摘 要
随着社会对教育服务需求的不断增加,学生托管中心作为一种新兴的教育服务模式,逐渐受到家长和学校的重视。本文旨在设计并实现一个基于SSM框架的学生托管中心管理系统,提供高效、便捷的管理功能,以满足家长、教师和管理员的需求。
系统主要包括用户管理、托管中心管理、预约信息管理、作业管理、学生考勤管理等模块。通过使用SSM框架,系统实现了前后端分离,增强了系统的可维护性和扩展性。系统采用MySQL数据库存储数据,确保了数据的安全性和一致性。
在系统设计中,注重用户体验,通过简洁直观的界面设计,提升用户操作的便捷性。管理员可以高效地管理托管中心的各项事务,教师可方便地布置和管理作业,家长则能及时了解学生的学习和考勤情况。
经过系统测试,结果表明,该管理系统功能完善、运行稳定,能够有效提升学生托管中心的管理效率和服务质量,为家长和学生提供了良好的使用体验。本文的研究与实践,为学生托管中心的数字化管理提供了有益的参考。
关键词:学生托管中心;管理系统;SSM框架;用户管理
ABSTRACT
With the increasing demand for educational services in society, student daycare centers, as an emerging model of educational services, are gradually receiving attention from parents and schools. This article aims to design and implement a student care center management system based on the SSM framework, providing efficient and convenient management functions to meet the needs of parents, teachers, and administrators.
The system mainly includes modules such as user management, hosting center management, appointment information management, homework management, and student attendance management. By using the SSM framework, the system achieves front-end and back-end separation, enhancing the maintainability and scalability of the system. The system uses MySQL database to store data, ensuring data security and consistency.
In system design, emphasis is placed on user experience, and through concise and intuitive interface design, the convenience of user operation is improved. Administrators can efficiently manage various affairs of the childcare center, teachers can easily assign and manage homework, and parents can timely understand students' learning and attendance situation.
After system testing, the results show that the management system has complete functions and stable operation, which can effectively improve the management efficiency and service quality of the student care center, and provide a good user experience for parents and students. The research and practice in this article provide useful references for the digital management of student daycare centers.
Keywords:Student Care Center; Management system; SSM framework; User Management
目 录
1.1 研究背景和意义
随着教育体制的不断改革和社会对教育服务的重视,学生托管中心在学龄儿童的课后教育和看护中扮演着越来越重要的角色。托管中心不仅为家长提供了便利的儿童照看服务,还为学生提供了良好的学习环境和丰富的课外活动。随着家长对托管服务需求的增加,传统的管理方式已难以满足日益增长的需求,因此,建立一个高效、系统化的管理平台显得十分重要。
在这一背景下,学生托管中心管理系统的研究与开发可以有效提升托管中心的管理效率,优化资源配置。通过信息化手段,家长、教师和管理者能够实时获取相关信息,促进信息的透明化和沟通的顺畅。同时,该系统能够集中管理学生的考勤、作业、预约等信息,减轻教师和管理员的负担,提高工作效率。
此外,随着社会对教育质量的期待日益提高,托管中心的管理水平直接影响到学生的学习效果和家长的满意度。构建一个科学合理的管理系统,不仅有助于提升托管中心的服务质量,还能增强家长对托管服务的信任感和满意度,从而推动整个教育服务体系的健康发展。
综上所述,学生托管中心管理系统的研究和实现,不仅适应了教育服务发展的潮流,也为改善家长与学校、教师之间的沟通提供了切实可行的解决方案,具有重要的现实意义和社会价值。
1.2 国内外研究现状
在国内外,学生托管中心管理系统的研究和实践逐渐引起了广泛关注。国外一些发达国家在学生托管服务方面已形成成熟的体系,例如美国的许多学校和托管机构已建立了功能完善的管理平台,通过这些平台,家长可以实时查看孩子的考勤、作业和活动信息。以“Schoology”为例,该平台不仅提供作业发布和考勤管理功能,还支持教师与家长之间的沟通,使得教育管理变得更为高效和透明。
在欧洲,许多国家也在不断探索更好的托管服务管理方式。以英国的“ParentPay”系统为例,该平台为家长提供了方便的在线支付和账户管理功能,同时也允许家长查看学生的出勤和作业情况,这种信息共享机制有效提升了家校互动。
国内的研究和实践起步相对较晚,但随着教育改革的推进,越来越多的托管中心开始关注管理系统的建设。以北京和上海的一些示范性托管中心为例,它们通过信息化手段实现了对学生考勤、作业和活动的集中管理。部分高校也在积极探索相关系统的开发,例如某高校开发的“学生托管管理系统”,集成了预约管理、作业发布和考勤记录等功能,为家长和教师提供了便利。然而,目前国内在学生托管中心管理系统的研究方面仍存在一些不足,许多机构在信息化建设上投入不够,管理系统的功能和用户体验仍有待提升。部分研究集中在如何优化管理流程和提升用户体验方面,探索符合中国国情的管理模式。
总体来看,国内外在学生托管中心管理系统的研究与实践中虽取得了一定进展,但面临的挑战依然存在。未来,结合国内外的成功经验,推动托管中心管理系统的创新,将有助于提升教育服务的整体质量。
2.1B/S框架
B/S(Browser/Server)架构是一种基于浏览器和服务器的应用架构模式。它以Web浏览器作为客户端,服务器端通过Web技术提供应用服务。客户端通过浏览器与服务器进行交互,用户无需安装专门的客户端应用程序,只需要通过互联网连接即可访问应用程序[1]。在B/S架构中,客户端主要承担用户界面的呈现和基本的输入输出功能,而核心的业务处理、数据存储等操作则由服务器端完成。这种架构的核心优势在于无需在每个客户端机器上安装或更新软件,只要用户的浏览器符合要求,就可以使用系统。
B/S(Browser/Server)架构是一种网络架构模型,其主要特点是客户端通过浏览器与服务器进行通信,所有的业务逻辑和数据处理都在服务器端完成,客户端仅负责展示数据[2]。B/S架构本质上是一种客户端-服务器模式的变体,它通过将传统的C/S(Client/Server)架构中的客户端功能移到浏览器中,简化了客户端的开发和维护工作。在B/S架构中,用户通过浏览器发送请求,浏览器负责展示从服务器获取的数据,服务器则处理请求并返回响应。该架构避免了安装和配置客户端软件的麻烦,也减少了对客户端硬件的依赖,适合于需要大规模部署和跨平台支持的应用系统。
B/S模式三层结构图如图2-1所示。

图2-1 B/S模式三层结构图
2.2 SSM框架介绍
SSM(Spring+SpringMVC+MyBatis)框架集由Spring、MyBatis两个开源框架整合而成(SpringMVC是Spring中的部分内容)。常作为数据源较简单的web项目的框架。
2.2.1 Spring
Spring就像是整个项目中装配bean的大工厂,在配置文件中可以指定使用特定的参数去调用实体类的构造方法来实例化对象[3]。也可以称之为项目中的粘合剂。
Spring的核心思想是IoC(控制反转),即不再需要程序员去显式地`new`一个对象,而是让Spring框架帮你来完成这一切。
2.2.2 SpringMVC
SpringMVC在项目中拦截用户请求,它的核心Servlet即DispatcherServlet承担中介或是前台这样的职责,将用户请求通过HandlerMapping去匹配Controller,Controller就是具体对应请求所执行的操作。SpringMVC相当于SSH框架中struts。
2.2.3 mybatis
mybatis是对jdbc的封装,它让数据库底层操作变的透明[4]。mybatis的操作都是围绕一个sqlSessionFactory实例展开的。mybatis通过配置文件关联到各实体类的Mapper文件,Mapper文件中配置了每个类对数据库所需进行的sql语句映射。在每次与数据库交互时,通过sqlSessionFactory拿到一个sqlSession,再执行sql命令。
页面发送请求给控制器,控制器调用业务层处理逻辑,逻辑层向持久层发送请求,持久层与数据库交互,后将结果返回给业务层,业务层将处理逻辑发送给控制器,控制器再调用视图展现数据。
2.3 Vue技术
Vue.js是一款用于构建用户界面的渐进式JavaScript框架,提供一种灵活而高效的方式来开发单页面应用(SPA)。Vue的设计理念是通过尽量简化开发过程,提供一种声明式的方式来构建用户界面[5]。Vue.js通过数据驱动的视图模型,允许开发者以声明式语法绑定数据与视图,使得应用的状态和界面表现更加简洁和可维护。它的核心思想是通过组件化开发将复杂的UI拆分为可重用的独立模块,从而提升了代码的模块化、可维护性和可扩展性。
Vue.js具备响应式数据绑定和虚拟DOM的特性。响应式数据绑定意味着当数据变化时,Vue会自动更新与之绑定的DOM元素,从而实现视图的实时更新。虚拟DOM则是Vue.js的一种优化手段,通过将对DOM的操作抽象为一个虚拟的DOM树来提高性能,减少实际DOM操作的开销[6]。Vue还提供了丰富的插件和工具,如Vue Router用于路由管理,Vuex用于状态管理,方便开发者构建复杂的前端应用。Vue的灵活性和简洁性使其成为现代Web开发中常用的前端框架之一。
2.4 MySQL数据库
MySQL是一种开源的关系型数据库管理系统(RDBMS),基于SQL(结构化查询语言)进行数据操作。作为一个被广泛使用的数据库系统,MySQL具有高度的性能、可扩展性和可靠性。MySQL使用表格结构来存储数据,每个表由多个列和行组成,数据通过SQL查询语言进行操作[7]。MySQL支持多种数据类型,如整数、浮动小数、字符串、日期等,以满足不同应用场景对数据存储的需求。在实际应用中,MySQL通常用于存储和管理结构化数据,通过索引、视图、触发器等功能提升数据查询的效率和数据的完整性。
MySQL支持ACID事务特性(原子性、一致性、隔离性、持久性),确保数据库操作的可靠性和数据的一致性。它还支持多种存储引擎,其中InnoDB是最常用的存储引擎,具备事务支持、行级锁定和外键约束等特性,适用于高并发、高可靠性的数据存储需求。MySQL可以通过主从复制、分区和分库分表等技术实现横向扩展,以应对大规模数据存储和高负载的应用需求。MySQL还具有灵活的权限管理机制,支持用户角色管理、细粒度的权限控制等,保障数据的安全性。
- 系统分析
3.1 可行性分析
3.1.1技术可行性
学生托管中心管理系统在技术上是完全可行的。SSM框架作为业界广泛使用的轻量级、开源的Java Web开发框架,具有成熟稳定、高效灵活的特点,能够满足学生托管中心管理系统的技术需求。Spring提供全面的编程和配置模型,SpringMVC实现了模型-视图-控制器的设计模式,而MyBatis则简化了数据库操作。三者结合使用,可以确保系统具备良好的可扩展性、可维护性和稳定性。
3.1.2经济可行性
在开发学生托管中心管理系统中所使用的开发软件像IDEA开发工具、Tomcat服务器、MySQL数据库等,这些都是开源免费的,这些环境在学校都进行了系统的学习,自己能够独立操作完成,不需要额外花费,而且系统的开发工具从网上都可以直接下载,因此在经济方面是可行的。
3.1.3操作可行性
可操作性主要是对学生托管中心管理系统设计完成后,用户的使用体验度,以及管理员可以通过系统随时管理相关的数据信息,并且对于管理员、家长用户、教师用户三种角色,都可以简单明了的进入到自己的系统界面,通过界面导航菜单可以简单明了地操作功能模块,方便用户信息的操作需求和管理员管理数据信息,对于系统的操作,不需要专业人员都可以直接进行功能模块的操作管理,所以在系统的可操作性是完全可以的。本系统的操作使用的也是界面窗口进行登录,所以操作人员只要会简单的电脑操作就完全可以的。
3.2 功能需求分析
3.2.1 功能性分析
按照学生托管中心管理系统的角色,划分为了家长用户模块、教师用户模块和管理员模块这三大部分。
(一)家长用户功能需求分析:
首页:展示系统的主要功能入口和即时通知,便于家长快速获取信息。
在线反馈:家长可以对托管服务进行反馈,提出建议和意见,帮助提升服务质量。
公告通知:查看学校和托管中心发布的最新公告和通知,确保及时了解相关信息。
新闻资讯:获取托管中心的新闻动态和相关资讯,丰富对托管服务的了解。
托管中心:查看和选择托管中心的信息,包括服务项目和联系方式,便于进行预约。
我的账户:管理个人账户信息,包括修改密码、查看账户状态等。
个人中心:
个人首页:展示家庭和学生的基本信息及相关服务概况。
发布作业:查看和管理学生的作业信息。
在线反馈:再次提交反馈或查看历史反馈记录。
收藏:保存感兴趣的信息或公告,方便后续查看。
预约信息:查看和管理自己为学生预约的服务信息。
提交作业:提交学生的作业,方便老师进行批改。
学生考勤:查看学生的考勤记录,了解出勤情况。
评论管理:对托管服务进行评价,帮助其他家长选择。
(二)教师用户功能需求分析
后台首页:展示教师的工作概况,包括待办事项、重要通知和系统快捷入口,方便教师快速查看重要信息。
托管中心管理:教师可以查看和管理自己负责的托管中心信息,包括中心的基本情况和服务项目。
预约信息管理:管理学生的预约情况,包括查看学生预约的服务、修改和取消预约,确保服务的顺利进行。
发布作业管理:布置和管理学生的作业,教师可以创建作业内容、设定截止日期,并发布给相关学生。
提交作业管理:查看学生提交的作业,进行审核和评估,提供反馈和评分,帮助学生提高学习效果。
学生考勤管理:记录和管理学生的考勤情况,确保及时了解学生的出勤状态,并进行统计分析。
(三)管理员功能需求分析
后台首页:提供系统概览,包括各项功能的快捷入口和数据统计信息,便于管理员快速了解系统运行状态。
系统用户管理:管理员可以对系统内的用户(如教师、学生、家长等)进行添加、删除、修改和权限管理,确保系统的安全和高效运行。
托管中心管理:对不同托管中心进行信息维护,包括中心的基本信息、服务项目等,确保信息的准确性和时效性。
预约信息管理:管理员可以查看和管理学生的预约情况,包括预约的新增、修改和取消,方便安排托管服务。
发布作业管理:管理员可以发布和管理学生的作业信息,包括布置作业、修改作业内容和查看作业完成情况。
提交作业管理:对学生提交的作业进行审核和管理,确保作业的及时收集和反馈。
在线反馈管理:处理家长和学生的在线反馈意见,及时回应和解决问题,提高服务质量。
学生考勤管理:记录和管理学生的考勤情况,确保学生出勤率的监控与分析。
系统管理(轮播图):管理系统首页的轮播图展示内容,包括新增、修改和删除图片,提升系统的视觉效果。
公告通知管理:发布和管理各类公告和通知,确保信息及时传达给相关用户。
资源管理:管理新闻资讯和资讯分类,提供最新的托管中心动态和相关信息,丰富家长和学生的了解。
3.2.2 非功能性分析
学生托管中心管理系统的非功能性需求比如系统的安全性怎么样,可靠性怎么样,性能怎么样,可拓展性怎么样等。具体可以表示在如下3-1表格中:
表3-1学生托管中心管理系统非功能需求表
| 安全性 | 主要指学生托管中心管理系统数据库的安装,数据库的使用和密码的设定必须合乎规范。 |
| 可靠性 | 可靠性是指学生托管中心管理系统能够安装用户的指示进行操作,经过测试,可靠性90%以上。 |
| 性能 | 性能是影响学生托管中心管理系统占据市场的必要条件,所以性能最好要佳才好。 |
| 可扩展性 | 比如数据库预留多个属性,比如接口的使用等确保了系统的非功能性需求。 |
| 易用性 | 用户只要跟着学生托管中心管理系统的页面展示内容进行操作,就可以了。 |
| 可维护性 | 学生托管中心管理系统开发的可维护性是非常重要的,经过测试,可维护性没有问题 |
3.3 系统用例分析
通过3.2功能的分析,得出了系统的用例图:
家长用户用例图如下所示。

图3-1 家长用户用例图
教师用户用例图如下所示。

图3-2 教师用户用例图
管理员用例图如下所示。

图3-3 管理员用例图
3.4 系统的流程分析
3.4.1登录流程

图3-4登录流程图
3.4.2添加信息流程
添加信息流程图,如下图所示:

图3-5添加信息流程图
3.4.3删除信息流程
删除信息流程图,如下图所示:

图3-6删除信息流程图
4.1 系统架构设计
本系统主要使用了五层架构进行开发,主要分为“表现层”、“控制层”、“服务层”、“业务逻辑层”、“数据访问层”。
“表现层”主要作为与用户交互的接口,提供给用户良好的可体验性,本系统在前后端交互主要使用的是Ajax技术来实现数据传输,不仅可以达到无刷新交互,同时还拥有较稳定的运行状态[8]。
“控制层”主要控制前端界面和后端程序数据之间的同步,然后根据前端请求完成数据更新或者是界面控制。以及负责将“服务层”提供的服务进行最后组装并调用。
“服务层”介于“控制层”和“业务逻辑层”之间,主要是将“业务逻辑层”的数据服务进行再一次组装,之后在作为接口提供给“控制层”使用。
“业务逻辑层”主要是动态的调用“数据访问层”的方法,对复杂的算法进行操作,处理前端传过来的请求并且做出相应的逻辑处理。
“数据访问层”主要负责对数据库的访问,可以访问数据库系统、文本文件、二进制文件、xml文档等等。负责业务对象的增加,修改,删除,加载[9]。
系统架构图如图4-1所示。

图4-1系统架构图
4.2开发流程设计
学生托管中心管理系统的开发对管理模块和系统使用的数据库进行分析,编写代开发,规划和操作是构建信息管理应用程序的必要三步曲,它决定了系统是否能够真正实现预设功能以及是否可以在成功设计后实施。在开发过程中,每个阶段必须严格按照线性顺序进行开发,并且在相应阶段生成的每个工作都可以通过技术进行验证和检查。确保一个阶段完成后是正确的,不会造成下一阶段拖拽现象,使系统完成设计功能后得到保证。
从学生托管中心管理系统的成功开发经验来看,上述方法效果最为明显,最大程度地降低了系统开发的复杂性。如图4-2所示。

图4-2开发系统流程图
4.3系统功能模块设计
通过对学生托管中心管理系统的功能需求分析以及用例分析,得出了学生托管中心管理系统的功能模块图如图4-3所示。

4.4数据库设计
数据库设计一般包括需求分析、概念模型设计、数据库表建立三大过程,其中需求分析前面章节已经阐述,概念模型设计有概念模型和逻辑结构设计两部分。
4.4.1 数据库概念结构设计
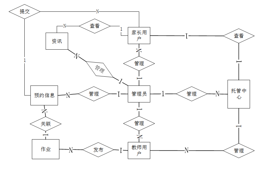
下面是整个学生托管中心管理系统中主要的数据库表总E-R实体关系图。

图4-4 系统总体ER图
4.4.2数据表
将数据库概念设计的E-R图转换为关系数据库。在关系数据库中,数据关系由数据表组成,但是表的结构表现在表的字段上。
| 编号 | 字段名 | 类型 | 长度 | 是否非空 | 是否主键 | 注释 |
| 1 | token_id | int | 是 | 是 | 临时访问牌ID | |
| 2 | token | varchar | 64 | 否 | 否 | 临时访问牌 |
| 3 | info | text | 65535 | 否 | 否 | 信息 |
| 4 | maxage | int | 是 | 否 | 最大寿命:默认2小时 | |
| 5 | create_time | timestamp | 是 | 否 | 创建时间 | |
| 6 | update_time | timestamp | 是 | 否 | 更新时间 | |
| 7 | user_id | int | 是 | 否 | 用户编号 |
表 4-2-appointment_information(预约信息)
| 编号 | 字段名 | 类型 | 长度 | 是否非空 | 是否主键 | 注释 |
| 1 | appointment_information_id | int | 是 | 是 | 预约信息ID | |
| 2 | title_name | varchar | 64 | 否 | 否 | 标题名称 |
| 3 | managed_type | varchar | 64 | 否 | 否 | 托管类型 |
| 4 | custody_fees | double | 否 | 否 | 托管费用 | |
| 5 | teacher_users | int | 否 | 否 | 教师用户 | |
| 6 | teachers_name | varchar | 64 | 否 | 否 | 教师姓名 |
| 7 | parent_users | int | 否 | 否 | 家长用户 | |
| 8 | parents_name | varchar | 64 | 否 | 否 | 家长姓名 |
| 9 | student_name | varchar | 64 | 否 | 否 | 学生姓名 |
| 10 | student_age | varchar | 64 | 否 | 否 | 学生年龄 |
| 11 | student_gender | varchar | 64 | 否 | 否 | 学生性别 |
| 12 | appointment_remarks | text | 65535 | 否 | 否 | 预约备注 |
| 13 | pay_state | varchar | 16 | 是 | 否 | 支付状态 |
| 14 | pay_type | varchar | 16 | 否 | 否 | 支付类型: 微信、支付宝、网银 |
| 15 | publish_homework_limit_times | int | 是 | 否 | 作业发布限制次数 | |
| 16 | student_attendance_limit_times | int | 是 | 否 | 考勤记录限制次数 | |
| 17 | create_time | datetime | 是 | 否 | 创建时间 | |
| 18 | update_time | timestamp | 是 | 否 | 更新时间 | |
| 19 | source_table | varchar | 255 | 否 | 否 | 来源表 |
| 20 | source_id | int | 否 | 否 | 来源ID | |
| 21 | source_user_id | int | 否 | 否 | 来源用户 |
表 4-3-article(文章)
| 编号 | 字段名 | 类型 | 长度 | 是否非空 | 是否主键 | 注释 |
| 1 | article_id | mediumint | 是 | 是 | 文章id | |
| 2 | title | varchar | 125 | 是 | 是 | 标题 |
| 3 | type | varchar | 64 | 是 | 否 | 文章分类 |
| 4 | hits | int | 是 | 否 | 点击数 | |
| 5 | praise_len | int | 是 | 否 | 点赞数 | |
| 6 | create_time | timestamp | 是 | 否 | 创建时间 | |
| 7 | update_time | timestamp | 是 | 否 | 更新时间 | |
| 8 | source | varchar | 255 | 否 | 否 | 来源 |
| 9 | url | varchar | 255 | 否 | 否 | 来源地址 |
| 10 | tag | varchar | 255 | 否 | 否 | 标签 |
| 11 | content | longtext | 4294967295 | 否 | 否 | 正文 |
| 12 | img | varchar | 255 | 否 | 否 | 封面图 |
| 13 | description | text | 65535 | 否 | 否 | 文章描述 |
表 4-4-article_type(文章分类)
| 编号 | 字段名 | 类型 | 长度 | 是否非空 | 是否主键 | 注释 |
| 1 | type_id | smallint | 是 | 是 | 分类ID | |
| 2 | display | smallint | 是 | 否 | 显示顺序 | |
| 3 | name | varchar | 16 | 是 | 否 | 分类名称 |
| 4 | father_id | smallint | 是 | 否 | 上级分类ID | |
| 5 | description | varchar | 255 | 否 | 否 | 描述 |
| 6 | icon | text | 65535 | 否 | 否 | 分类图标 |
| 7 | url | varchar | 255 | 否 | 否 | 外链地址 |
| 8 | create_time | timestamp | 是 | 否 | 创建时间 | |
| 9 | update_time | timestamp | 是 | 否 | 更新时间 |
表 4-5-auth(用户权限管理)
| 编号 | 字段名 | 类型 | 长度 | 是否非空 | 是否主键 | 注释 |
| 1 | auth_id | int | 是 | 是 | 授权ID | |
| 2 | user_group | varchar | 64 | 否 | 否 | 用户组 |
| 3 | mod_name | varchar | 64 | 否 | 否 | 模块名 |
| 4 | table_name | varchar | 64 | 否 | 否 | 表名 |
| 5 | page_title | varchar | 255 | 否 | 否 | 页面标题 |
| 6 | path | varchar | 255 | 否 | 否 | 路由路径 |
| 7 | parent | varchar | 64 | 否 | 否 | 父级菜单 |
| 8 | parent_sort | int | 是 | 否 | 父级菜单排序 | |
| 9 | position | varchar | 32 | 否 | 否 | 位置 |
| 10 | mode | varchar | 32 | 是 | 否 | 跳转方式 |
| 11 | add | tinyint | 是 | 否 | 是否可增加 | |
| 12 | del | tinyint | 是 | 否 | 是否可删除 | |
| 13 | set | tinyint | 是 | 否 | 是否可修改 | |
| 14 | get | tinyint | 是 | 否 | 是否可查看 | |
| 15 | field_add | text | 65535 | 否 | 否 | 添加字段 |
| 16 | field_set | text | 65535 | 否 | 否 | 修改字段 |
| 17 | field_get | text | 65535 | 否 | 否 | 查询字段 |
| 18 | table_nav_name | varchar | 500 | 否 | 否 | 跨表导航名称 |
| 19 | table_nav | varchar | 500 | 否 | 否 | 跨表导航 |
| 20 | option | text | 65535 | 否 | 否 | 配置 |
| 21 | create_time | timestamp | 是 | 否 | 创建时间 | |
| 22 | update_time | timestamp | 是 | 否 | 更新时间 |
表 4-6-care_center(托管中心)
| 编号 | 字段名 | 类型 | 长度 | 是否非空 | 是否主键 | 注释 |
| 1 | care_center_id | int | 是 | 是 | 托管中心ID | |
| 2 | title_name | varchar | 64 | 否 | 否 | 标题名称 |
| 3 | managed_type | varchar | 64 | 否 | 否 | 托管类型 |
| 4 | cover_photo | varchar | 255 | 否 | 否 | 封面图片 |
| 5 | custody_fees | double | 否 | 否 | 托管费用 | |
| 6 | teacher_users | int | 否 | 否 | 教师用户 | |
| 7 | teachers_name | varchar | 64 | 否 | 否 | 教师姓名 |
| 8 | teacher_introduction | longtext | 4294967295 | 否 | 否 | 教师简介 |
| 9 | hits | int | 是 | 否 | 点击数 | |
| 10 | praise_len | int | 是 | 否 | 点赞数 | |
| 11 | collect_len | int | 是 | 否 | 收藏数 | |
| 12 | comment_len | int | 是 | 否 | 评论数 | |
| 13 | appointment_information_limit_times | int | 是 | 否 | 预约限制次数 | |
| 14 | create_time | datetime | 是 | 否 | 创建时间 | |
| 15 | update_time | timestamp | 是 | 否 | 更新时间 |
表 4-7-code_token(验证码)
| 编号 | 字段名 | 类型 | 长度 | 是否非空 | 是否主键 | 注释 |
| 1 | code_token_id | int | 是 | 是 | 验证码ID | |
| 2 | token | varchar | 255 | 否 | 否 | 令牌 |
| 3 | code | varchar | 255 | 否 | 否 | 验证码 |
| 4 | expire_time | timestamp | 是 | 否 | 失效时间 | |
| 5 | create_time | timestamp | 是 | 否 | 创建时间 | |
| 6 | update_time | timestamp | 是 | 否 | 更新时间 |
表 4-8-collect(收藏)
| 编号 | 字段名 | 类型 | 长度 | 是否非空 | 是否主键 | 注释 |
| 1 | collect_id | int | 是 | 是 | 收藏ID | |
| 2 | user_id | int | 是 | 是 | 收藏人ID | |
| 3 | source_table | varchar | 255 | 否 | 否 | 来源表 |
| 4 | source_field | varchar | 255 | 否 | 否 | 来源字段 |
| 5 | source_id | int | 是 | 否 | 来源ID | |
| 6 | title | varchar | 255 | 否 | 否 | 标题 |
| 7 | img | varchar | 255 | 否 | 否 | 封面 |
| 8 | create_time | timestamp | 是 | 否 | 创建时间 | |
| 9 | update_time | timestamp | 是 | 否 | 更新时间 |
表 4-9-comment(评论)
| 编号 | 字段名 | 类型 | 长度 | 是否非空 | 是否主键 | 注释 |
| 1 | comment_id | int | 是 | 是 | 评论ID | |
| 2 | user_id | int | 是 | 是 | 评论人ID | |
| 3 | reply_to_id | int | 是 | 否 | 回复评论ID | |
| 4 | content | longtext | 4294967295 | 否 | 否 | 内容 |
| 5 | nickname | varchar | 255 | 否 | 否 | 昵称 |
| 6 | avatar | varchar | 255 | 否 | 否 | 头像地址 |
| 7 | create_time | timestamp | 是 | 否 | 创建时间 | |
| 8 | update_time | timestamp | 是 | 否 | 更新时间 | |
| 9 | source_table | varchar | 255 | 否 | 否 | 来源表 |
| 10 | source_field | varchar | 255 | 否 | 否 | 来源字段 |
| 11 | source_id | int | 是 | 否 | 来源ID |
表 4-10-hits(用户点击)
| 编号 | 字段名 | 类型 | 长度 | 是否非空 | 是否主键 | 注释 |
| 1 | hits_id | int | 是 | 是 | 点赞ID | |
| 2 | user_id | int | 是 | 否 | 点赞人 | |
| 3 | create_time | timestamp | 是 | 否 | 创建时间 | |
| 4 | update_time | timestamp | 是 | 否 | 更新时间 | |
| 5 | source_table | varchar | 255 | 否 | 否 | 来源表 |
| 6 | source_field | varchar | 255 | 否 | 否 | 来源字段 |
| 7 | source_id | int | 是 | 否 | 来源ID |
表 4-11-notice(公告)
| 编号 | 字段名 | 类型 | 长度 | 是否非空 | 是否主键 | 注释 |
| 1 | notice_id | mediumint | 是 | 是 | 公告ID | |
| 2 | title | varchar | 125 | 是 | 否 | 标题 |
| 3 | content | longtext | 4294967295 | 否 | 否 | 正文 |
| 4 | create_time | timestamp | 是 | 否 | 创建时间 | |
| 5 | update_time | timestamp | 是 | 否 | 更新时间 |
表 4-12-online_feedback(在线反馈)
| 编号 | 字段名 | 类型 | 长度 | 是否非空 | 是否主键 | 注释 |
| 1 | online_feedback_id | int | 是 | 是 | 在线反馈ID | |
| 2 | title_name | varchar | 64 | 否 | 否 | 标题名称 |
| 3 | feedback_type | varchar | 64 | 否 | 否 | 反馈类型 |
| 4 | feedback_to_users | int | 否 | 否 | 反馈用户 | |
| 5 | feedback_date | date | 否 | 否 | 反馈日期 | |
| 6 | feedback_content | text | 65535 | 否 | 否 | 反馈内容 |
| 7 | examine_state | varchar | 16 | 是 | 否 | 审核状态 |
| 8 | examine_reply | varchar | 16 | 否 | 否 | 审核回复 |
| 9 | create_time | datetime | 是 | 否 | 创建时间 | |
| 10 | update_time | timestamp | 是 | 否 | 更新时间 |
表 4-13-parent_users(家长用户)
| 编号 | 字段名 | 类型 | 长度 | 是否非空 | 是否主键 | 注释 |
| 1 | parent_users_id | int | 是 | 是 | 家长用户ID | |
| 2 | parents_name | varchar | 64 | 否 | 否 | 家长姓名 |
| 3 | parent_gender | varchar | 64 | 否 | 否 | 家长性别 |
| 4 | contact_information | varchar | 16 | 否 | 否 | 联系方式 |
| 5 | examine_state | varchar | 16 | 是 | 否 | 审核状态 |
| 6 | user_id | int | 是 | 否 | 用户ID | |
| 7 | create_time | datetime | 是 | 否 | 创建时间 | |
| 8 | update_time | timestamp | 是 | 否 | 更新时间 |
表 4-14-praise(点赞)
| 编号 | 字段名 | 类型 | 长度 | 是否非空 | 是否主键 | 注释 |
| 1 | praise_id | int | 是 | 是 | 点赞ID | |
| 2 | user_id | int | 是 | 是 | 点赞人 | |
| 3 | create_time | timestamp | 是 | 否 | 创建时间 | |
| 4 | update_time | timestamp | 是 | 否 | 更新时间 | |
| 5 | source_table | varchar | 255 | 否 | 否 | 来源表 |
| 6 | source_field | varchar | 255 | 否 | 否 | 来源字段 |
| 7 | source_id | int | 是 | 否 | 来源ID | |
| 8 | status | tinyint | 是 | 否 | 点赞状态:1为点赞,0已取消 |
表 4-15-publish_homework(发布作业)
| 编号 | 字段名 | 类型 | 长度 | 是否非空 | 是否主键 | 注释 |
| 1 | publish_homework_id | int | 是 | 是 | 发布作业ID | |
| 2 | teacher_users | int | 否 | 否 | 教师用户 | |
| 3 | teachers_name | varchar | 64 | 否 | 否 | 教师姓名 |
| 4 | parent_users | int | 否 | 否 | 家长用户 | |
| 5 | parents_name | varchar | 64 | 否 | 否 | 家长姓名 |
| 6 | student_name | varchar | 64 | 否 | 否 | 学生姓名 |
| 7 | student_age | varchar | 64 | 否 | 否 | 学生年龄 |
| 8 | student_gender | varchar | 64 | 否 | 否 | 学生性别 |
| 9 | homework_attachment | varchar | 255 | 否 | 否 | 作业附件 |
| 10 | release_date | date | 否 | 否 | 发布日期 | |
| 11 | remarks_information | text | 65535 | 否 | 否 | 备注信息 |
| 12 | submit_homework_limit_times | int | 是 | 否 | 提交限制次数 | |
| 13 | create_time | datetime | 是 | 否 | 创建时间 | |
| 14 | update_time | timestamp | 是 | 否 | 更新时间 | |
| 15 | source_table | varchar | 255 | 否 | 否 | 来源表 |
| 16 | source_id | int | 否 | 否 | 来源ID | |
| 17 | source_user_id | int | 否 | 否 | 来源用户 |
表 4-16-schedule(日程管理)
| 编号 | 字段名 | 类型 | 长度 | 是否非空 | 是否主键 | 注释 |
| 1 | schedule_id | smallint | 是 | 是 | 日程ID | |
| 2 | content | varchar | 255 | 否 | 否 | 日程内容 |
| 3 | scheduled_time | datetime | 否 | 否 | 计划时间 | |
| 4 | user_id | int | 是 | 否 | 用户ID | |
| 5 | create_time | datetime | 否 | 否 | 创建时间 | |
| 6 | update_time | datetime | 否 | 否 | 更新时间 |
表 4-17-score(评分)
| 编号 | 字段名 | 类型 | 长度 | 是否非空 | 是否主键 | 注释 |
| 1 | score_id | int | 是 | 是 | 评分ID | |
| 2 | user_id | int | 是 | 否 | 评分人 | |
| 3 | nickname | varchar | 64 | 否 | 否 | 昵称 |
| 4 | score_num | double | 是 | 否 | 评分 | |
| 5 | create_time | timestamp | 是 | 否 | 创建时间 | |
| 6 | update_time | timestamp | 是 | 否 | 更新时间 | |
| 7 | source_table | varchar | 255 | 否 | 否 | 来源表 |
| 8 | source_field | varchar | 255 | 否 | 否 | 来源字段 |
| 9 | source_id | int | 是 | 否 | 来源ID |
表 4-18-slides(轮播图)
| 编号 | 字段名 | 类型 | 长度 | 是否非空 | 是否主键 | 注释 |
| 1 | slides_id | int | 是 | 是 | 轮播图ID | |
| 2 | title | varchar | 64 | 否 | 否 | 标题 |
| 3 | content | varchar | 255 | 否 | 否 | 内容 |
| 4 | url | varchar | 255 | 否 | 否 | 链接 |
| 5 | img | varchar | 255 | 否 | 否 | 轮播图 |
| 6 | hits | int | 是 | 否 | 点击量 | |
| 7 | create_time | timestamp | 是 | 否 | 创建时间 | |
| 8 | update_time | timestamp | 是 | 否 | 更新时间 |
表 4-19-student_attendance(学生考勤)
| 编号 | 字段名 | 类型 | 长度 | 是否非空 | 是否主键 | 注释 |
| 1 | student_attendance_id | int | 是 | 是 | 学生考勤ID | |
| 2 | teacher_users | int | 否 | 否 | 教师用户 | |
| 3 | teachers_name | varchar | 64 | 否 | 否 | 教师姓名 |
| 4 | parent_users | int | 否 | 否 | 家长用户 | |
| 5 | student_name | varchar | 64 | 否 | 否 | 学生姓名 |
| 6 | check_in_type | varchar | 64 | 否 | 否 | 打卡类型 |
| 7 | check_in_time | datetime | 否 | 否 | 打卡时间 | |
| 8 | remarks_details | text | 65535 | 否 | 否 | 备注详情 |
| 9 | create_time | datetime | 是 | 否 | 创建时间 | |
| 10 | update_time | timestamp | 是 | 否 | 更新时间 | |
| 11 | source_table | varchar | 255 | 否 | 否 | 来源表 |
| 12 | source_id | int | 否 | 否 | 来源ID | |
| 13 | source_user_id | int | 否 | 否 | 来源用户 |
表 4-20-submit_homework(提交作业)
| 编号 | 字段名 | 类型 | 长度 | 是否非空 | 是否主键 | 注释 |
| 1 | submit_homework_id | int | 是 | 是 | 提交作业ID | |
| 2 | teacher_users | int | 否 | 否 | 教师用户 | |
| 3 | teachers_name | varchar | 64 | 否 | 否 | 教师姓名 |
| 4 | parent_users | int | 否 | 否 | 家长用户 | |
| 5 | parents_name | varchar | 64 | 否 | 否 | 家长姓名 |
| 6 | student_name | varchar | 64 | 否 | 否 | 学生姓名 |
| 7 | student_age | varchar | 64 | 否 | 否 | 学生年龄 |
| 8 | student_gender | varchar | 64 | 否 | 否 | 学生性别 |
| 9 | submit_attachments | varchar | 255 | 否 | 否 | 提交附件 |
| 10 | submission_date | date | 否 | 否 | 提交日期 | |
| 11 | submit_remarks | text | 65535 | 否 | 否 | 提交备注 |
| 12 | homework_grading | double | 否 | 否 | 作业评分 | |
| 13 | teachers_comments | text | 65535 | 否 | 否 | 教师评语 |
| 14 | create_time | datetime | 是 | 否 | 创建时间 | |
| 15 | update_time | timestamp | 是 | 否 | 更新时间 | |
| 16 | source_table | varchar | 255 | 否 | 否 | 来源表 |
| 17 | source_id | int | 否 | 否 | 来源ID | |
| 18 | source_user_id | int | 否 | 否 | 来源用户 |
表 4-21-teacher_users(教师用户)
| 编号 | 字段名 | 类型 | 长度 | 是否非空 | 是否主键 | 注释 |
| 1 | teacher_users_id | int | 是 | 是 | 教师用户ID | |
| 2 | teacher_id | varchar | 64 | 是 | 是 | 教师工号 |
| 3 | teachers_name | varchar | 64 | 否 | 否 | 教师姓名 |
| 4 | teacher_gender | varchar | 64 | 否 | 否 | 教师性别 |
| 5 | examine_state | varchar | 16 | 是 | 否 | 审核状态 |
| 6 | user_id | int | 是 | 否 | 用户ID | |
| 7 | create_time | datetime | 是 | 否 | 创建时间 | |
| 8 | update_time | timestamp | 是 | 否 | 更新时间 |
表 4-22-upload(文件上传)
| 编号 | 字段名 | 类型 | 长度 | 是否非空 | 是否主键 | 注释 |
| 1 | upload_id | int | 是 | 是 | 上传ID | |
| 2 | name | varchar | 64 | 否 | 否 | 文件名 |
| 3 | path | varchar | 255 | 否 | 否 | 访问路径 |
| 4 | file | varchar | 255 | 否 | 否 | 文件路径 |
| 5 | display | varchar | 255 | 否 | 否 | 显示顺序 |
| 6 | father_id | int | 否 | 否 | 父级ID | |
| 7 | dir | varchar | 255 | 否 | 否 | 文件夹 |
| 8 | type | varchar | 32 | 否 | 否 | 文件类型 |
表 4-23-user(用户账户)
| 编号 | 字段名 | 类型 | 长度 | 是否非空 | 是否主键 | 注释 |
| 1 | user_id | int | 是 | 是 | 用户ID | |
| 2 | state | smallint | 是 | 否 | 账户状态:(1可用|2异常|3已冻结|4已注销) | |
| 3 | user_group | varchar | 32 | 否 | 否 | 所在用户组 |
| 4 | login_time | timestamp | 是 | 否 | 上次登录时间 | |
| 5 | phone | varchar | 11 | 否 | 否 | 手机号码 |
| 6 | phone_state | smallint | 是 | 否 | 手机认证:(0未认证|1审核中|2已认证) | |
| 7 | username | varchar | 16 | 是 | 否 | 用户名 |
| 8 | nickname | varchar | 16 | 否 | 否 | 昵称 |
| 9 | password | varchar | 64 | 是 | 否 | 密码 |
| 10 | | varchar | 64 | 否 | 否 | 邮箱 |
| 11 | email_state | smallint | 是 | 否 | 邮箱认证:(0未认证|1审核中|2已认证) | |
| 12 | avatar | varchar | 255 | 否 | 否 | 头像地址 |
| 13 | open_id | varchar | 255 | 否 | 否 | 针对获取用户信息字段 |
| 14 | create_time | timestamp | 是 | 否 | 创建时间 |
表 4-24-user_group(用户组)
| 编号 | 字段名 | 类型 | 长度 | 是否非空 | 是否主键 | 注释 |
| 1 | group_id | mediumint | 是 | 是 | 用户组ID | |
| 2 | display | smallint | 是 | 否 | 显示顺序 | |
| 3 | name | varchar | 16 | 是 | 否 | 名称 |
| 4 | description | varchar | 255 | 否 | 否 | 描述 |
| 5 | source_table | varchar | 255 | 否 | 否 | 来源表 |
| 6 | source_field | varchar | 255 | 否 | 否 | 来源字段 |
| 7 | source_id | int | 是 | 否 | 来源ID | |
| 8 | register | smallint | 否 | 否 | 注册位置 | |
| 9 | create_time | timestamp | 是 | 否 | 创建时间 | |
| 10 | update_time | timestamp | 是 | 否 | 更新时间 |
5.1 家长用户模块
5.1.1 用户注册界面
注册模块满足用户两部分,当用户想要进行资料相关信息的查询管理的时候,就必须进行登录,如果没有账号的话,在登录界面,点击“注册”按钮就会跳转到注册的界面,根据提示填写好账号、密码、昵称、邮箱、身份等注册信息,添加提交,注册的信息在数据库中就添加完成了,然后再输入填写好的账号和密码进行登录,其注册主界面展示如下图所示。

图5-1用户注册界面图
5.1.2 家长用户登录界面
家长用户在登录界面输入账号+密码,点击“登录”按钮,系统在用户数据库表中会对用户的账号进行匹配,账号+密码正确的话,就会登录到系统中各个用户的主管理界面,否则提示对应的信息,返回到登录的界面,其登录主界面展示如下图所示。

图5-2家长用户登录界面图
登录关键代码如下所示。
/**
* 登录
* @param data
* @param httpServletRequest
* @return
*/
@PostMapping("login")
public Map<String, Object> login(@RequestBody Map<String, String> data, HttpServletRequest httpServletRequest) {
log.info("[执行登录接口]");
String username = data.get("username");
String email = data.get("email");
String phone = data.get("phone");
String password = data.get("password");
List resultList = null;
QueryWrapper wrapper = new QueryWrapper<User>();
Map<String, String> map = new HashMap<>();
if(username != null && "".equals(username) == false){
map.put("username", username);
resultList = service.selectBaseList(service.select(map, new HashMap<>()));
}
else if(email != null && "".equals(email) == false){
map.put("email", email);
resultList = service.selectBaseList(service.select(map, new HashMap<>()));
}
else if(phone != null && "".equals(phone) == false){
map.put("phone", phone);
resultList = service.selectBaseList(service.select(map, new HashMap<>()));
}else{
return error(30000, "账号或密码不能为空");
}
if (resultList == null || password == null) {
return error(30000, "账号或密码不能为空");
}
//判断是否有这个用户
if (resultList.size()<=0){
return error(30000,"用户不存在");
}
User byUsername = (User) resultList.get(0);
Map<String, String> groupMap = new HashMap<>();
groupMap.put("name",byUsername.getUserGroup());
List groupList = userGroupService.selectBaseList(userGroupService.select(groupMap, new HashMap<>()));
if (groupList.size()<1){
return error(30000,"用户组不存在");
}
UserGroup userGroup = (UserGroup) groupList.get(0);
//查询用户审核状态
if (!StringUtils.isEmpty(userGroup.getSourceTable())){
String res = service.selectExamineState(userGroup.getSourceTable(),byUsername.getUserId());
if (res==null){
return error(30000,"用户不存在");
}
if (!res.equals("已通过")){
return error(30000,"该用户审核未通过");
}
}
//查询用户状态
if (byUsername.getState()!=1){
return error(30000,"用户非可用状态,不能登录");
}
String md5password = service.encryption(password);
if (byUsername.getPassword().equals(md5password)) {
// 存储Token到数据库
AccessToken accessToken = new AccessToken();
accessToken.setToken(UUID.randomUUID().toString().replaceAll("-", ""));
accessToken.setUser_id(byUsername.getUserId());
tokenService.save(accessToken);
// 返回用户信息
JSONObject user = JSONObject.parseObject(JSONObject.toJSONString(byUsername));
user.put("token", accessToken.getToken());
JSONObject ret = new JSONObject();
ret.put("obj",user);
return success(ret);
} else {
return error(30000, "账号或密码不正确");
}
}
public String select(Map<String,String> query,Map<String,String> config){
StringBuffer sql = new StringBuffer("select ");
sql.append(config.get(FindConfig.FIELD) == null || "".equals(config.get(FindConfig.FIELD)) ? "*" : config.get(FindConfig.FIELD)).append(" ");
sql.append("from ").append("`").append(table).append("`").append(toWhereSql(query, "0".equals(config.get(FindConfig.LIKE))));
if (config.get(FindConfig.GROUP_BY) != null && !"".equals(config.get(FindConfig.GROUP_BY))){
sql.append("group by ").append(config.get(FindConfig.GROUP_BY)).append(" ");
}
if (config.get(FindConfig.ORDER_BY) != null && !"".equals(config.get(FindConfig.ORDER_BY))){
sql.append("order by ").append(config.get(FindConfig.ORDER_BY)).append(" ");
}
if (config.get(FindConfig.PAGE) != null && !"".equals(config.get(FindConfig.PAGE))){
int page = config.get(FindConfig.PAGE) != null && !"".equals(config.get(FindConfig.PAGE)) ? Integer.parseInt(config.get(FindConfig.PAGE)) : 1;
int limit = config.get(FindConfig.SIZE) != null && !"".equals(config.get(FindConfig.SIZE)) ? Integer.parseInt(config.get(FindConfig.SIZE)) : 10;
sql.append(" limit ").append( (page-1)*limit ).append(" , ").append(limit);
}
log.info("[{}] - 查询操作,sql: {}",table,sql);
return sql.toString();
}
public List selectBaseList(String select) {
List<Map<String,Object>> mapList = baseMapper.selectBaseList(select);
List<E> list = new ArrayList<>();
for (Map<String,Object> map:mapList) {
list.add(JSON.parseObject(JSON.toJSONString(map),eClass));
}
return list;
}
5.1.3新闻资讯界面
用户可以查看新闻资讯信息。资讯内容按照类别进行组织,方便用户根据兴趣查看相关内容。系统提供搜索功能,用户可以按关键词查询特定的新闻资讯。在详情页可以点赞、收藏和评论。新闻资讯界面图如下图所示。

图5-3新闻资讯界面图
5.1.4托管中心界面
进入“托管中心”后,用户会看到所有托管中心列表。显示托管中心照片、基本信息。用户点击具体托管中心的照片后,将进入详细信息页面,用户可以查看更多详细描述。在详情页可以点赞、收藏和评论。托管中心界面图如下图所示。

图5-4托管中心界面图
5.1.5在线反馈界面
家长可以对托管服务进行反馈,提出建议和意见,帮助提升服务质量。在线反馈界面图如下图所示。

图5-5在线反馈界面图
5.2 教师用户模块
5.2.1 预约信息管理界面
教师用户点击“预约信息管理”这一菜单会显示预约信息列表这个子菜单,点击“预约信息列表”可以查看预约信息详情,可以进行查询的操作。预约信息管理界面如下图所示。

图5-6预约信息管理界面图
5.2.2发布作业管理界面
教师用户点击“发布作业管理”这一菜单会显示发布作业列表这个子菜单,点击“发布作业列表”可以查看发布作业详情,可以进行查询的操作。发布作业管理如下图所示。

图5-7发布作业界面图
发布作业添加的关键代码如下:
@RequestMapping(value = {"/sum_group", "/sum"})
public Map<String, Object> sum(HttpServletRequest request) {
Query count = service.sum(service.readQuery(request), service.readConfig(request));
return success(count.getResultList());
}
5.2.3学生考勤管理界面
教师用户点击“学生考勤管理”这一菜单会显示学生考勤列表这个子菜单,点击“学生考勤列表”可以查看学生考勤详情,可以进行查询的操作。学生考勤管理如下图所示。

图5-8学生考勤管理界面图
5.3管理员功能模块
5.3.1系统用户界面
在系统用户页面中可以对管理员、家长用户和教师用户三种角色进行管控,还可以对三种角色进行查询、重置、添加和删除。系统用户界面如下图所示。

图5-9系统用户界面图
系统用户管理关键代码如下所示。
public List selectBaseList(String select) {
List<Map<String,Object>> mapList = baseMapper.selectBaseList(select);
List<E> list = new ArrayList<>();
for (Map<String,Object> map:mapList) {
list.add(JSON.parseObject(JSON.toJSONString(map),eClass));
}
return list;
}
5.3.2 托管中心管理界面
管理员点击“托管中心管理”这一菜单会显示托管中心列表和托管中心添加两个子菜单,点击“托管中心列表”可以查看托管中心详情和用户评论,可以进行查询、重置、删除等操作。点击“托管中心添加”,可以添加新的托管中心。托管中心管理界面如下图所示。

图5-10托管中心管理界面图
5.3.3 提交作业管理界面
管理员点击“提交作业管理”这一菜单会显示提交作业列表这个子菜单,点击“提交作业列表”可以查看提交作业详情,可以进行查询和删除等操作。提交作业管理界面如下图所示。

图5-11提交作业管理界面图
5.3.4 系统管理界面
管理员可以管理网站首页的轮播图,上传、编辑和删除图片内容。可设置轮播图的展示顺序和有效时间,使得平台首页内容保持最新和吸引用户。系统管理界面如下图所示。

图5-12系统管理界面图
5.3.5公告通知管理界面
管理员点击“公告通知管理”这个菜单,可以查看到系统中所有添加的系统公告,支持通过标题对系统公告进行查询,添加、删除等操作。公告通知管理界面如下图所示。

图5-13公告通知管理界面图
6.1系统测试的目的
程序设计不能保证没有错误,这是一个开发过程,在错误或错误的过程中都是难以避免的。虽然这是不可避免的,但我们不能使这些错误始终存在于系统中,错误可能会造成无法估量的后果,如系统崩溃,安全信息泄露,系统无法正常启动等,为了避免这些问题,我们需要测试程序,再测试过程中发现问题,并纠正它们,从而使系统更长时间稳定成熟。本章的作用是发现这些问题,并对其进行修改,虽然耗时费力,但对于长期使用而言是非常重要和必要系统的开发。
软件在设计后必须进行测试,调试过程中使用的方法是软件测试方法。在开发新软件时,系统测试是检查软件是否合格的关键步骤,以及是否符合设计目标的参考。测试主要是查看软件中数据的准确性,正确的操作与否,以及操作的结果,还有哪些方面需要改进。
学生托管中心管理系统的实现,对于系统中功能模块的实现及操作都必须通过测试进行来评判系统是否可以准确的实现。在学生托管中心管理系统正式上传使用之前必须做的一步就是系统测试,对于测试发现的错误及时修改处理,保证系统准确无误的供给用户使用。
6.2系统测试方法
在对学生托管中心管理系统进行测试的时候在找到问题的情况下必须在第一时间找到解决问题的办法,不要存在侥幸的心理,这样才能让学生托管中心管理系统开发的质量可以过关,并且开发的周期会大大缩短,还有就是在测试时,不要出现重复性的错误,遇到一个错误问题,要将整个学生托管中心管理系统开发所牵扯的该问题都必须一一解决,提高学生托管中心管理系统的安全性、稳定性。
白盒测试与黑盒测试是测试中比较常用的两种方法。
①结构测试俗称白盒测试:这种测试是在对程序的处理过程与结构都有详尽谅解的前提下,顺从程序内部的逻辑而完成的系统测试,以确定系统中所有的通路都能够遵照设计要求正常工作,不出现任何偏差。
②功能测试又成黑盒测试:主要是针对程序功能能够按照设计正常实现的一种检测,在程序接口处进行,检测程序手法数据是否正常,与外部信息的交换是否完整。
6.3功能测试
用户登录测试:
| 模块名称 | 测试用例 | 预期结果 | 实际结果 | 是否通过 |
| 登录模块 | 用户名:admin 密码:123 | 弹出错误提示,提示密码错误 | 弹出错误提示,提示密码错误 | 通过 |
| 登录模块 | 用户名:123 密码:admin | 弹出错误提示,提示用户名错误 | 弹出错误提示,提示用户名错误 | 通过 |
| 登录模块 | 用户名:admin 密码:admin | 管理员登录成功 | 管理员登录成功 | 通过 |
删除预约信息测试:
| 模块名称 | 测试用例 | 预期结果 | 实际结果 | 是否通过 |
| 删除预约信息模块 | 预约信息 | 删除成功、页面自动跳转 | 删除成功、页面自动跳转 | 通过 |
修改密码测试:
| 模块名称 | 测试用例 | 预期结果 | 实际结果 | 是否通过 |
| 修改密码模块 | 原密码:666 新密码:123 确认密码:123 | 弹出错误提示,提示原密码错误 | 弹出错误提示,提示原密码错误 | 通过 |
| 修改密码模块 | 原密码:admin 新密码:123 确认密码:333 | 弹出错误提示,提示确认密码不一致 | 弹出错误提示,提示确认密码不一致 | 通过 |
| 修改密码模块 | 原密码:admin 新密码:123 确认密码:123 | 密码修改成功 | 密码修改成功 | 通过 |
通过对功能的测试,学生托管中心管理系统的基本功能都是可行的,不管是系统里面的功能,还是界面的设计都是可值得推广宣传的。
在开发学生托管中心管理系统之前我胸有成竹,觉得很简单,但在实际的开发中我发现了自身的很多问题,许多编程思想和方法都还没有掌握牢靠,比如Bootsatrp、Jquery、AJAX 、SSM、mybeatis等许多Java Web开发技术,通过开发这个学生托管中心管理系统我成长了很多,懂得了做什么事情都要脚踏实地,不能眼高手低,在本次学生托管中心管理系统的开发中我逐渐掌握逐渐熟悉的技术。
同时,在本次项目中我也暴露了诸多问题。对于Java的编程知识有所欠缺,环境配置和算法上出现诸多问题,时常导致项目运行出错,或者目标的实现有问题。或者实现想法时算法未优化,使得代码冗长,程序运行不顺畅。
参考文献
- 王志涛.基于B/S模式的项目管理信息系统开发与设计[J].办公自动化,2024,29(24):84-86.
- 郦昕昕.基于B/S模式的人事管理系统设计与实现[J].集成电路应用,2024,41(05):246-247.DOI:10.19339/j.issn.1674-2583.2024.05.112.
- 夏禹.基于FreeMarker、ECharts以及SSM的数据可视化平台[J].电脑编程技巧与维护,2019,(07):91-92+99.DOI:10.16184/j.cnki.comprg.2019.07.035.
- 赵静静.基于SSM框架的检查业务数据应用系统开发[J].现代信息科技,2025,9(02):52-57.DOI:10.19850/j.cnki.2096-4706.2025.02.009.
- 赵媛.基于Vue的Web系统前端性能优化分析[J].电脑编程技巧与维护,2024,(09):44-46.
- 秦冬.浅析Vue框架在前端开发中的应用[J].信息与电脑(理论版),2024,36(13):61-63.
- 李艳杰.MySQL数据库下存储过程的综合运用研究[J].现代信息科技,2023,7(11):80-82+88.
- 邱丹萍.Web开发中SSM框架的分析[J].电脑知识与技术,2020,16(17):81-82.DOI:10.14004/j.cnki.ckt.2020.2080.
- 张桓,刘仲会,丁明浩.SSM轻量级框架应用开发教程[M].人民邮电出版社:202007.217.
- Ma G ,Duan H .Research on Big Data-Driven Innovation in Java Programming Education[J].Exploration of Educational Management,2024,2(12):
- Wang Q ,Zheng L ,Hong R .Exploration on the Teaching Model of Java Programming and Practice for Students with No Programming Background[J].Advances in Educational Technology and Psychology,2024,8(6):
- 王庄莹,程晓杰,冯彬,等.Java程序设计课程思政融合策略研究[J].信息与电脑(理论版),2024,36(22):203-205.
- Zhang J .Teaching Reform of Java Program Design Based on Vocational Education Cloud Platform[J].Journal of Higher Education Teaching,2024,1(5):
- 段瑞,李方一.Java项目任务教学研究与设计[C]//河南省民办教育协会.2024年高等教育发展论坛论文集(上册).绵阳城市学院;,2024:2.DOI:10.26914/c.cnkihy.2024.009751.
- Ullenboom C .Java Programming Exercises:Volume Two: Java Standard Library[M].CRC Press:2024-03-30.
- Davi V .Designing Hexagonal Architecture with Java:Build maintainable and long-lasting applications with Java and Quarkus[M].Packt Publishing Limited:2023-09-29.DOI:10.0000/9781837630714.
- 鲍蔓华,王溪.让更多社会力量参与学生寒暑假托管[N].人民政协报,2022-06-15(011).DOI:10.28660/n.cnki.nrmzx.2022.003873.
- 林月勤.天津市小学生校外托管机构监管研究[D].天津财经大学,2020.DOI:10.27354/d.cnki.gtcjy.2020.000465.
- 邬佳忆.基金托管与服务管理平台的设计及实现[J].电子技术与软件工程,2019,(12):48-50.DOI:10.20109/j.cnki.etse.2019.12.039.
- 罗勋,伊甸服务器托管管理系统V1.0.湖南省,湖南伊甸科技有限公司,2019-06-11.
致 谢
这次毕业设计能够完成,最重要的就是来自指导老师的帮助,老师不厌其烦的对我的论文及毕业设计提出非常有建设性的建议,我的毕设能够完成离不开老师的帮助。我对老师由衷的表示感谢,
其次要感谢大学四年里学院里所有的任课老师的教导,老师们在我整个大学四年里给予了我丰富的知识,让我能够在大学中不虚度光阴,踏踏实实的学习,没有这些老师不辞辛劳的教诲,我无法完成这四年的学业。
由于自己的水平有限,毕设仍然存在着很大的缺陷,各位老师若提出意见,我会努力改正。
点赞+收藏+关注 →私信领取本源代码、数据库
关注博主下篇更精彩
一键三连!!!
一键三连!!!
一键三连!!!
感谢一键三连!!!

被折叠的 条评论
为什么被折叠?



