摘要
随着信息技术发展,高考志愿填报领域面临变革。传统高考志愿填报依靠纸质资料和人工咨询,信息获取有限,决策过程复杂,效率低下且易出错。为解决这些问题,本系统采用Vue构建前端界面,以Django作为后端框架,MySQL作为数据库,实现高效信息管理和交互。系统功能包括用户端的专业信息详情浏览、高校详情信息浏览、用户评论、填报志愿和反馈信息;管理员端的用户管理、高校信息管理、专业信息管理、填报志愿管理和反馈信息管理。
关键词:高考志愿智能填报系统,python,Django,Vue,MySQL
With the development of information technology, the field of voluntary filling in the college entrance examination is facing changes. Traditional college entrance examination voluntary filling relies on paper materials and manual consultation, with limited access to information, complex decision-making process, low efficiency and error-prone. In order to solve these problems, the system uses Vue to build a front-end interface, with Django as the back-end framework and MySQL as the database to achieve efficient information management and interaction. The functions of the system include the user's professional information details browsing, university details information browsing, user comments, filling in volunteer and feedback information; User management, university information management, professional information management, volunteer management and feedback information management on the administrator's side.
Key words: college entrance examination voluntary intelligent filling system, python, Django, Vue, MySQL
目录
高考志愿填报作为学生升学的重要环节,其发展历程与教育资源分配方式紧密相连。在传统模式下,学生和家长主要依赖纸质招生简章、高校招生咨询会以及教师建议来获取信息。这种方式信息来源有限且更新缓慢,难以满足学生对全面、精准信息的需求[1]。随着互联网和信息技术的普及,教育资源的数字化和信息化程度显著提高,信息传播速度加快,学生获取志愿填报相关资料的渠道日益丰富[2]。信息的海量增长也带来了筛选困难、信息真实性难以辨别等问题。在此背景下,高考志愿填报服务逐渐从线下向线上迁移,为学生提供了更加便捷、高效的信息获取途径,但目前仍缺乏系统化、智能化的解决方案,导致学生在决策过程中面临诸多挑战。
本系统应运而生,旨在解决传统高考志愿填报过程中的信息不对称、决策支持不足等问题。系统通过整合高校招生信息、专业详情以及历年录取数据,为学生提供一站式的信息查询服务,帮助其快速了解目标高校和专业情况。同时,系统引入用户评论功能,使学生能够参考其他考生的经验和建议,进一步丰富信息来源[3]。系统还提供填报志愿模拟功能,帮助学生根据自身成绩和偏好制定合理志愿方案,降低志愿填报风险。对于管理员而言,系统具备高效的信息管理功能,便于实时更新高校和专业信息,确保数据准确性和时效性。本系统的出现,不仅提升了高考志愿填报的效率和科学性,还为学生提供了更加公平、透明的升学机会,具有重要的现实意义。
随着教育信息化的推进,国内高考志愿填报辅助系统的研究与开发逐渐兴起。众多教育机构和科技公司纷纷涉足该领域,推出了一系列智能化平台。某知名教育科技公司开发的高考志愿填报系统,整合了历年高考录取数据、高校专业信息以及就业前景分析等内容,为考生提供全方位的信息支持。该系统通过大数据分析技术,根据考生的分数、兴趣爱好和职业规划,生成个性化的志愿填报方案[4]。另一家互联网教育平台则侧重于用户交互体验,其系统界面简洁明了,操作便捷,考生可以轻松查询高校招生计划、专业详情以及历年分数线等信息。该平台还设有在线咨询服务,邀请高校招生专家为考生答疑解惑。这些系统的出现,极大地丰富了考生获取信息的渠道,提高了志愿填报的科学性和准确性。
国内高考志愿填报系统的发展虽然取得了一定成效,但仍然存在一些不足之处。部分系统在数据收集和处理方面存在局限性,未能充分挖掘数据背后的价值,导致推荐结果不够理想。一些平台仅依赖公开数据进行分析,缺乏对高校内部资源和专业特色的深入调研,使得推荐的专业和院校信息不够精准。部分系统在用户隐私保护方面也存在薄弱环节,需要进一步完善。国内高考志愿填报系统的发展前景广阔,随着技术的不断进步和市场需求的增加,未来有望实现更高效、更精准的服务[5]。国内相关研究主要集中在系统功能优化、数据挖掘以及用户行为分析等方面,以期进一步提升系统的智能化水平和用户体验。
国外在高考志愿填报辅助系统的研究与应用方面起步较早,尤其在欧美等教育发达国家,相关技术和平台已经较为成熟。以美国为例,其高考志愿填报系统不仅涵盖了丰富的高校信息和专业数据,还结合了职业规划和兴趣测试,为学生提供全面的决策支持[6]。某美国教育咨询公司开发的系统通过在线职业兴趣测评,帮助学生明确自身兴趣和职业倾向,进而推荐与之匹配的高校专业。该系统还提供模拟申请功能,学生可以提前体验申请流程,了解不同高校的录取要求和申请截止日期。该系统还设有学生社区,学生可以在社区中分享申请经验、交流心得,形成良好的互动氛围。
在欧洲,一些国家的高考志愿填报平台则更注重数据的共享与整合。英国某教育服务平台整合了英国各大高校的招生信息、课程设置以及毕业生就业情况,为学生提供一站式服务。该平台还设有学生社区,学生可以在社区中分享申请经验、交流心得,形成良好的互动氛围。国外一些高校自身也开发了志愿填报辅助工具,帮助学生更好地选择专业和规划未来[7]。某美国顶尖大学开发的校内系统,结合学校的专业优势和课程资源,为学生提供个性化的职业发展路径规划。学生可以根据自身兴趣和职业目标,选择适合的课程和研究方向。这些系统的成功应用,为学生提供了更加科学、系统的志愿填报指导,同时也为高校招生工作提供了有力支持。国外高考志愿填报系统也面临一些挑战,数据安全和隐私保护问题日益突出,部分系统在用户体验方面仍有待改进。
本研究主要聚焦于开发一套基于Python的高考志愿智能填报系统,旨在通过整合高考招生政策、高校专业信息、历年录取数据以及考生个人特征,构建一个高效、精准且用户友好的志愿填报辅助平台。系统的核心研究内容包括:一是实现专业与高校信息的全面整合与动态更新,确保考生能够获取最新、最准确的招生资讯;二是基于大数据分析与机器学习算法,开发个性化志愿推荐模型,根据考生的考试成绩、兴趣偏好和职业规划,生成科学合理的志愿填报方案;三是设计并实现系统的前后端架构,优化用户交互界面,提升用户体验;四是建立用户反馈机制,通过收集用户意见持续优化系统功能与推荐算法。最终,该系统将为考生提供从信息查询到志愿填报的全流程服务,助力考生做出更明智的升学选择。
Python是一种高级编程语言,广泛应用于多种领域,包括但不限于软件开发、数据分析、人工智能和网络编程。作为一种解释型语言,Python通过动态类型系统和自动内存管理,支持多种编程范式,如面向对象、命令式、函数式和过程式编程。Python的语法简洁明了,易于学习和使用,这使得它在开发者社区中广受欢迎。Python能够执行各种操作,例如进行数学计算、处理字符串、操作文件和目录、实现网络通信以及构建复杂的软件架构。Python的灵活性和强大的库支持使其能够适应从简单的脚本任务到复杂的系统开发的多样化需求。
Python的生态系统丰富多样,拥有大量的标准库和第三方库,这些库为开发者提供了广泛的功能支持。例如,NumPy和Pandas库用于数据分析和处理,Scikit-learn和TensorFlow库用于机器学习和深度学习任务,Flask和Django框架用于构建网络应用。Python还能够与多种数据库进行交互,如MySQL、PostgreSQL等,实现数据的存储和检索。此外,Python支持多线程和异步编程,能够处理并发任务,提高程序的执行效率。Python的跨平台特性允许开发者在不同的操作系统上运行相同的代码,无需进行额外的修改。通过这些特性,Python能够满足从个人项目到企业级应用的多种开发需求,展现出强大的适应性和实用性。
MVC架构是一种软件设计模式,通过分离不同的功能模块来提高代码的可维护性和可扩展性。它主要由三个核心部分组成:模型(Model)、视图(View)和控制器(Controller)。模型部分负责处理应用程序的数据逻辑,包括数据的存储、检索和操作[7]。模型通常直接与数据库或其他数据源交互,并为应用程序提供一个统一的数据接口。视图部分是用户界面层,负责将模型中的数据以特定的格式呈现给用户。视图不直接处理数据逻辑,而是通过调用模型的数据接口获取所需的数据,并以图形化或文本化的形式显示。控制器部分起到连接模型和视图的桥梁作用,它接收用户输入,调用相应的模型方法来处理数据逻辑,并将更新后的数据传递给视图以供展示。
MVC架构的工作流程从用户输入开始,由控制器接收并解析输入请求。控制器调用相应的模型方法进行数据处理,处理完成后将结果返回给控制器,控制器再将这些数据传递给视图进行渲染和输出。通过这种职责分离,MVC架构有效避免了代码的高耦合性,同时使得各部分的修改可以独立进行。例如,开发人员可以在不改变数据逻辑的情况下重新设计用户界面,或者在不改变界面的情况下调整数据处理逻辑[8]。MVC架构广泛应用于各种软件开发中,复杂的Web应用程序。
Django是一个开源的、高级的Python Web框架,能够快速开发安全且可维护的网站。该框架基于Python语言,采用MVC(Model-View-Controller)设计模式,将应用程序的逻辑、数据和用户界面分离,便于开发和维护。Django内置了ORM(Object-Relational Mapping)系统,允许开发者通过Python代码操作数据库,无需编写SQL语句,从而实现数据模型的定义、查询和管理。它支持多种数据库后端,包括MySQL、PostgreSQL、SQLite等,能够根据配置自动完成数据库迁移和表结构生成[9]。Django还提供了强大的模板引擎,支持HTML模板的编写,允许开发者在模板中嵌入Python代码片段,实现动态页面的渲染。此外,Django内置了用户认证系统,支持用户注册、登录、权限管理等功能,为Web应用提供了安全的用户管理机制。Django的安全性极高,内置了防护机制,能够有效防止常见的Web攻击,如SQL注入、跨站脚本攻击等,确保应用程序的安全运行。
Django框架还提供了丰富的中间件支持,允许开发者在请求处理过程中插入自定义逻辑,实现诸如日志记录、请求校验、响应处理等功能。它支持URL路由系统,通过正则表达式匹配URL路径,将请求分发到对应的视图函数,实现灵活的路由管理[10]。Django内置了表单处理模块,能够自动处理HTML表单的渲染和验证,支持多种字段类型和验证器,简化了表单开发流程。此外,Django支持国际化和本地化功能,能够根据用户语言偏好显示不同语言的界面,支持多语言应用开发。Django还提供了强大的静态文件管理和缓存机制,能够优化Web应用的性能,支持大规模应用的部署。通过这些特性,Django能够满足从简单博客到复杂企业级应用的多样化开发需求。
Vue是一种轻量级的前端框架,用于构建用户界面和单页面应用程序。Vue的核心功能是基于声明式编程的视图层框架,开发者通过定义HTML模板中的指令,将数据绑定到视图上,从而动态更新界面内容[11]。Vue的主要功能由其核心库提供,而其他功能,例如路由管理和状态管理,则通过官方提供的插件来实现。Vue的双向数据绑定机制是其一大特点,这种机制通过监听器自动同步模型和视图之间的数据变化,从而减少了开发人员手动操作DOM的工作量。
Vue还支持组件化开发,开发人员可以将页面分割成可复用的小模块,每个组件独立负责自己的逻辑和视图。组件之间通过明确的接口通信,这种设计方式便于模块化和团队协作。Vue使用虚拟DOM技术优化了界面渲染的性能,通过最小化对实际DOM的操作提高了应用程序的响应速度[12]。Vue提供了一套工具链,包括Vue CLI、Vue Router和Vuex等,用于简化项目的构建、路由管理和全局状态管理。这种框架适用于构建动态交互的前端界面,在需要快速开发和高效渲染的场景中。
MySQL是一种关系型数据库管理系统,广泛用于存储和管理结构化数据。MySQL基于SQL语言提供数据存储、检索和管理功能,支持多种类型的数据表,包括事务型表和非事务型表[13]。它的体系结构采用了客户-服务器模式,用户通过客户端与MySQL服务器进行通信。MySQL支持多种数据存储引擎,其中最常用的是InnoDB和MyISAM。InnoDB引擎提供事务支持、外键约束和并发控制功能,适用于对数据一致性要求较高的应用场景,而MyISAM则以其高效的读写性能适用于以读为主的场景。
MySQL支持多用户并发访问,通过用户权限管理和加密通信保证数据的安全性。它能够处理大规模数据集,并支持横向扩展,通过分片和复制功能满足高并发和高可用性的需求[14]。MySQL提供了一系列高级功能,例如索引优化、存储过程、触发器和事件调度器,增强了其在复杂应用场景中的适用性。MySQL与多种编程语言和开发框架兼容,可以通过JDBC、ODBC和本地API与Java、Python等语言集成,用于Web开发、数据分析和嵌入式系统等领域。
从技术层面来看,Python语言具备强大的功能和丰富的库支持,能够满足高考志愿智能填报系统开发的各项需求。Python的简洁语法和高效开发特性使得系统开发周期缩短,降低了开发难度。在数据处理方面,Python的NumPy和Pandas库能够高效处理大规模数据,为系统提供数据清洗、分析和可视化功能。在机器学习领域,Scikit-learn等库可用于构建个性化推荐模型,根据考生数据生成精准的志愿填报方案。此外,Python的Flask或Django框架能够构建稳定、高效的后端服务,支持前端与后端的交互。结合MySQL等数据库技术,系统能够实现数据的存储、查询和更新。因此,从技术角度看,基于Python开发高考志愿智能填报系统具备高度的可行性。
在操作层面,高考志愿智能填报系统的设计注重用户体验和操作便捷性。系统提供清晰的界面和简洁的操作流程,考生能够快速查询高校和专业信息,获取个性化推荐方案。系统支持多种设备访问,包括电脑和移动终端,满足不同用户的需求。同时,系统具备用户反馈功能,便于开发者根据用户意见进行优化和改进。从操作流程到用户交互,系统的设计均以用户为中心,确保用户能够高效、准确地完成志愿填报操作,从而保障系统的操作可行性。
从市场角度来看,高考志愿填报服务存在广阔的市场需求。随着高考竞争的加剧,考生和家长对志愿填报的重视程度不断提高,对科学、精准的志愿填报指导需求日益增长。目前,市场上已有多款高考志愿填报辅助工具,但多数产品存在信息不全面、推荐不精准等问题。基于Python开发的高考志愿智能填报系统,能够整合更全面的高校和专业信息,提供更精准的个性化推荐,满足市场对高质量志愿填报服务的需求。此外,系统的可扩展性使其能够根据市场需求不断优化和升级,进一步提升市场竞争力。因此,从市场需求和产品优势来看,系统的市场可行性较高。
从经济角度来看,高考志愿智能填报系统的开发和运营成本相对较低。Python语言开源免费,降低了开发工具的采购成本。系统开发过程中,可利用现有的开源库和框架,减少开发工作量,缩短开发周期,进一步降低开发成本。在运营方面,系统基于云服务器部署,能够根据用户流量动态调整资源配置,降低硬件投入和运维成本。同时,系统的市场潜力较大,通过提供付费服务或增值服务,能够实现良好的经济效益。因此,从成本与收益的角度分析,系统的开发和运营具有较高的经济可行性。
项目设计符合现行法律法规和行业标准,能够在合规范围内实施和运营。系统涉及的数据存储和传输符合隐私保护法和数据安全标准,确保用户数据的安全性和合法性。知识产权问题已得到解决,项目中涉及的技术和工具均为合法授权或自主开发,避免侵权风险。
系统通过用户认证机制和权限管理功能限制非法访问,确保用户身份验证的准确性。数据传输过程采用加密协议,防止数据被拦截或篡改。系统内置防火墙规则和入侵检测机制,可识别和阻止恶意攻击。数据存储过程中采用多层加密技术保护敏感信息,避免数据泄露风险。异常检测机制可实时监控运行状态并触发警报,防止安全威胁扩大。备份恢复机制确保数据在系统崩溃或攻击时能够快速还原。安全性测试覆盖主要攻击方式和漏洞,验证系统能够应对潜在威胁。多因素认证增加了系统访问的复杂性,降低了非授权访问的可能性。
数据输入时采用格式验证和逻辑校验规则,确保录入数据的准确性和合法性。数据库事务管理机制确保操作的原子性、一致性、隔离性和持久性。系统通过外键约束和触发器防止数据不一致或丢失。日志功能记录所有数据变更操作,便于追溯和修复错误。冗余存储技术保护关键数据免受硬件故障影响。系统对数据库操作进行权限限制,防止非授权用户篡改数据。测试过程中对数据完整性进行全面验证,确保系统能够正确处理高并发和异常情况。
用例图是统一建模语言(UML)中的一种,用于描述系统与外部参与者之间的功能交互关系。它以图形化的方式展示系统功能的外部视图,重点体现系统提供的功能、用户角色以及功能间的关联。用例图的主要元素包括参与者、用例和关系。本文将对系统按照角色模块进行需求分析。
用户功能包括专业信息详情浏览、高校信息详情浏览、用户评论、填报志愿和反馈信息。系统允许用户查看专业详细介绍,包括课程设置、就业方向等。用户能够浏览高校信息,如招生计划、校园设施等。用户可发表评论,分享对专业或高校的看法。系统支持用户进行志愿填报操作,保存志愿方案。用户还可提交反馈信息,表达对系统使用的意见或建议。用户用例图如图3-1所示。

图3-1 用户用例图
管理员功能包括用户管理、高校信息管理、专业信息管理、填报志愿管理和反馈信息管理。系统为管理员提供用户信息管理功能,支持添加、删除或修改用户权限。管理员能够维护高校信息,更新招生计划和校园设施等数据。管理员可管理专业信息,包括课程设置和就业方向等内容。系统支持管理员查看和管理用户填报的志愿信息,确保数据准确。管理员还可处理用户反馈信息,回复用户意见或建议。管理员用例图如图3-2所示。

图3-2 管理员用例图
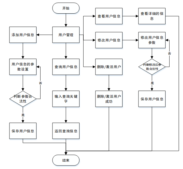
流程从“开始”节点出发,包含“添加用户信息”“查询用户信息”“修改用户信息”“删除/激活用户”等主要功能模块,每个模块都有参数合法性判断和数据保存步骤,最终返回查询结果或操作状态,流程以“结束”节点收尾。用户管理流程图,如图3-3所示:

图3-3用户管理流程
用户从“主页”进入“个人中心查看”后,判断是否需要修改密码。如果选择修改,则进入“修改密码页面”,验证原密码和新密码的合法性,若符合要求则保存修改,流程结束;否则返回修改密码页面重新输入。个人中心流程图,如图3-4所示:

图3-4个人中心管理流程
流程从“开始”节点开始,系统自动生成编号,用户输入数据后进行合法性判断,若合法则将数据写入数据库并结束流程;若不合法,则返回重新输入数据,直到满足合法性要求为止。添加信息流程图,如图3-5所示:

图3-5添加信息流程图
流程从“开始”节点开始,用户选择需要删除的记录,判断是否确认删除,若确认删除则更新数据库并结束流程;若未确认删除,则返回选择记录的步骤,直到操作完成。删除信息流程图,如图3-6所示:

图3-6删除信息流程图
系统架构由展现层、业务逻辑层、数据访问持久层、数据库层以及工具层和实体层组成。
1. 展现层:包括Controller(控制器)、View(视图)和Model(模型)。它负责与用户交互,通过Controller接收用户请求,调用业务逻辑层处理数据,View负责将结果展示给用户,Model则负责数据的封装和交互[15]。
2. 业务逻辑层:由Service和API组成。Service层负责处理核心业务逻辑,API提供统一的接口供展现层调用,实现前后端分离。
3. 数据访问持久层:由DAO(Data Access Object)组成,负责与数据库进行交互。它将业务逻辑层的请求转化为对数据库的操作,同时将数据库返回的结果封装为数据对象供业务逻辑层使用。
4. 数据库层:包含MySQL数据库,用于存储系统的核心数据。所有数据最终通过DAO访问持久化到数据库中。
5. 工具层和实体层:工具层提供系统开发、运行所需的各种工具和框架支持,如日志、缓存等功能。实体层定义了业务数据的实体类或数据模型,供各层使用,保证数据的统一性。
整个系统架构如图4-1所示。

图4-1 系统架构图
本系统主要功能涵盖用户和管理员两大模块。用户功能包括专业信息详情浏览,用户可查询专业课程设置、培养目标、就业方向等详细信息;高校信息详情浏览,提供高校招生计划、校园设施、学科优势等数据;用户评论功能,允许用户对专业或高校发表评价与建议;填报志愿功能,支持用户根据自身成绩和偏好选择院校及专业,并生成志愿填报方案;反馈信息功能,用户可提交使用过程中的意见或问题。管理员功能则包括用户管理,实现用户信息的添加、删除与权限调整;高校信息管理,负责更新高校招生政策、专业设置等数据;专业信息管理,维护专业课程、就业前景等信息;填报志愿管理,审核用户志愿方案,确保填报信息准确无误;反馈信息管理,处理用户反馈,及时回复并优化系统功能。系统通过整合海量数据与个性化推荐算法,为用户提供科学的志愿填报指导,同时为管理员提供高效的信息管理工具,满足高考志愿填报的多样化需求。系统功能结构图如图4-2所示。

图4-2 系统功能结构图
在进行数据库设计时,概念设计帮助明确系统的整体结构和需求。在这一阶段,需要确定实体、属性以及它们之间的关系,为后续的数据库表设计奠定基础。接下来,将深入探讨数据库表设计的具体细节,实现更高效的数据存储和管理。
数据库设计需要遵循规范化原则,避免数据冗余和重复。确保数据完整性,通过主键、外键及约束条件保证数据的一致性。设计时应具有可扩展性,为未来的数据增长和需求变化预留空间。安全性是数据库设计的关键,需通过权限管理和数据加密保护数据安全[16]。系统性能需通过索引优化、分区设计和查询优化得到保障。遵循最小存储原则,在满足需求的同时减少数据存储占用。设计过程需结合实际业务需求,确保数据库结构能够支持业务逻辑和流程。
数据库实体是数据库中用于存储信息的基本对象,通常对应实际业务中的具体事物。每个实体由多个属性组成,属性描述实体的特征或属性值。实体之间可能存在不同的关系,包括一对一、一对多和多对多。关系通过外键实现,用于表示不同实体间的关联[17]。实体需要根据业务需求进行抽象和建模,确保实体能够准确反映系统中的核心数据结构。实体设计过程中需明确属性的类型、约束条件及主键,确保数据的唯一性和完整性。以下将展示系统的全局E-R图以及各个实体的属性图。
系统全局E-R图如图4-3所示。

图4-3 系统E-R图
用户实体图如图4-4所示。

图4-4 用户实体图
管理员实体图如图4-5所示。

图4-5 管理员实体图
文章实体图如图4-6所示。

图4-6 文章实体图
评论实体图如图4-7所示。

图4-7 评论实体图
反馈信息实体图如图4-7所示。

图4-7反馈信息实体图
填报志愿实体图如图4-8所示。

图4-8 填报志愿实体图
数据库表是实体在数据库中的具体实现形式,用于存储系统的数据。每张表包含若干列,每列对应实体的一个属性。主键用于标识表中每行数据的唯一性,外键用于关联其他表的数据。表设计需考虑数据存储的规范化,减少重复数据以节约存储空间。根据业务需求设计索引,优化查询性能。表的字段类型需符合数据存储的实际需求,避免数据类型不匹配带来的性能问题。表的命名需具有一定的规范性,清晰反映表的功能和作用。以下是系统的数据库表设计展示。
表1:student_users
| 编号 | 名称 | 数据类型 | 长度 | 小数位 | 允许空值 | 主键 | 默认值 | 说明 |
| 1 | student_users_id | int | 10 | 0 | N | Y | 学生用户ID | |
| 2 | student_name | varchar | 64 | 0 | Y | N | 学生姓名 | |
| 3 | student_age | varchar | 64 | 0 | Y | N | 学生年龄 | |
| 4 | student_gender | varchar | 64 | 0 | Y | N | 学生性别 | |
| 5 | contact_information | varchar | 16 | 0 | Y | N | 联系方式 | |
| 6 | college_grades | double | 9 | 2 | Y | N | 0.00 | 高校成绩 |
| 7 | examine_state | varchar | 16 | 0 | N | N | 已通过 | 审核状态 |
| 8 | user_id | int | 10 | 0 | N | N | 0 | 用户ID |
| 9 | create_time | datetime | 19 | 0 | N | N | CURRENT_TIMESTAMP | 创建时间 |
| 10 | update_time | timestamp | 19 | 0 | N | N | CURRENT_TIMESTAMP | 更新时间 |
表2:user
| 编号 | 名称 | 数据类型 | 长度 | 小数位 | 允许空值 | 主键 | 默认值 | 说明 |
| 1 | user_id | int | 10 | 0 | N | Y | 用户ID:[0,8388607]用户获取其他与用户相关的数据 | |
| 2 | state | smallint | 5 | 0 | N | N | 1 | 账户状态:[0,10](1可用|2异常|3已冻结|4已注销) |
| 3 | user_group | varchar | 32 | 0 | Y | N | 所在用户组:[0,32767]决定用户身份和权限 | |
| 4 | login_time | timestamp | 19 | 0 | N | N | CURRENT_TIMESTAMP | 上次登录时间: |
| 5 | phone | varchar | 11 | 0 | Y | N | 手机号码:[0,11]用户的手机号码,用于找回密码时或登录时 | |
| 6 | phone_state | smallint | 5 | 0 | N | N | 0 | 手机认证:[0,1](0未认证|1审核中|2已认证) |
| 7 | username | varchar | 16 | 0 | N | N | 用户名:[0,16]用户登录时所用的账户名称 | |
| 8 | nickname | varchar | 16 | 0 | Y | N | 昵称:[0,16] | |
| 9 | password | varchar | 64 | 0 | N | N | 密码:[0,32]用户登录所需的密码,由6-16位数字或英文组成 | |
| 10 | | varchar | 64 | 0 | Y | N | 邮箱:[0,64]用户的邮箱,用于找回密码时或登录时 | |
| 11 | email_state | smallint | 5 | 0 | N | N | 0 | 邮箱认证:[0,1](0未认证|1审核中|2已认证) |
| 12 | avatar | varchar | 255 | 0 | Y | N | 头像地址:[0,255] | |
| 13 | open_id | varchar | 255 | 0 | Y | N | 针对获取用户信息字段 | |
| 14 | create_time | timestamp | 19 | 0 | N | N | CURRENT_TIMESTAMP | 创建时间: |
表3:article
| 编号 | 名称 | 数据类型 | 长度 | 小数位 | 允许空值 | 主键 | 默认值 | 说明 |
| 1 | article_id | mediumint | 8 | 0 | N | Y | 文章id:[0,8388607] | |
| 2 | title | varchar | 125 | 0 | N | Y | 标题:[0,125]用于文章和html的title标签中 | |
| 3 | type | varchar | 64 | 0 | N | N | 0 | 文章分类:[0,1000]用来搜索指定类型的文章 |
| 4 | hits | int | 10 | 0 | N | N | 0 | 点击数:[0,1000000000]访问这篇文章的人次 |
| 5 | praise_len | int | 10 | 0 | N | N | 0 | 点赞数 |
| 6 | create_time | timestamp | 19 | 0 | N | N | CURRENT_TIMESTAMP | 创建时间: |
| 7 | update_time | timestamp | 19 | 0 | N | N | CURRENT_TIMESTAMP | 更新时间: |
| 8 | source | varchar | 255 | 0 | Y | N | 来源:[0,255]文章的出处 | |
| 9 | url | varchar | 255 | 0 | Y | N | 来源地址:[0,255]用于跳转到发布该文章的网站 | |
| 10 | tag | varchar | 255 | 0 | Y | N | 标签:[0,255]用于标注文章所属相关内容,多个标签用空格隔开 | |
| 11 | content | longtext | 2147483647 | 0 | Y | N | 正文:文章的主体内容 | |
| 12 | img | varchar | 255 | 0 | Y | N | 封面图 | |
| 13 | description | text | 65535 | 0 | Y | N | 文章描述 |
表4:comment
| 编号 | 名称 | 数据类型 | 长度 | 小数位 | 允许空值 | 主键 | 默认值 | 说明 |
| 1 | comment_id | int | 10 | 0 | N | Y | 评论ID: | |
| 2 | user_id | int | 10 | 0 | N | N | 0 | 评论人ID: |
| 3 | reply_to_id | int | 10 | 0 | N | N | 0 | 回复评论ID:空为0 |
| 4 | content | longtext | 2147483647 | 0 | Y | N | 内容: | |
| 5 | nickname | varchar | 255 | 0 | Y | N | 昵称: | |
| 6 | avatar | varchar | 255 | 0 | Y | N | 头像地址:[0,255] | |
| 7 | create_time | timestamp | 19 | 0 | N | N | CURRENT_TIMESTAMP | 创建时间: |
| 8 | update_time | timestamp | 19 | 0 | N | N | CURRENT_TIMESTAMP | 更新时间: |
| 9 | source_table | varchar | 255 | 0 | Y | N | 来源表: | |
| 10 | source_field | varchar | 255 | 0 | Y | N | 来源字段: | |
| 11 | source_id | int | 10 | 0 | N | N | 0 | 来源ID: |
表5:feedback_information
| 编号 | 名称 | 数据类型 | 长度 | 小数位 | 允许空值 | 主键 | 默认值 | 说明 |
| 1 | feedback_information_id | int | 10 | 0 | N | Y | 反馈信息ID | |
| 2 | student_users | int | 10 | 0 | Y | N | 0 | 学生用户 |
| 3 | student_name | varchar | 64 | 0 | Y | N | 学生姓名 | |
| 4 | feedback_title | varchar | 64 | 0 | Y | N | 反馈标题 | |
| 5 | feedback_type | varchar | 64 | 0 | Y | N | 反馈类型 | |
| 6 | feedback_time | datetime | 19 | 0 | Y | N | 反馈时间 | |
| 7 | feedback_content | text | 65535 | 0 | Y | N | 反馈内容 | |
| 8 | examine_state | varchar | 16 | 0 | N | N | 未审核 | 审核状态 |
| 9 | examine_reply | varchar | 16 | 0 | Y | N | 审核回复 | |
| 10 | create_time | datetime | 19 | 0 | N | N | CURRENT_TIMESTAMP | 创建时间 |
| 11 | update_time | timestamp | 19 | 0 | N | N | CURRENT_TIMESTAMP | 更新时间 |
表6:fill_in_your_preferences
| 编号 | 名称 | 数据类型 | 长度 | 小数位 | 允许空值 | 主键 | 默认值 | 说明 |
| 1 | fill_in_your_preferences_id | int | 10 | 0 | N | Y | 填报志愿ID | |
| 2 | student_users | int | 10 | 0 | Y | N | 0 | 学生用户 |
| 3 | student_name | varchar | 64 | 0 | Y | N | 学生姓名 | |
| 4 | student_age | varchar | 64 | 0 | Y | N | 学生年龄 | |
| 5 | student_gender | varchar | 64 | 0 | Y | N | 学生性别 | |
| 6 | contact_information | varchar | 64 | 0 | Y | N | 联系方式 | |
| 7 | college_grades | varchar | 64 | 0 | Y | N | 高校成绩 | |
| 8 | university_name | varchar | 64 | 0 | Y | N | 高校名称 | |
| 9 | professional_name | varchar | 64 | 0 | Y | N | 专业名称 | |
| 10 | fill_in_time | datetime | 19 | 0 | Y | N | 填报时间 | |
| 11 | remarks_information | text | 65535 | 0 | Y | N | 备注信息 | |
| 12 | examine_state | varchar | 16 | 0 | N | N | 未审核 | 审核状态 |
| 13 | examine_reply | varchar | 16 | 0 | Y | N | 审核回复 | |
| 14 | create_time | datetime | 19 | 0 | N | N | CURRENT_TIMESTAMP | 创建时间 |
| 15 | update_time | timestamp | 19 | 0 | N | N | CURRENT_TIMESTAMP | 更新时间 |
| 16 | source_table | varchar | 255 | 0 | Y | N | 来源表 | |
| 17 | source_id | int | 10 | 0 | Y | N | 来源ID | |
| 18 | source_user_id | int | 10 | 0 | Y | N | 来源用户 |
用户进入专业信息页面,通过搜索框输入专业名称或选择专业分类进行筛选。点击具体专业后,页面展示专业详细介绍,包括课程设置、培养目标、就业方向等信息。用户可以逐页浏览或使用关键词快速定位感兴趣的专业。专业信息详情界面如图5-1所示。

图5-1 专业信息详情界面
用户在高校信息页面输入高校名称或选择地区、类型进行筛选。点击高校名称后,页面显示高校的招生计划、校园设施、学科优势等详细内容。用户可以查看高校历年录取分数线,并通过链接访问高校官网。高校信息详情界面如图5-2所示。

图5-2 高校信息详情界面
用户在专业或高校信息页面点击“评论”按钮,进入评论区。用户输入评论内容并选择是否匿名发表。发表后,评论即时显示在页面下方,其他用户可查看并回复。用户评论界面如图5-3所示。

图5-3 用户评论界面
用户进入填报志愿页面,根据系统提示输入个人信息,选择意向高校和专业。系统根据用户输入生成志愿填报方案,用户可修改方案并保存。保存后,用户可查看志愿填报历史记录。填报志愿界面如图5-4所示。

图5-4 填报志愿界面
用户在系统首页点击“反馈”按钮,进入反馈页面。用户输入反馈标题、内容和联系方式后提交。管理员审核后,用户可在反馈页面查看回复状态。反馈信息界面如图5-5所示。

图5-5 反馈信息界面
管理员登录后台管理系统,进入用户管理页面,查看用户列表。管理员可对用户进行搜索、筛选,查看用户基本信息和权限状态。管理员可编辑用户信息、调整权限或删除用户。用户管理界面如图5-6所示。

图5-6 用户管理界面
管理员进入高校信息管理页面,点击“添加”按钮录入新高校信息。管理员可编辑高校招生计划、校园设施等信息,或删除过期信息。管理员可通过批量导入功能更新高校数据。高校信息管理界面如图5-7所示。

图5-7 高校信息管理界面
管理员进入专业信息管理页面,选择专业分类后添加或编辑专业详情。管理员可更新专业课程设置、就业方向等内容,确保信息准确性。管理员还可批量删除不再招生的专业信息。专业信息管理界面如图5-8所示。

图5-8 专业信息管理界面
管理员在填报志愿管理页面查看用户提交的志愿方案,审核志愿填报信息的完整性和准确性。管理员可对志愿方案进行标记、导出或删除操作,便于后续统计分析。填报志愿管理界面如图5-9所示。

图5-9 填报志愿管理界面
管理员进入反馈信息管理页面,查看用户提交的反馈内容。管理员可对反馈进行回复、标记处理状态或导出记录。管理员可通过筛选功能快速定位未处理反馈。反馈信息管理界面如图5-10所示。

图5-10 反馈信息管理界面
测试的目的是验证系统功能、性能和可靠性是否符合设计需求,确保其在实际运行环境中能够正常工作。通过测试发现并修复潜在的缺陷和问题,降低系统故障风险。测试过程旨在验证系统是否实现了预期的功能需求,同时确保所有模块的集成能够正常运行,满足用户和业务的预期目标。测试还需评估系统的性能,包括响应时间、吞吐量和资源使用情况,以确保其能够在高负载环境下运行稳定。测试目的是验证系统安全性和健壮性,确保数据不会因意外操作或恶意攻击而丢失或泄露。最终通过测试确保系统在功能、性能和用户体验方面达到质量标准。
测试用例是测试过程中用于验证系统功能和性能的具体操作步骤和预期结果。测试用例的设计依据需求文档和系统设计说明书,确保覆盖所有功能模块、业务流程和边界情况。每个测试用例包含唯一的标识、测试目标、前置条件、输入数据、测试步骤和预期输出结果,确保测试过程的可操作性和结果的可验证性[18]。
测试用例分为功能性测试用例和非功能性测试用例。功能性测试用例验证系统功能是否按照需求正确实现,包括输入处理、业务逻辑和输出展示等。非功能性测试用例主要关注系统性能、安全性和兼容性,验证其在高并发、异常操作或不同运行环境下的稳定性和可靠性。设计测试用例时注重覆盖率,确保正常流程、边界条件和异常情况均被充分考虑,从而最大限度发现潜在缺陷并提升系统质量。测试用例的执行结果记录为测试报告,为缺陷修复和系统优化提供依据。
该表是用来测试用户是否能够正常浏览专业信息详情的功能。专业信息详情浏览测试用例表如表6-1所示。
表6-1 专业信息详情浏览测试用例表
| 测试项 | 测试用例 | 预期结果 | 结论 |
| 专业信息详情浏览功能测试 | 1. 打开系统首页,点击“专业信息”模块。 2. 在搜索框输入专业名称并搜索。 3. 点击某个专业名称,查看详细信息。 | 系统能够正常显示专业详情页面,包括课程设置、培养目标、就业方向等内容。 | 与预期结果一致 |
| 专业信息详情浏览功能测试 | 1. 打开系统首页,点击“专业信息”模块。 2. 选择专业分类进行筛选。 3. 浏览筛选结果中的专业详情。 | 系统能够根据分类筛选出相关专业,并正确显示专业详情。 | 与预期结果一致 |
| 专业信息详情浏览功能测试 | 1. 打开系统首页,点击“专业信息”模块。 2. 不输入任何信息,直接点击“搜索”按钮。 | 系统提示用户输入专业名称或选择分类。 | 与预期结果一致 |
该表是用来测试用户是否能够正常浏览高校信息详情的功能。高校信息详情浏览测试用例表如表6-2所示。
表6-2 高校信息详情浏览测试用例表
| 测试项 | 测试用例 | 预期结果 | 结论 |
| 高校信息详情浏览功能测试 | 1. 打开系统首页,点击“高校信息”模块。 2. 输入高校名称并搜索。 3. 点击某个高校名称,查看详细信息。 | 系统能够正常显示高校详情页面,包括招生计划、校园设施、学科优势等内容。 | 与预期结果一致 |
| 高校信息详情浏览功能测试 | 1. 打开系统首页,点击“高校信息”模块。 2. 选择地区或高校类型进行筛选。 3. 浏览筛选结果中的高校详情。 | 系统能够根据筛选条件正确显示相关高校的详细信息。 | 与预期结果一致 |
| 高校信息详情浏览功能测试 | 1. 打开系统首页,点击“高校信息”模块。 2. 不输入任何信息,直接点击“搜索”按钮。 | 系统提示用户输入高校名称或选择筛选条件。 | 与预期结果一致 |
该表是用来测试用户是否能够正常发表和查看评论的功能。用户评论功能测试用例表如表6-3所示。
表6-3 用户评论功能测试用例表
| 测试项 | 测试用例 | 预期结果 | 结论 |
| 用户评论功能测试 | 1. 打开专业或高校详情页面。 2. 点击“评论”按钮,输入评论内容并提交。 | 系统成功保存评论,并在页面下方显示评论内容。 | 与预期结果一致 |
| 用户评论功能测试 | 1. 打开专业或高校详情页面。 2. 查看已有的评论内容,并点击“回复”按钮进行回复。 | 系统能够正确显示回复内容,并将其关联到对应评论下。 | 与预期结果一致 |
| 用户评论功能测试 | 1. 打开专业或高校详情页面。 2. 不输入评论内容,直接点击“提交”按钮。 | 系统提示用户输入评论内容。 | 与预期结果一致 |
该表是用来测试用户是否能够正常完成志愿填报的功能。填报志愿功能测试用例表如表6-4所示。
表6-4 填报志愿功能测试用例表
| 测试项 | 测试用例 | 预期结果 | 结论 |
| 填报志愿功能测试 | 1. 登录系统,进入“填报志愿”页面。 2. 输入个人信息,选择意向高校和专业。 3. 点击“保存”按钮。 | 系统成功保存志愿填报方案,并提示用户保存成功。 | 与预期结果一致 |
| 填报志愿功能测试 | 1. 登录系统,进入“填报志愿”页面。 2. 修改已保存的志愿方案并重新保存。 | 系统能够正确更新志愿方案,并显示最新内容。 | 与预期结果一致 |
| 填报志愿功能测试 | 1. 登录系统,进入“填报志愿”页面。 2. 不输入任何信息,直接点击“保存”按钮。 | 系统提示用户输入必要的填报信息。 | 与预期结果一致 |
该表是用来测试用户是否能够正常提交反馈信息的功能。反馈信息功能测试用例表如表6-5所示。
表6-5 反馈信息功能测试用例表
| 测试项 | 测试用例 | 预期结果 | 结论 |
| 反馈信息功能测试 | 1. 登录系统,点击“反馈”按钮进入反馈页面。 2. 输入反馈标题、内容和联系方式,点击“提交”按钮。 | 系统成功保存反馈信息,并提示用户提交成功。 | 与预期结果一致 |
| 反馈信息功能测试 | 1. 登录系统,点击“反馈”按钮进入反馈页面。 2. 查看已提交的反馈信息及其处理状态。 | 系统能够正确显示反馈信息和管理员的回复内容。 | 与预期结果一致 |
| 反馈信息功能测试 | 1. 登录系统,点击“反馈”按钮进入反馈页面。 2. 不输入反馈内容,直接点击“提交”按钮。 | 系统提示用户输入反馈内容。 | 与预期结果一致 |
该表是用来测试管理员是否能够正常管理用户信息的功能。用户管理功能测试用例表如表6-6所示。
表6-6 用户管理功能测试用例表
| 测试项 | 测试用例 | 预期结果 | 结论 |
| 用户管理功能测试 | 1. 管理员登录后台管理系统,进入“用户管理”页面。 2. 搜索特定用户并查看其信息。 | 系统能够正确显示用户的基本信息和权限状态。 | 与预期结果一致 |
| 用户管理功能测试 | 1. 管理员登录后台管理系统,进入“用户管理”页面。 2. 编辑用户信息或调整权限后保存。 | 系统成功更新用户信息,并在用户列表中显示最新状态。 | 与预期结果一致 |
| 用户管理功能测试 | 1. 管理员登录后台管理系统,进入“用户管理”页面。 2. 选择某个用户并点击“删除”按钮。 | 系统成功删除用户,并从用户列表中移除。 | 与预期结果一致 |
测试结论表明系统功能测试全部通过,所有功能模块均按照需求文档正常运行,未发现功能性缺陷。测试用例覆盖系统的主要业务流程及边界条件,结果表明系统功能实现符合设计预期,满足用户需求。
本研究开发的基于Python的高考志愿智能填报系统,通过整合高校招生信息、专业详情以及考生个人数据,实现了从信息查询到志愿填报的全流程服务。系统采用Python语言开发,结合Vue前端框架和Django后端框架,构建了高效、稳定且用户友好的应用架构。在功能设计上,系统为用户提供了专业信息浏览、高校信息查询、用户评论、志愿填报和反馈信息等功能,满足考生在志愿填报过程中的多样化需求。系统为管理员提供了用户管理、信息维护和数据审核等功能,确保平台的高效运营和数据的准确性。通过大数据分析和个性化推荐算法,系统能够为考生生成科学合理的志愿填报方案,有效提升了志愿填报的科学性和准确性。系统经过多轮功能测试和用户反馈,验证了其稳定性和实用性,能够为考生提供高效、精准的志愿填报服务。
在研究过程中,系统开发团队深入分析了高考志愿填报的现状和需求,结合当前信息技术的发展趋势,提出了智能化解决方案。系统的设计充分考虑了用户体验和操作便捷性,界面简洁明了,操作流程清晰流畅。通过与高校招生部门和教育专家的紧密合作,系统确保了数据的权威性和时效性。系统将进一步优化推荐算法,提升个性化服务的质量,并拓展更多功能模块,如职业规划指导和模拟面试等,以更好地服务于考生和高校。本研究不仅为高考志愿填报提供了技术支持,也为教育信息化的发展提供了有益的探索和实践。
- 袁晓文.基于Python的财务大数据素养提升探索和实践研究[J].现代商贸工业,2025,(06):173-176.DOI:10.19311/j.cnki.1672-3198.2025.06.056.
- 李爽,沈睿,孙丹.基于学习科学理论的Python课程作业设计[J].教育导刊,2025,(02):59-67.DOI:10.16215/j.cnki.cn44-1371/g4.2025.02.008.
- 刘姣,王丹,薛云霞.基于数据治理闭环模型的智能填报系统建设[J].无线互联科技,2022,19(19):40-42.
- 刘晋,乔金秀,彭雪涛.高校教育事业统计智能填报系统建设实践[J].中国教育信息化,2022,28(07):82-86.
- 马春环.河北省高考志愿填报智能参考系统使用指南[J].考试与招生,2022,(Z1):19-23.
- Durrani K O ,Ali S M ,Makandar S D , et al.Performance Analysis of Linear Congruential Random Generator Algorithms Using Python and Java Languages[J].Journal of Advances in Mathematics and Computer Science,2025,40(2):40-52.
- Chen Z ,Bykhovsky D ,Zheng X , et al.GaSim: A python class to generate simulated time signals for gamma spectroscopy[J].SoftwareX,2025,29102037-102037.
- 苏钰玲. 一种轻量级安全Web开发框架的研究与实现[D]. 华北电力大学,2023.
- 郝蕊,李娜. 基于MVC模式的医疗耗材管理系统设计[J]. 自动化技术与应用,2024,43(6):171-175.
- 王培培. 基于SpringBoot的网上商城管理系统设计与实现[J]. 现代计算机,2024,30(7):117-120.
- 王玉魁,李峰,乔彦超,等. 基于Springboot与Vue框架的仓储管理系统设计与实现[J]. 河南科技,2024,51(18):29-33.
- 乔凤权,李精伟,徐进,等. 基于VUE的泵站运维系统的前端设计与实现[J]. 科技创新与生产力,2024,45(11):129-132.
- 季甜甜,刘冬冬. 基于Vue前端性能的研究与分析[J]. 阜阳师范大学学报(自然科学版),2024,41(1):15-22.
- 黄明辉. MySQL备份策略[J]. 科学与信息化,2024(17):40-42.
- 陈芳. 基于MySQL数据库的数据录入系统设计研究[J]. 科技资讯,2024,22(20):35-37.
- 袁春龙. 基于SpringBoot框架的教学管理系统设计与实现[D]. 山东:山东科技大学,2022.
- 周鑫. 数据库设计和优化中的SQL语言应用研究[J]. 数码设计,2023(11):83-85.
- 柯妍,孙佳留,朱士飞,等. 基于MySQL的煤质信息数据库设计[J]. 资源信息与工程,2024,39(3):117-121.
- 江苏苏宁云计算有限公司. 一种基于日志的测试方法、装置及计算机系统:CN202011448356.3[P]. 2024-08-27.
本文的顺利完成离不开多方面的支持和帮助。在此,我怀着诚挚的感激之情,向所有在论文撰写过程中给予指导和帮助的人士表示由衷的感谢。
感谢我的导师,他在论文的选题、研究方法、实验设计及写作过程中给予了我悉心的指导和宝贵的建议。从最初的思路启发到论文完成的每一个环节,导师始终耐心解答我的疑问,并通过细致的批注和建议不断提升我的研究能力和论文质量。导师严谨的治学态度和渊博的学识让我受益匪浅,并为我树立了良好的榜样。感谢学校的教学与科研平台,为我提供了丰富的学习资源和便利的科研条件。在研究过程中,学校提供的图书馆资源、实验室设备及线上数据库都为我的学习和研究奠定了坚实的基础。感谢实验室的老师和同学们,他们与我分享学术见解、交流实验经验,并在研究中给予了许多实质性的帮助和支持。
我要感谢我的家人,他们在我的学习和研究过程中给予了无条件的支持和鼓励。在我遇到困难时,他们始终是我坚实的后盾,为我提供了良好的生活和学习环境,让我能够全身心地投入到研究工作中。我还要感谢所有直接或间接帮助过我的朋友,他们在论文研究期间提供的帮助和建议让我更有信心完成这项工作。一些同行在学术讨论中给予的启发性意见和建议,使我的研究思路更加清晰。
尽管本文已经完成,但由于个人学术水平有限,论文中难免存在不足之处。在未来的学习和研究中,我将继续努力,不断完善和提高自己,以期取得更大的进步。再次向所有支持和帮助过我的人表示深深的感谢!
点赞+收藏+关注 →私信领取本源代码、数据库
关注博主下篇更精彩
一键三连!!!
一键三连!!!
一键三连!!!
感谢一键三连!!!

729

被折叠的 条评论
为什么被折叠?



