchar | 255 | 否 | 否 | 显示顺序 |
| 6 | father_id | int | 否 | 否 | 父级ID | |
| 7 | dir | varchar | 255 | 否 | 否 | 文件夹 |
| 8 | type | varchar | 32 | 否 | 否 | 文件类型 |
表 4-23-user(用户账户)
| 编号 | 字段名 | 类型 | 长度 | 是否非空 | 是否主键 | 注释 |
| 1 | user_id | int | 是 | 是 | 用户ID | |
| 2 | state | smallint | 是 | 否 | 账户状态:(1可用|2异常|3已冻结|4已注销) | |
| 3 | user_group | varchar | 32 | 否 | 否 | 所在用户组 |
| 4 | login_time | timestamp | 是 | 否 | 上次登录时间 | |
| 5 | phone | varchar | 11 | 否 | 否 | 手机号码 |
| 6 | phone_state | smallint | 是 | 否 | 手机认证:(0未认证|1审核中|2已认证) | |
| 7 | username | varchar | 16 | 是 | 否 | 用户名 |
| 8 | nickname | varchar | 16 | 否 | 否 | 昵称 |
| 9 | password | varchar | 64 | 是 | 否 | 密码 |
| 10 | | varchar | 64 | 否 | 否 | 邮箱 |
| 11 | email_state | smallint | 是 | 否 | 邮箱认证:(0未认证|1审核中|2已认证) | |
| 12 | avatar | varchar | 255 | 否 | 否 | 头像地址 |
| 13 | open_id | varchar | 255 | 否 | 否 | 针对获取用户信息字段 |
| 14 | create_time | timestamp | 是 | 否 | 创建时间 |
表 4-24-user_group(用户组)
| 编号 | 字段名 | 类型 | 长度 | 是否非空 | 是否主键 | 注释 |
| 1 | group_id | mediumint | 是 | 是 | 用户组ID | |
| 2 | display | smallint | 是 | 否 | 显示顺序 | |
| 3 | name | varchar | 16 | 是 | 否 | 名称 |
| 4 | description | varchar | 255 | 否 | 否 | 描述 |
| 5 | source_table | varchar | 255 | 否 | 否 | 来源表 |
| 6 | source_field | varchar | 255 | 否 | 否 | 来源字段 |
| 7 | source_id | int | 是 | 否 | 来源ID | |
| 8 | register | smallint | 否 | 否 | 注册位置 | |
| 9 | create_time | timestamp | 是 | 否 | 创建时间 | |
| 10 | update_time | timestamp | 是 | 否 | 更新时间 |
5.1学员用户功能模块实现
5.1.1登录界面
登录模块,用户、管理员可以通过登录进入该系统,如果输入正确用户名和密码,则可以进入该系统。用户登录界面如下图所示。

图5-1登录模块界面图
登录关键代码如下:
def Login(self, ctx):
print("===================登录=====================")
ret = {
"error": {
"code": 70000,
"message": "账户不存在",
}
}
body = ctx.body
password = md5hash(body["password"]) or ""
obj = service_select("user").Get_obj(
{"username": body["username"]}, {"like": False}
)
if obj:
user_group = service_select("user_group").Get_obj({'name': obj['user_group']}, {"like": False})
if user_group and user_group['source_table'] != '':
user_obj = service_select(user_group['source_table']).Get_obj({"user_id": obj['user_id']}, {"like": False})
if user_obj['examine_state'] == '未通过':
ret = {
"error": {
"code": 70000,
"message": "账户未通过审核",
}
}
return ret
if user_obj['examine_state'] == '未审核':
ret = {
"error": {
"code": 70000,
"message": "账户未审核",
}
}
return ret
if obj["state"] == 1:
if obj["password"] == password:
timeout = timezone.now()
timestamp = int(time.mktime(timeout.timetuple())) * 1000
token = md5hash(str(obj["user_id"]) + "_" + str(timestamp))
ctx.request.session[token] = obj["user_id"]
service_select("access_token").Add(
{"token": token, "user_id": obj["user_id"]}
)
obj["token"] = token
ret = {
"result": {"obj": obj}
}
else:
ret = {
"error": {
"code": 70000,
"message": "密码错误",
}
}
else:
ret = {
"error": {
"code": 70000,
"message": "用户账户不可用,请联系管理员",
}
}
return ctx.response(json.dumps(ret, ensure_ascii=False))
如果用户进入该系统,则注册该用户的信息,如果注册成功,就可以进入该系统,显示的结果如下。注册用户界面如下图所示。

图5-2注册用户界面图
注册关键代码如下:
def Register(self, ctx):
print("===================注册=====================")
userService = service_select("user")
body = ctx.body
if "username" not in body and body["username"] == '':
return ctx.response(json.dumps({
"error": {
"code": 70000,
"message": "用户名不能为空",
}
}, ensure_ascii=False))
if "user_group" not in body and body["user_group"] == '':
return ctx.response(json.dumps({
"error": {
"code": 70000,
"message": "用户组不能为空",
}
}, ensure_ascii=False))
if "password" not in body and body["password"] == '':
return ctx.response(json.dumps({
"error": {
"code": 70000,
"message": "密码不能为空",
}
}, ensure_ascii=False))
post_param = body
post_param['nickname'] = body["nickname"] or ""
post_param['password'] = md5hash(body["password"])
obj = userService.Get_obj({"username": post_param['username']}, {"like": False})
if obj:
return ctx.response(json.dumps({
"error": {
"code": 70000,
"message": "用户名已存在",
}
}, ensure_ascii=False))
ret = {
"error": {
"code": 70000,
"message": "注册失败",
}
}
bl = userService.Add(post_param)
if bl:
ret = {
"result": {
"bl": True,
"message": "注册成功"
}
}
return ctx.response(json.dumps(ret, ensure_ascii=False))
5.1.3留言反馈界面
用户可以向驾校反馈意见和建议,促进沟通。留言反馈界面如下图所示。

图5-3留言反馈界面图
当用户点击“驾校资讯”这一菜单按钮,会显示管理员在后台发布的所有的驾校资讯信息,支持通过关键词对资讯进行搜索,选择需要的资讯信息点击可以进入到资讯信息详细的介绍界面,同时可以进行点赞、收藏和评论等操作,驾校资讯界面如下图所示。

图5-4驾校资讯页面图
用户点击“课程安排”这一菜单按钮,会显示管理员在后台发布的所有的课程安排,支持通过关键词对课程安排进行搜索,选择需要的课程安排点击可以进入到课程安排详细的介绍界面,同时可以进行预约、点赞、收藏等操作,课程安排界面如下图所示。

教练用户点击“课程安排管理”这一菜单会显示课程安排列表这个子菜单,点击“课程安排列表”可以查看课程安排详情,可以进行查询和重置的操作。课程安排管理界面如下图所示。

图5-6课程安排管理页面图
教练用户点击“学员预约管理”这一菜单按钮,会显示出学员预约列表,支持输入课程名称、支付状态进行查询和重置的操作。学员预约管理界面如下图所示。

图5-7学员预约管理页面图
管理员可以对系统中所有的用户角色进行管控,包含了管理员、学员用户和教练用户这三种角色,如果需要添加新的用户,点击页面中的“添加”按钮根据提示输入上用户信息,点击“提交”以后在对应的用户界面就可以查看到了,可以点击用户后面的“删除”按钮直接删除某一用户。系统用户如下图所示。

图5-8系统用户页面图
增删查改关键代码如下:
增
def Add(self, ctx):
body = ctx.body
unique = self.config.get("unique")
obj = None
if unique:
qy = {}
for i in range(len(unique)):
key = unique[i]
qy[key] = body.get(key)
obj = self.service.Get_obj(qy)
if not obj:
error = self.Add_before(ctx)
if error["code"]:
return {"error": error}
error = self.Events("add_before", ctx, None)
if error["code"]:
return {"error": error}
result = self.service.Add(body, self.config)
if self.service.error:
return {"error": self.service.error}
res = self.Add_after(ctx, result)
if res:
result = res
res = self.Events("add_after", ctx, result)
if res:
result = res
return {"result": result}
else:
return {"error": {"code": 10000, "message": "已存在"}}
删
def Del(self, ctx):
if len(ctx.query) == 0:
errorMsg = {"code": 30000, "message": "删除条件不能为空!"}
return errorMsg
result = self.service.Del(ctx.query, self.config)
if self.service.error:
return {"error": self.service.error}
return {"result": result}
改
def Set(self, ctx):
error = self.Set_before(ctx)
if error["code"]:
return {"error": error}
error = self.Events("set_before", ctx, None)
if error["code"]:
return {"error": error}
query = ctx.query
if 'page' in query.keys():
del ctx.query['page']
if 'size' in query.keys():
del ctx.query['size']
if 'orderby' in query.keys():
del ctx.query['orderby']
result = self.service.Set(ctx.query, ctx.body, self.config)
if self.service.error:
return {"error": self.service.error}
res = self.Set_after(ctx, result)
if res:
result = res
res = self.Events("set_after", ctx, result)
if res:
result = res
return {"result": result}
查多条数据:
def Get_list(self, ctx):
query = dict(ctx.query)
config_plus = {}
if "field" in query:
field = query.pop("field")
config_plus["field"] = field
if "page" in query:
config_plus["page"] = query.pop("page")
if "size" in query:
config_plus["size"] = query.pop("size")
if "orderby" in query:
config_plus["orderby"] = query.pop("orderby")
if "like" in query:
config_plus["like"] = query.pop("like")
if "groupby" in query:
config_plus["groupby"] = query.pop("groupby")
count = self.service.Count(query)
lst = []
if self.service.error:
return {"error": self.service.error}
elif count:
lst = self.service.Get_list(query,
obj_update(self.config, config_plus))
if self.service.error:
return {"error": self.service.error}
self.interact_list(ctx, lst)
return {"result": {"list": lst, "count": count}}
查一条数据:
def Get_obj(self, ctx):
query = dict(ctx.query)
config_plus = {}
if "field" in query:
field = query.pop("field")
config_plus["field"] = field
obj = self.service.Get_obj(query, obj_update(self.config, config_plus))
if self.service.error:
return {"error": self.service.error}
if obj:
self.interact_obj(ctx, obj)
return {"result": {"obj": obj}}
管理员点击“课程科目管理”这一菜单会显示课程科目列表和课程科目添加两个子菜单,点击“课程科目列表”可以查看课程科目详情,可以进行查询、重置、删除等操作。点击“课程科目添加”,管理员可以添加新的课程科目。课程科目管理界面如下图所示。

图5-9课程科目管理界面图
管理员点击“课程安排管理”这一菜单会显示课程安排列表和课程安排添加两个子菜单,点击“课程安排列表”可以查看课程安排详情,可以进行查询、重置、删除等操作。点击“课程安排添加”,管理员可以添加新的课程安排。课程安排管理界面如下图所示。

图5-10课程安排管理界面图
点击“轮播图”管理员可以插入轮播图图片、填写标题进行提交。如下图所示。

5.3.5 通知公告管理界面
点击“通知公告管理”这个菜单,可以查看到系统中所有添加的系统公告,支持通过标题对系统公告进行查询,添加、删除等操作。通知公告管理界面如下图所示。

图5-12通知公告管理界面图
5.3.6资源管理界面
当点击“资源管理”这一菜单的时候,会出现驾校资讯、资讯分类这两个子菜单,可以对这两个模块进行增删改查操作。资源管理界面如下图所示。

6系统测试
测试存在于软件开发进程中的最后一个阶段,它可以保证一个软件的开发质量是否符合设计者的初衷,也为程序的正式上线做了最后一道质量检测的工序。软件测试主要是控制各种条件、包括软件输出方式,使用模式和运行环境等,来评估一个系统或应用是否符合设计标准。在软件测试过程中,我们一般刻意的去制造错误和极端条件,不能仅依照正常模式允许,而是多去尝试那些意外的情况。
系统测试包括:用户登录功能测试、课程安排查看测试、发布公告信息、驾校资讯搜索、密码修改功能测试,如表6-1、6-2、6-3、6-4、6-5所示:
表6-1 用户登录功能测试表
| 用例名称 | 用户登录系统 |
| 目的 | 测试用户通过正确的用户名和密码可否登录功能 |
| 前提 | 未登录的情况下 |
| 测试流程 | 1) 进入登录页面 2) 输入正确的用户名和密码 |
| 预期结果 | 用户名和密码正确的时候,跳转到登录成功界面,反之则显示错误信息,提示重新输入 |
| 实际结果 | 实际结果与预期结果一致 |
课程安排查看功能测试:
表6-2 课程安排查看功能测试表
| 用例名称 | 课程安排查看 |
| 目的 | 测试课程安排查看功能 |
| 前提 | 用户登录 |
| 测试流程 | 点击课程安排列表 |
| 预期结果 | 可以查看到所有课程安排 |
| 实际结果 | 实际结果与预期结果一致 |
管理员发布公告信息界面测试:
表6-3 管理员发布公告信息界面测试表
| 用例名称 | 公告信息发布测试用例 |
| 目的 | 测试公告信息发布功能 |
| 前提 | 用户正常登录情况下 |
| 测试流程 | 1)点击公告信息管理,然后点击发布添加后并填写信息。 2)点击进行提交。 |
| 预期结果 | 提交以后,页面首页会显示新的公告信息 |
| 实际结果 | 实际结果与预期结果一致 |
驾校资讯搜索功能测试:
表6-4驾校资讯搜索功能测试表
| 用例名称 | 驾校资讯搜索测试 |
| 目的 | 测试驾校资讯搜索功能 |
| 前提 | 无 |
| 测试流程 | 1)在搜索框填入搜索关键字。 2)点击搜索按钮。 |
| 预期结果 | 页面显示包含有搜索关键字的驾校资讯 |
| 实际结果 | 实际结果与预期结果一致 |
密码修改功能测试:
表6-5 密码修改功能测试表
| 用例名称 | 密码修改测试用例 |
| 目的 | 测试管理员密码修改功能 |
| 前提 | 管理员用户正常登录情况下 |
| 测试流程 | 1)管理员密码修改并完成填写。 2)点击进行提交。 |
| 预期结果 | 使用新的密码可以登录 |
| 实际结果 | 实际结果与预期结果一致 |
经过对驾校预约设计与实现的测试,我们已经完成了5大模块的检测,包括用户登录功能测试、课程安排查看测试、发布公告信息、驾校资讯搜索、密码修改功能测试,这些功能为后续的推广运营提供了强有力的技术支持。
通过驾校预约设计与实现的开发,本人巩固了之前学过的知识,如今将平时所学到的知识融合在设计中,在设计过程中,做了很多的准备,首先,在数据库系统的设计过程中,尤其是在数据库的工作原理、工作特点,对其深刻的讨论,与此同时,对于小型站点来说,最好服务器的选择,其次,利用所学的知识点分析所做的系统,并在此基础上设计。
目前本系统已经上线,正在试运行阶段,用户反馈良好,基本完成用户所需,试运行过程中没有出现阻断性问题,有一些不足和小问题也及时予以修正,系统上线后,为了保证数据的安全性,对系统进行了备份操作,系统备份是每两个月备份一次,数据库备份为每周备份一次,系统部署在云平台服务器中。
本次系统上线成功后,得到了用户的高度认可,但是在功能上和性能上还需做进一步的研究处理,使其有更高的性能和更好的用户体验。
系统在以后的升级过程中,需要解决一系列用户所提出的问题,例如打印过程中如何避免浏览器的兼容性问题,大量用户访问时,如何保持较高的响应速度,在系统今后的升级过程中将着重解决这些安全性问题。
- 郦昕昕.基于B/S模式的人事管理系统设计与实现[J].集成电路应用,2024,41(05):246-247.DOI:10.19339/j.issn.1674-2583.2024.05.112.
- 赵惠.基于B/S模式的实验室管理系统设计和实现[J].中国新通信,2023,25(21):72-74.
- 曹雪朋.基于Django的数据分析系统设计与实现[J].信息与电脑(理论版),2023,35(15):141-143.
- 郭显娥.Django实现ORM模型数据查询优化[J].山西大同大学学报(自然科学版),2019,35(03):27-31+36.
- 赵媛.基于Vue的Web系统前端性能优化分析[J].电脑编程技巧与维护,2024,(09):44-46.
- 秦冬.浅析Vue框架在前端开发中的应用[J].信息与电脑(理论版),2024,36(13):61-63.
- 李艳杰.MySQL数据库下存储过程的综合运用研究[J].现代信息科技,2023,7(11):80-82+88.
- 马艳艳,吴晓光.计算机软件与数据库的设计策略分析[J].电子技术,2024,53(05):104-105.
- 李俊萌.计算机软件测试技术与开发应用策略分析[J].信息记录材料,2023,24(03):50-52.
- Zhang J .Teaching Reform of Java Program Design Based on Vocational Education Cloud Platform[J].Journal of Higher Education Teaching,2024,1(5):
- 段瑞,李方一.Java项目任务教学研究与设计[C]//河南省民办教育协会.2024年高等教育发展论坛论文集(上册).绵阳城市学院;,2024:2.DOI:10.26914/c.cnkihy.2024.009751.
- Ullenboom C .Java Programming Exercises:Volume Two: Java Standard Library[M].CRC Press:2024-03-30.
- Zhou R ,Luo K ,Chen X , et al.Research on the Construction of Computer Courses Based on CBE-CDIO Engineering Education Concept: Taking the Course “JAVA Programming” as an Example[J].Contemporary Education Frontiers,2023,1(2):
- Jing Y ,Funabiki* N,Th S, et al.A Proposal of Hint Function for Java Programming Learning Assistant System[J].International Journal of Information and Education Technology,2023,13(11):
- Davi V .Designing Hexagonal Architecture with Java:Build maintainable and long-lasting applications with Java and Quarkus[M].Packt Publishing Limited:2023-09-29.DOI:10.0000/9781837630714.
- 张昊宇.基于Petri网的驾校预约系统优化分析[J].赤峰学院学报(自然科学版),2022,38(06):27-30.DOI:10.13398/j.cnki.issn1673-260x.2022.06.006.
- 李唯.基于SpringBoot+Mybatis的驾校预约系统设计与实现[J].电脑编程技巧与维护,2022,(03):10-12.DOI:10.16184/j.cnki.comprg.2022.03.003.
- 李双,郭晨晨,李佳虎,等.基于SSM框架的智能驾校系统的设计与开发[J].电脑知识与技术,2022,18(03):62-63+65.DOI:10.14004/j.cnki.ckt.2022.0150.
- 李佳隆.驾校综合服务平台系统的设计与实现[J].中小企业管理与科技(中旬刊),2019,(04):119-120.
经历了近三个多月的动手实践及老师辛勤的指导和同学朋友热心的帮助下,本人的毕业设计驾校预约设计与实现的基本功能也基本完成。
此次设计中,通过不断的探讨与学习使我熟悉、使我初步了解了Django相关技术。我做的是一个B/S结构的驾校预约设计与实现,使我对做网站所需要,及运行的环境有了初步的了解,在此次设计中我翻阅了较多的书籍,在有限的时间了丰富了对驾校预约设计与实现技术的知识也积累了少许的经验。起初对Python的初步认识,通过这次设计更进一步的了解了其工作原理,懂得了配置服务器环境,连接数据库源,在设计过程中,也学会了用Pycharm设计一个简单的页面,增强了动手的能力,激发了在此方面的兴趣。
但是由于时间、基础及缺乏实践等多方面的问题,还有诸多需要解决的问题依然存在,设计中很多方面考虑不够周全或者考虑不到。
非常感谢我的老师,我的同学,我的朋友并希望在今后的学习生活中不断陪养多方面的兴趣,不断学习进步从而能够实现独立完成。设计中存在的诸多缺点诚肯老师的原谅。
点赞+收藏+关注 →私信领取本源代码、数据库
关注博主下篇更精彩
一键三连!!!
一键三连!!!
一键三连!!!
感谢一键三连!!!
基于Python的驾校预约系统
660

被折叠的 条评论
为什么被折叠?



