高校大学生就业管理信息系统设计与实现
摘 要
在网络飞速发展的信息时代,各个行业都离不开信息的处理,在这种时代背景下,学校以学生的信息管理为导向,根据这点,为当前形势最重要的高校大学生就业管理信息设计一个就业信息管理系统就很有必要。
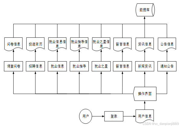
高校大学生高校大学生就业管理信息系统主要功能模块包括系统用户、就业之星管理、就业指导管理、就业信息管理、招聘信息管理、投递记录管理、调查问卷管理、系统管理、 留言管理、通知公告管理、资源管理等,采取面对对象的开发模式进行软件的开发和硬体的架设,能很好的满足实际使用的需求,完善了对应的软体架设以及程序编码的工作。本次软件设计中,以用户的实际操作流程作为整体开发的出发点,采用MVC设计模式,结合Java开发语言对软件开发原理,数据库采用目前流行的开源关系型数据库MySQL,使用SpringBoot框架技术整体开发源程序,最终实现一个高校大学生就业管理信息系统。
本次报告,首先分析了研究的背景、作用、意义,为研究工作的合理性打下了基础。针对高校大学生就业管理信息系统的各项需求以及技术问题进行分析,证明了系统的必要性和技术可行性,然后对设计系统需要使用的技术软件以及设计思想做了基本的介绍,最后来实现高校大学生就业管理信息系统和部署运行使用它。
关键词:高校大学生就业管理信息;SpringBoot框架;Java开发语言;MySQL数据库
Design and Implementation of an Employment Management Information System for College Students
Abstract
In the rapidly developing information age of the internet, various industries cannot do without information processing. In this era, schools are guided by student information management. Based on this, it is necessary to design an employment information management system for the most important employment management information of college students in the current situation.
The main functional modules of the employment management system for college students include system users, employment star management, employment guidance management, employment information management, recruitment information management, delivery record management, survey questionnaire management, system management, message management, notification and announcement management, resource management, etc. The system adopts an object-oriented development model for software development and hardware installation, which can well meet the practical needs of use, Improved the corresponding software installation and program coding work. In this software design, the actual user operation process is taken as the starting point for overall development. MVC design pattern is adopted, combined with Java development language for software development principles. The database adopts the popular open-source relational database MySQL, and the SpringBoot framework technology is used to develop the source program as a whole. Finally, an employment management system is implemented.
This report first analyzes the background, role, and significance of the research, laying the foundation for the rationality of the research work. An analysis was conducted on the various requirements and technical issues of the employment management system, demonstrating the necessity and feasibility of the system. Then, a basic introduction was made to the technical software and design ideas required for designing the system. Finally, the implementation and deployment of the employment management system were carried out.
Keywords: Employment management information for college students; SpringBoot framework; Java development language; MySQL database
目 录
表employment_information (就业信息)
近年来,随着中国高等教育的普及和高校毕业生数量的不断增加,大学生就业问题日益突出。与此同时,信息技术的快速发展为解决这一问题提供了新的可能性。因此,设计和实现一种高校大学生就业管理信息系统具有重要的研究背景意义。
首先,高校大学生就业管理信息系统可以有效地整合和管理各类就业资源。当前,高校毕业生就业市场上存在着信息不对称和资源分散的问题,导致学生获取就业信息和机会的难度较大。通过建立一个综合的管理平台,能够将各种就业资源集中起来,方便学生浏览和选择,提高就业匹配度。
其次,该系统能够提供个性化的就业指导和服务。每位大学生在就业方面的需求和情况都是不同的,传统的就业服务难以满足个体差异化需求。而通过信息系统的优势,可以根据学生的专业背景、兴趣爱好等进行精准推荐和个性化指导,帮助学生更好地规划职业发展路径。
此外,高校大学生就业管理信息系统还可以提高就业数据的准确性和可靠性。传统的数据收集和统计方式存在着信息滞后和误差较大的问题,难以为政府、学校和学生提供准确的就业情况分析和预测。而借助信息系统,能够实时收集、整理和分析就业数据,为决策者提供科学依据,帮助他们更好地制定相关政策和措施。
综上所述,设计和实现一种高校大学生就业管理信息系统具有重要的研究背景意义。通过该系统,可以有效整合和管理就业资源,提供个性化服务,提高就业数据的准确性和可靠性,从而更好地解决大学生就业问题,促进社会和经济的发展。
随着网络信息化时代的到来,在线招聘作为一种新的招聘形式迅速崛起,并很快得到了多数招聘会者和用人单位的支持和应用。在线招聘的优势,首先体现在为招聘会者和用人单位之间提供一个相互交流沟通的平台。在线招聘的兴起也是的招聘会和招聘的观念和方式较之以往发生了很大的变化。伴随着互联网的快速发展,中国网民数量的迅速增长,在线招聘的用户数量也随之增加。
前程无忧、中华英才和智联招聘被称为中国网络招聘三巨头。数据显示,这三大招聘网站的市场营收份额达61.6%。其他行业型、搜索型、社交型等网站数量及营收规模虽有所增加,但是短期内很难撼动这三巨头的网络招聘地位。
招聘企业的信息发布、品牌宣传、简历筛选、人员初试安排等需求,决定了细分招聘网站将是未来的发展趋势。
相比国外就业系统,其专业化营销和电话销售、个性简历的模板化处理、行业细分、地址簿的充分利用,本土化服务等等差距很大,国外通过这种专业化、本土化服务能够提供客户满意的增值服务,像Monster,其个人会员的收入甚至占到了总收入的三分之一,而国内的在线招聘公司完全可以从现有规模中挖掘潜力。
未来可以预见的是,在线招聘将会进一步细分,超越同质化竞争的一个有力武器就是找到细分市场做专业化服务。地方和行业这样细分的在线招聘公司将会有更大的机会,它们能够更加贴近用户,提供本土化服务。
论文将分层次经行编排,除去论文摘要、目录、致谢、文献参考部分,正文部分还会对网站需求做出分析,以及阐述大体的设计和实现的功能,最后罗列部分调测记录,论文主要架构如下:
第1章 交代了项目的背景以及开发的实际目的。
第2章 对本系统的所采用的开发技术和环境进行介绍。
第3章 阐述了系统分析部分,包括系统总体需求描述、功能性角度分析系统需求、非功能性等各个方面分析系统是否可以实现。
第4章 阐明了系统的具体实现,介绍系统的各个模块的具体实现。
第5章 罗列了部分系统调试与测试的记录。
第6章 对系统进行了认真的总结,以此对未来有一个新的展望。
高校大学生就业管理信息系统通过B/S架构进行实现,基于浏览器和服务器方式进行开发的系统架构,只有把应用程序部署到服务器端,客户端才可以借助导航网址进行系统访问[1]。
基于Java技术开发的B/S架构系统,需要借助Tomcat服务器应用程序进行部署运行。用户访问系统的时候,通过浏览器向应用程序服务器端发起访问请求,服务器端的程序在接到用户请求以后,服务器端应用程序对客户请求做出相应,在调用服务器端的业务逻辑程序完成和数据库端的交互,进一步生成相应的HTML/XML数据,最终把结果反馈给浏览器端用户[3]。
在该系统的开发中,开发模式采用B/S架构技术进行实现,通过部署服务器端应用程序,实现用户通过网站域名或者内网IP地址访问系统,实现系统中数据的动态化呈现和管理,加之页面效果的动态化呈现,不仅提升了页面的表现力,而且管理者可以随时更新系统中的各种信息,充分满足管理者和访问用户之间的信息交互[4]。
无论是在个人学习中还是在企业办公中,MySQL数据库一直都是一种具有强大扩展性,强大功能的数据信息管理工具和处理工具[5]。由于MySQL数据库的存在,将Windows系统所拥有的优点展现的淋漓尽致,而且能够对Win进行图形化的管理,使得使用者在操作系统的过程中对项目能够做到一目了然;而其强大的储存功能更是为系统工程运作提供了保障。MySQL不仅仅是一种优秀的数据信息处理工具,更是一个拥有独立的,完整的数据库语言的管理平台[6]。
-
- Java语言
Java是一种面向对象的程序设计语言,类是Java程序的基本组成单元,类中又包含了属性和方法,在类中又可以创建无数个对象。类中包含的主要成员是字段和方法,字段是指一种数据变量,方法是指对字段进行操作的集合,包括给其他变量赋值、调用方法等[7]。
Spring框架是Java平台上的一种开源应用框架[8],提供具有控制反转特性的容器。尽管Spring框架自身对编程模型没有限制,但其在Java应用中的频繁使用让它备受青睐,以至于后来让它作为EJB(EnterpriseJavaBeans)模型的补充,甚至是替补。Spring框架为开发提供了一系列的解决方案,比如利用控制反转的核心特性,并通过依赖注入实现控制反转来实现管理对象生命周期容器化,利用面向切面编程进行声明式的事务管理,整合多种持久化技术管理数据访问,提供大量优秀的Web框架方便开发等等。Spring框架具有控制反转(IOC)特性,IOC旨在方便项目维护和测试,它提供了一种通过Java的反射机制对Java对象进行统一的配置和管理的方法。Spring框架利用容器管理对象的生命周期,容器可以通过扫描XML文件或类上特定Java注解来配置对象,开发者可以通过依赖查找或依赖注入来获得对象。Spring框架具有面向切面编程(AOP)框架,SpringAOP框架基于代理模式,同时运行时可配置;AOP框架主要针对模块之间的交叉关注点进行模块化。Spring框架的AOP框架仅提供基本的AOP特性,虽无法与AspectJ框架相比,但通过与AspectJ的集成,也可以满足基本需求[9]。
Tomcat是Apache下的一个核心项目,最新的Servlet 和JSP 规范总是能在其中得到体现。本系统是采用Tomcat6来开发的,目前来说广大编程员都喜欢使用它,所以说现在Tomcat是比较流行的免费的开源Web 应用服务器。它不仅拥有底层技术先进、开发性能稳定、运行时所占系统资源又很小、扩展性好等系统常用的功能;而且它的底层代码是面向所有开发人员的就好像现在的Linux系统一样,编程人员可以自由地往其中加入新的功能,从而促使Tomcat一直处在不断完善和改进的过程中[10]。
在软件开发的过程中,可行性分析是至关重要的,它旨在评估问题的可行性,以便尽可能快地解决,同时也要考虑到不同的解决方案的优势和劣势,以及实施这些方案所带来的经济效益。通过对高校大学生就业管理信息系统的可行性分析,我们可以从技术、操作和经济三个方面来评估其可行性,从而为其提供有效的支持和保障。
所谓技术可行性,是指能否在有限的时间内实现预定的功能。在开发和设计中是否有未解决的问题。完成的项目能否很好地应用,如果有任何不足之处,后期的维护是否会有较大的困难。经过对该系统的评估,确定现有的技术可以达到目标。通过使用Java技术来创建动态的页面,采取低耦合的架构,搭载灵活的数据库,以及强劲的服务器,我们能够显著地改善系统的性能。这表明,我们不仅要追求理论上的目标,还要在实践中不断探索。
高校大学生就业管理信息系统采用Java和MySQL技术,这样可以有效地降低软硬件的开发与维护费用,同时又能够让用户更加轻松地访问网站,从而提高服务质量。此外,该网站的推出,可以有效地降低运营者的劳动强度,为企业带来更多的经济效益。虽然就业西悉尼系统的构建并非特别困难,但由于它的投入相比较少,而且能够带来更高的效率,因此,我们认为这个系统的建立具有很强的可持续性,而且能够带来更高的经济效益,而且比起日常的维护与管理更具有价值。
高校大学生就业管理信息系统的前台页面简洁易懂,无论是系统管理员还是学生用户,只要电脑连接到网络,就可以轻松访问网站,而且不需要任何操作指导,只要输入正确的URL地址,就可以轻松完成所有的操作。由于无需任何复杂的环境配置,这个系统非常简单,易于操作,因此它是一个非常实用的工具。
高校大学生就业管理信息系统我划分为了学生用户模块和管理员模块这两大部分。
学生用户管理模块:
(1)用户注册登录:游客可以随时进入到系统中,对系统中的信息浏览,但是想要实现投递简历、填写问卷等操作,就必须有这个系统的账号,如果没有账号的话,可以注册用户进行相关的操作,同时用户还可以通过“我的”这个按钮对个人信息以及操作的信息进行管控。
(2)查看高校大学生就业管理信息系统的前台首页信息:高校大学生就业管理信息系统的首页信息包含了首页、通知公告、新闻资讯、留言信息、就业之星、就业指导、就业信息、招聘信息、调查问卷、我的账户、个人中心等。
(3)通知公告:当用户点击“通知公告”这一菜单按钮,会显示管理员在后台发布的所有的通知公告,可以查看详情。
(4)新闻资讯:用户点击“新闻资讯”这一菜单按钮,会显示管理员在后台发布的所有新闻资讯信息等。
(5)留言信息:用户点击“留言信息”菜单显示所有的留言信息,可以按照分类查看帖子信息,或者输入关键词进行局部搜索,点击可以进入帖子的详细展示界面,在此界面用户可以点赞、收藏、评论,也可以点击“发布内容”输入帖子信息进行发帖。
(6)就业之星:用户点击就业之星菜单可以查看所有的毕业生就业的状态详情。支持通过标题名称进行查询,在查询到自己想要了解的就业之星信息的时候,可以进入查看详细的介绍,在就业之星详情这个界面,同时支持用户对喜欢的就业之星进行点赞、收藏以及评论的功能。
(7)就业指导:用户点击就业指导菜单可以查看所有的就业指导的状态详情。支持通过指导标题、发布标题进行查询,在查询到自己想要了解的就业指导信息的时候,可以进入查看详细的介绍,在就业指导详情这个界面,同时支持用户对喜欢的就业指导进行点赞、收藏以及评论的功能。
(8)就业信息:用户点击就业信息菜单可以直接通过输入登记类型、学生姓名、
学生学号、从事行业、备注信息、学生用户、学生性别、学生电话等进行就业信息登记提交,同时支持用户对喜欢的就业指导进行点赞、收藏以及评论的功能。
(9)招聘信息:用户点击招聘信息菜单可以查看所有的招聘信息的状态详情。支持通过招聘标题、招聘职位进行查询,在查询到自己想要了解的招聘信息信息的时候,可以进入查看详细的介绍,在招聘信息详情这个界面,同时支持用户对喜欢的招聘信息进行点赞、收藏、通过填写相关资料提交投递简历、以及评论的功能。
(10)调查问卷:用户点击调查问卷菜单可以直接通过输入学生用户、学生姓名、学生性别、学生学号、学生电话、从事行业、满意度、内容描述完成问卷调查的填写并提交。同时支持用户对喜欢的问卷调查进行点赞、收藏以及评论的功能。
(11)我的账户:在前台点击“我的”下面的“我的账户”可以对个人资料+密码修改进行管控。
(12)个人中心:学生用户点击右上角的“用户名”,然后点击“个人中心”可查看个人首页、就业信息、投递记录、调查问卷和自己收藏的信息并对其进行管理。
管理员管理模块:系统用户、就业之星管理、就业指导管理、就业信息管理、招聘信息管理、投递记录管理、调查问卷管理、系统管理、 留言管理、通知公告管理、资源管理等。
(1)登录:管理员在后台可以输入用户名+密码进行登录,管理员的用户名和密码是在数据库中直接设定好的。
(2)系统用户:管理员可以对高校大学生就业管理信息系统中的管理员、学生用户进行增删改查。
(3)就业之星管理:管理员点击“就业之星管理”会显示出所有的就业之星信息,支持标题名称对就业之星信息进行查询,如果想要添加新的就业之星信息,点击“添加”按钮,输入详细信息,点击“提交”按钮就可以添加了,同时可以选择某一条就业之星信息,点击“删除”进行删除。
(4)就业指导管理:管理员点击“就业指导管理”会显示出所有的就业指导信息,支持指导标题 、发布标签对就业指导信息进行查询,如果想要添加新的就业指导信息,点击“添加”按钮,输入详细信息,点击“提交”按钮就可以添加了,同时可以选择某一条就业指导信息,点击“删除”进行删除。
(5)就业信息管理:管理员点击“就业信息管理”会显示出所有的就业信息信息,支持类型登记 、学生姓名对就业信息信息进行查询,如果想要添加新的就业信息信息,点击“添加”按钮,输入详细信息,点击“提交”按钮就可以添加了,同时可以选择某一条就业信息信息,点击“删除”进行删除。
(6)招聘信息管理:管理员点击“招聘信息管理”会显示出所有的招聘信息信息,支持招聘标题 、招聘职位对招聘信息信息进行查询,如果想要添加新的招聘信息信息,点击“添加”按钮,输入详细信息,点击“提交”按钮就可以添加了,同时可以选择某一条招聘信息信息,点击“删除”进行删除。
(7)投递记录管理:管理员点击“投递记录管理”会显示出系统所有的投递记录信息,支持增删改查。
(8)问卷调查管理:管理员点击“问卷调查管理”会显示出系统所有的问卷调查信息,支持增删改查。
(9)系统管理:管理员点击“系统管理”菜单可以对首页展示的轮播图进行管理。
(10)留言管理:管理员点击“留言管理”会显示出系统所有的留言管理信息,支持回复、增删改查。
(11)通知公告管理:管理员点击“通知公告管理”菜单可以查看到系统中的所有通知公告信息,对已经存在的通知公告,管理员可以修改,也可以添加新的通知公告或者删除通知公告。
(12)资源管理:管理员可以对系统前台展示的新闻资讯以及资讯分类进行管控。
高校大学生就业管理信息系统的非功能性需求,比如高校大学生就业管理信息系统的安全性怎么样,可靠性怎么样,性能怎么样,可拓展性怎么样等。具体可以表示在如3-1表格中:
表3-1高校大学生就业管理信息系统非功能需求表
| 安全性 | 主要指高校大学生就业管理信息系统数据库的安装,数据库的使用和密码的设定必须合乎规范。 |
| 可靠性 | 可靠性是指高校大学生就业管理信息系统能够按照用户提交的指示进行操作,经过测试,可靠性90%以上。 |
| 性能 | 性能是影响高校大学生就业管理信息系统占据市场的必要条件,所以性能最好要佳才好。 |
| 可扩展性 | 比如数据库预留多个属性,比如接口的使用等确保了系统的非功能性需求。 |
| 易用性 | 用户只要跟着高校大学生就业管理信息系统的页面展示内容进行操作,就可以了。 |
| 可维护性 | 高校大学生就业管理信息系统开发的可维护性是非常重要的,经过测试,可维护性没有问题。 |
高校大学生就业管理信息系统的完整UML用例图分别是图3-1、图3-2、图3-3和图3-4。
图3-1就是学生用户角色的用例展示。

图3-1 高校大学生就业管理信息系统学生用户角色用例图
图3-2就是管理员角色的用例展示。

图3-2高校大学生就业管理信息系统管理员角色用例图
管理员权限下的工作流程主要为:管理员通过系统界面提供登录按钮并点击,转入管理员登录界面,并在界面上填入相应的管理员账户和管理员密码,进入管理员权限下的后台系统,并且在系统左侧导航条设置了相应的操作功能。
用户权限下的工作流程主要为:用户通过管理员添加的登录信息功能,在登录界面进行个人身份验证,并且进入用户的个人后台界面,并进行相应的操作。
高校大学生就业管理信息系统的业务流程如下图所示。

图3-3系统业务流程图
在上一章节中主要对系统的功能性需求和非功能性需求进行分析,并且根据需求分析了本高校大学生就业管理信息系统中的用例。那么接下来就要开始对本高校大学生就业管理信息系统的架构、主要功能和数据库开始进行设计。高校大学生就业管理信息系统根据前面章节的需求分析得出,其总体设计模块图如图4-1所示。
图4-1 系统功能结构图
借助目前的UML建模软件,ER图使其他用户可以快速轻松地了解系统的功能以及他们之间的关系。根据就业信息的系统分析结果,结合系统的功能模块设计,设计出符合系统的各信息实体。
系统的主要实体间关系E-R图如下图所示。

图4-2 系统E-R图
数据库是高校大学生就业管理信息系统的数据处理的基础,也是为界面数据的展示与存储的关键。高校大学生就业管理信息系统的数据库表如下。
| 编号 | 名称 | 数据类型 | 长度 | 小数位 | 允许空值 | 主键 | 默认值 | 说明 |
| 1 | token_id | int | 10 | 0 | N | Y | 临时访问牌ID | |
| 2 | token | varchar | 64 | 0 | Y | N | 临时访问牌 | |
| 3 | info | text | 65535 | 0 | Y | N | ||
| 4 | maxage | int | 10 | 0 | N | N | 2 | 最大寿命:默认2小时 |
| 5 | create_time | timestamp | 19 | 0 | N | N | CURRENT_TIMESTAMP | 创建时间: |
| 6 | update_time | timestamp | 19 | 0 | N | N | CURRENT_TIMESTAMP | 更新时间: |
| 7 | user_id | int | 10 | 0 | N | N | 0 | 用户编号: |
| 编号 | 名称 | 数据类型 | 长度 | 小数位 | 允许空值 | 主键 | 默认值 | 说明 |
| 1 | article_id | mediumint | 8 | 0 | N | Y | 文章id:[0,8388607] | |
| 2 | title | varchar | 125 | 0 | N | Y | 标题:[0,125]用于文章和html的title标签中 | |
| 3 | type | varchar | 64 | 0 | N | N | 0 | 文章分类:[0,1000]用来搜索指定类型的文章 |
| 4 | hits | int | 10 | 0 | N | N | 0 | 点击数:[0,1000000000]访问这篇文章的人次 |
| 5 | praise_len | int | 10 | 0 | N | N | 0 | 点赞数 |
| 6 | create_time | timestamp | 19 | 0 | N | N | CURRENT_TIMESTAMP | 创建时间: |
| 7 | update_time | timestamp | 19 | 0 | N | N | CURRENT_TIMESTAMP | 更新时间: |
| 8 | source | varchar | 255 | 0 | Y | N | 来源:[0,255]文章的出处 | |
| 9 | url | varchar | 255 | 0 | Y | N | 来源地址:[0,255]用于跳转到发布该文章的网站 | |
| 10 | tag | varchar | 255 | 0 | Y | N | 标签:[0,255]用于标注文章所属相关内容,多个标签用空格隔开 | |
| 11 | content | longtext | 2147483647 | 0 | Y | N | 正文:文章的主体内容 | |
| 12 | img | varchar | 255 | 0 | Y | N | 封面图 | |
| 13 | description | text | 65535 | 0 | Y | N | 文章描述 |
| 编号 | 名称 | 数据类型 | 长度 | 小数位 | 允许空值 | 主键 | 默认值 | 说明 |
| 1 | type_id | smallint | 5 | 0 | N | Y | 分类ID:[0,10000] | |
| 2 | display | smallint | 5 | 0 | N | N | 100 | 显示顺序:[0,1000]决定分类显示的先后顺序 |
| 3 | name | varchar | 16 | 0 | N | N | 分类名称:[2,16] | |
| 4 | father_id | smallint | 5 | 0 | N | N | 0 | 上级分类ID:[0,32767] |
| 5 | description | varchar | 255 | 0 | Y | N | 描述:[0,255]描述该分类的作用 | |
| 6 | icon | text | 65535 | 0 | Y | N | 分类图标: | |
| 7 | url | varchar | 255 | 0 | Y | N | 外链地址:[0,255]如果该分类是跳转到其他网站的情况下,就在该URL上设置 | |
| 8 | create_time | timestamp | 19 | 0 | N | N | CURRENT_TIMESTAMP | 创建时间: |
| 9 | update_time | timestamp | 19 | 0 | N | N | CURRENT_TIMESTAMP | 更新时间: |
| 编号 | 名称 | 数据类型 | 长度 | 小数位 | 允许空值 | 主键 | 默认值 | 说明 |
| 1 | auth_id | int | 10 | 0 | N | Y | 授权ID: | |
| 2 | user_group | varchar | 64 | 0 | Y | N | 用户组: | |
| 3 | mod_name | varchar | 64 | 0 | Y | N | 模块名: | |
| 4 | table_name | varchar | 64 | 0 | Y | N | 表名: | |
| 5 | page_title | varchar | 255 | 0 | Y | N | 页面标题: | |
| 6 | path | varchar | 255 | 0 | Y | N | 路由路径: | |
| 7 | position | varchar | 32 | 0 | Y | N | 位置: | |
| 8 | mode | varchar | 32 | 0 | N | N | _blank | 跳转方式: |
| 9 | add | tinyint | 3 | 0 | N | N | 1 | 是否可增加: |
| 10 | del | tinyint | 3 | 0 | N | N | 1 | 是否可删除: |
| 11 | set | tinyint | 3 | 0 | N | N | 1 | 是否可修改: |
| 12 | get | tinyint | 3 | 0 | N | N | 1 | 是否可查看: |
| 13 | field_add | text | 65535 | 0 | Y | N | 添加字段: | |
| 14 | field_set | text | 65535 | 0 | Y | N | 修改字段: | |
| 15 | field_get | text | 65535 | 0 | Y | N | 查询字段: | |
| 16 | table_nav_name | varchar | 500 | 0 | Y | N | 跨表导航名称: | |
| 17 | table_nav | varchar | 500 | 0 | Y | N | 跨表导航: | |
| 18 | option | text | 65535 | 0 | Y | N | 配置: | |
| 19 | create_time | timestamp | 19 | 0 | N | N | CURRENT_TIMESTAMP | 创建时间: |
| 20 | update_time | timestamp | 19 | 0 | N | N | CURRENT_TIMESTAMP | 更新时间: |
| 编号 | 名称 | 数据类型 | 长度 | 小数位 | 允许空值 | 主键 | 默认值 | 说明 |
| 1 | collect_id | int | 10 | 0 | N | Y | 收藏ID: | |
| 2 | user_id | int | 10 | 0 | N | N | 0 | 收藏人ID: |
| 3 | source_table | varchar | 255 | 0 | Y | N | 来源表: | |
| 4 | source_field | varchar | 255 | 0 | Y | N | 来源字段: | |
| 5 | source_id | int | 10 | 0 | N | N | 0 | 来源ID: |
| 6 | title | varchar | 255 | 0 | Y | N | 标题: | |
| 7 | img | varchar | 255 | 0 | Y | N | 封面: | |
| 8 | create_time | timestamp | 19 | 0 | N | N | CURRENT_TIMESTAMP | 创建时间: |
| 9 | update_time | timestamp | 19 | 0 | N | N | CURRENT_TIMESTAMP | 更新时间: |
| 编号 | 名称 | 数据类型 | 长度 | 小数位 | 允许空值 | 主键 | 默认值 | 说明 |
| 1 | comment_id | int | 10 | 0 | N | Y | 评论ID: | |
| 2 | user_id | int | 10 | 0 | N | N | 0 | 评论人ID: |
| 3 | reply_to_id | int | 10 | 0 | N | N | 0 | 回复评论ID:空为0 |
| 4 | content | longtext | 2147483647 | 0 | Y | N | 内容: | |
| 5 | nickname | varchar | 255 | 0 | Y | N | 昵称: | |
| 6 | avatar | varchar | 255 | 0 | Y | N | 头像地址:[0,255] | |
| 7 | create_time | timestamp | 19 | 0 | N | N | CURRENT_TIMESTAMP | 创建时间: |
| 8 | update_time | timestamp | 19 | 0 | N | N | CURRENT_TIMESTAMP | 更新时间: |
| 9 | source_table | varchar | 255 | 0 | Y | N | 来源表: | |
| 10 | source_field | varchar | 255 | 0 | Y | N | 来源字段: | |
| 11 | source_id | int | 10 | 0 | N | N | 0 | 来源ID: |
| 编号 | 名称 | 数据类型 | 长度 | 小数位 | 允许空值 | 主键 | 默认值 | 说明 |
| 1 | delivery_records_id | int | 10 | 0 | N | Y | 投递记录ID | |
| 2 | recruitment_title | varchar | 64 | 0 | Y | N | 招聘标题 | |
| 3 | recruitment_positions | varchar | 64 | 0 | Y | N | 招聘职位 | |
| 4 | job_requirements | varchar | 64 | 0 | Y | N | 职位要求 | |
| 5 | salary_and_benefits | varchar | 64 | 0 | Y | N | 薪资待遇 | |
| 6 | work_location | varchar | 64 | 0 | Y | N | 上班地点 | |
| 7 | student_users | int | 10 | 0 | Y | N | 0 | 学生用户 |
| 8 | student_name | varchar | 64 | 0 | Y | N | 学生姓名 | |
| 9 | student_phone_number | varchar | 64 | 0 | Y | N | 学生电话 | |
| 10 | resume_file | varchar | 255 | 0 | Y | N | 简历文件 | |
| 11 | delivery_content | text | 65535 | 0 | Y | N | 投递内容 | |
| 12 | examine_state | varchar | 16 | 0 | N | N | 未审核 | 审核状态 |
| 13 | examine_reply | varchar | 16 | 0 | Y | N | 审核回复 | |
| 14 | create_time | datetime | 19 | 0 | N | N | CURRENT_TIMESTAMP | 创建时间 |
| 15 | update_time | timestamp | 19 | 0 | N | N | CURRENT_TIMESTAMP | 更新时间 |
| 编号 | 名称 | 数据类型 | 长度 | 小数位 | 允许空值 | 主键 | 默认值 | 说明 |
| 1 | employment_guidance_id | int | 10 | 0 | N | Y | 就业指导ID | |
| 2 | guidance_title | varchar | 64 | 0 | Y | N | 指导标题 | |
| 3 | publish_tags | varchar | 64 | 0 | Y | N | 发布标签 | |
| 4 | release_date | date | 10 | 0 | Y | N | 发布日期 | |
| 5 | cover_photo | varchar | 255 | 0 | Y | N | 封面图片 | |
| 6 | content_details | longtext | 2147483647 | 0 | Y | N | 内容详情 | |
| 7 | praise_len | int | 10 | 0 | N | N | 0 | 点赞数 |
| 8 | create_time | datetime | 19 | 0 | N | N | CURRENT_TIMESTAMP | 创建时间 |
| 9 | update_time | timestamp | 19 | 0 | N | N | CURRENT_TIMESTAMP | 更新时间 |
表employment_information (就业信息)
| 编号 | 名称 | 数据类型 | 长度 | 小数位 | 允许空值 | 主键 | 默认值 | 说明 |
| 1 | employment_information_id | int | 10 | 0 | N | Y | 就业信息ID | |
| 2 | registration_type | varchar | 64 | 0 | Y | N | 登记类型 | |
| 3 | student_users | int | 10 | 0 | Y | N | 0 | 学生用户 |
| 4 | student_name | varchar | 64 | 0 | Y | N | 学生姓名 | |
| 5 | student_gender | varchar | 64 | 0 | Y | N | 学生性别 | |
| 6 | student_id | varchar | 64 | 0 | Y | N | 学生学号 | |
| 7 | student_phone_number | varchar | 64 | 0 | Y | N | 学生电话 | |
| 8 | unit_name | varchar | 64 | 0 | Y | N | 单位名称 | |
| 9 | unit_location | varchar | 64 | 0 | Y | N | 单位地点 | |
| 10 | unit_nature | varchar | 64 | 0 | Y | N | 单位性质 | |
| 11 | student_education | varchar | 64 | 0 | Y | N | 学生学历 | |
| 12 | student_email | varchar | 64 | 0 | Y | N | 学生邮箱 | |
| 13 | engaged_in_industry | varchar | 64 | 0 | Y | N | 从事行业 | |
| 14 | salary_and_benefits | varchar | 64 | 0 | Y | N | 薪资待遇 | |
| 15 | remarks | text | 65535 | 0 | Y | N | 备注信息 | |
| 16 | create_time | datetime | 19 | 0 | N | N | CURRENT_TIMESTAMP | 创建时间 |
| 17 | update_time | timestamp | 19 | 0 | N | N | CURRENT_TIMESTAMP | 更新时间 |
| 编号 | 名称 | 数据类型 | 长度 | 小数位 | 允许空值 | 主键 | 默认值 | 说明 |
| 1 | employment_star_id | int | 10 | 0 | N | Y | 就业之星ID | |
| 2 | title_name | varchar | 64 | 0 | Y | N | 标题名称 | |
| 3 | release_date | date | 10 | 0 | Y | N | 发布日期 | |
| 4 | graduation_year | varchar | 64 | 0 | Y | N | 毕业年份 | |
| 5 | cover_photo | varchar | 255 | 0 | Y | N | 封面图片 | |
| 6 | content_details | longtext | 2147483647 | 0 | Y | N | 内容详情 | |
| 7 | praise_len | int | 10 | 0 | N | N | 0 | 点赞数 |
| 8 | create_time | datetime | 19 | 0 | N | N | CURRENT_TIMESTAMP | 创建时间 |
| 9 | update_time | timestamp | 19 | 0 | N | N | CURRENT_TIMESTAMP | 更新时间 |
| 编号 | 名称 | 数据类型 | 长度 | 小数位 | 允许空值 | 主键 | 默认值 | 说明 |
| 1 | hits_id | int | 10 | 0 | N | Y | 点赞ID: | |
| 2 | user_id | int | 10 | 0 | N | N | 0 | 点赞人: |
| 3 | create_time | timestamp | 19 | 0 | N | N | CURRENT_TIMESTAMP | 创建时间: |
| 4 | update_time | timestamp | 19 | 0 | N | N | CURRENT_TIMESTAMP | 更新时间: |
| 5 | source_table | varchar | 255 | 0 | Y | N | 来源表: | |
| 6 | source_field | varchar | 255 | 0 | Y | N | 来源字段: | |
| 7 | source_id | int | 10 | 0 | N | N | 0 | 来源ID: |
| 编号 | 名称 | 数据类型 | 长度 | 小数位 | 允许空值 | 主键 | 默认值 | 说明 |
| 1 | message_id | int | 10 | 0 | N | Y | 留言板ID: | |
| 2 | user_id | int | 10 | 0 | N | N | 0 | 用户ID: |
| 3 | title | varchar | 64 | 0 | Y | N | 标题: | |
| 4 | content | longtext | 2147483647 | 0 | N | N | 内容: | |
| 5 | nickname | varchar | 32 | 0 | N | N | 昵称: | |
| 6 | avatar | varchar | 255 | 0 | Y | N | 头像: | |
| 7 | | varchar | 125 | 0 | Y | N | 留言者邮箱 | |
| 8 | phone | varchar | 11 | 0 | Y | N | 留言者手机号码 | |
| 9 | create_time | timestamp | 19 | 0 | N | N | CURRENT_TIMESTAMP | 创建时间: |
| 10 | update_time | timestamp | 19 | 0 | N | N | CURRENT_TIMESTAMP | 更新时间: |
| 11 | reply | longtext | 2147483647 | 0 | Y | N | 回复 | |
| 12 | reply_state | tinyint | 4 | 0 | Y | N | 0 | 回复状态 |
| 编号 | 名称 | 数据类型 | 长度 | 小数位 | 允许空值 | 主键 | 默认值 | 说明 |
| 1 | notice_id | mediumint | 8 | 0 | N | Y | 公告id: | |
| 2 | title | varchar | 125 | 0 | N | N | 标题: | |
| 3 | content | longtext | 2147483647 | 0 | Y | N | 正文: | |
| 4 | create_time | timestamp | 19 | 0 | N | N | CURRENT_TIMESTAMP | 创建时间: |
| 5 | update_time | timestamp | 19 | 0 | N | N | CURRENT_TIMESTAMP | 更新时间: |
| 编号 | 名称 | 数据类型 | 长度 | 小数位 | 允许空值 | 主键 | 默认值 | 说明 |
| 1 | praise_id | int | 10 | 0 | N | Y | 点赞ID: | |
| 2 | user_id | int | 10 | 0 | N | N | 0 | 点赞人: |
| 3 | create_time | timestamp | 19 | 0 | N | N | CURRENT_TIMESTAMP | 创建时间: |
| 4 | update_time | timestamp | 19 | 0 | N | N | CURRENT_TIMESTAMP | 更新时间: |
| 5 | source_table | varchar | 255 | 0 | Y | N | 来源表: | |
| 6 | source_field | varchar | 255 | 0 | Y | N | 来源字段: | |
| 7 | source_id | int | 10 | 0 | N | N | 0 | 来源ID: |
| 8 | status | bit | 1 | 0 | N | N | 1 | 点赞状态:1为点赞,0已取消 |
表recruitment_information (招聘信息)
| 编号 | 名称 | 数据类型 | 长度 | 小数位 | 允许空值 | 主键 | 默认值 | 说明 |
| 1 | recruitment_information_id | int | 10 | 0 | N | Y | 招聘信息ID | |
| 2 | recruitment_title | varchar | 64 | 0 | Y | N | 招聘标题 | |
| 3 | recruitment_positions | varchar | 64 | 0 | Y | N | 招聘职位 | |
| 4 | job_requirements | varchar | 64 | 0 | Y | N | 职位要求 | |
| 5 | salary_and_benefits | varchar | 64 | 0 | Y | N | 薪资待遇 | |
| 6 | work_location | varchar | 64 | 0 | Y | N | 上班地点 | |
| 7 | cover_photo | varchar | 255 | 0 | Y | N | 封面图片 | |
| 8 | content_details | longtext | 2147483647 | 0 | Y | N | 内容详情 | |
| 9 | hits | int | 10 | 0 | N | N | 0 | 点击数 |
| 10 | praise_len | int | 10 | 0 | N | N | 0 | 点赞数 |
| 11 | recommend | int | 10 | 0 | N | N | 0 | 智能推荐 |
| 12 | create_time | datetime | 19 | 0 | N | N | CURRENT_TIMESTAMP | 创建时间 |
| 13 | update_time | timestamp | 19 | 0 | N | N | CURRENT_TIMESTAMP | 更新时间 |
| 编号 | 名称 | 数据类型 | 长度 | 小数位 | 允许空值 | 主键 | 默认值 | 说明 |
| 1 | sensitive_vocabulary_id | int | 10 | 0 | N | Y | 敏感词汇ID | |
| 2 | sensitive_vocabulary | varchar | 64 | 0 | Y | N | 敏感词汇 | |
| 3 | create_time | datetime | 19 | 0 | N | N | CURRENT_TIMESTAMP | 创建时间 |
| 4 | update_time | timestamp | 19 | 0 | N | N | CURRENT_TIMESTAMP | 更新时间 |
| 编号 | 名称 | 数据类型 | 长度 | 小数位 | 允许空值 | 主键 | 默认值 | 说明 |
| 1 | slides_id | int | 10 | 0 | N | Y | 轮播图ID: | |
| 2 | title | varchar | 64 | 0 | Y | N | 标题: | |
| 3 | content | varchar | 255 | 0 | Y | N | 内容: | |
| 4 | url | varchar | 255 | 0 | Y | N | 链接: | |
| 5 | img | varchar | 255 | 0 | Y | N | 轮播图: | |
| 6 | hits | int | 10 | 0 | N | N | 0 | 点击量: |
| 7 | create_time | timestamp | 19 | 0 | N | N | CURRENT_TIMESTAMP | 创建时间: |
| 8 | update_time | timestamp | 19 | 0 | N | N | CURRENT_TIMESTAMP | 更新时间: |
| 编号 | 名称 | 数据类型 | 长度 | 小数位 | 允许空值 | 主键 | 默认值 | 说明 |
| 1 | student_users_id | int | 10 | 0 | N | Y | 学生用户ID | |
| 2 | student_name | varchar | 64 | 0 | Y | N | 学生姓名 | |
| 3 | student_gender | varchar | 64 | 0 | Y | N | 学生性别 | |
| 4 | student_id | varchar | 64 | 0 | N | N | 学生学号 | |
| 5 | student_phone_number | varchar | 16 | 0 | Y | N | 学生电话 | |
| 6 | examine_state | varchar | 16 | 0 | N | N | 已通过 | 审核状态 |
| 7 | user_id | int | 10 | 0 | N | N | 0 | 用户ID |
| 8 | create_time | datetime | 19 | 0 | N | N | CURRENT_TIMESTAMP | 创建时间 |
| 9 | update_time | timestamp | 19 | 0 | N | N | CURRENT_TIMESTAMP | 更新时间 |
| 编号 | 名称 | 数据类型 | 长度 | 小数位 | 允许空值 | 主键 | 默认值 | 说明 |
| 1 | survey_questionnaire_id | int | 10 | 0 | N | Y | 调查问卷ID | |
| 2 | student_users | int | 10 | 0 | Y | N | 0 | 学生用户 |
| 3 | student_name | varchar | 64 | 0 | Y | N | 学生姓名 | |
| 4 | student_gender | varchar | 64 | 0 | Y | N | 学生性别 | |
| 5 | student_id | varchar | 64 | 0 | Y | N | 学生学号 | |
| 6 | student_phone_number | varchar | 64 | 0 | Y | N | 学生电话 | |
| 7 | engaged_in_industry | varchar | 64 | 0 | Y | N | 从事行业 | |
| 8 | satisfaction | varchar | 64 | 0 | Y | N | 满意度 | |
| 9 | content_description | text | 65535 | 0 | Y | N | 内容描述 | |
| 10 | create_time | datetime | 19 | 0 | N | N | CURRENT_TIMESTAMP | 创建时间 |
| 11 | update_time | timestamp | 19 | 0 | N | N | CURRENT_TIMESTAMP | 更新时间 |
| 编号 | 名称 | 数据类型 | 长度 | 小数位 | 允许空值 | 主键 | 默认值 | 说明 |
| 1 | upload_id | int | 10 | 0 | N | Y | 上传ID | |
| 2 | name | varchar | 64 | 0 | Y | N | 文件名 | |
| 3 | path | varchar | 255 | 0 | Y | N | 访问路径 | |
| 4 | file | varchar | 255 | 0 | Y | N | 文件路径 | |
| 5 | display | varchar | 255 | 0 | Y | N | 显示顺序 | |
| 6 | father_id | int | 10 | 0 | Y | N | 0 | 父级ID |
| 7 | dir | varchar | 255 | 0 | Y | N | 文件夹 | |
| 8 | type | varchar | 32 | 0 | Y | N | 文件类型 |
| 编号 | 名称 | 数据类型 | 长度 | 小数位 | 允许空值 | 主键 | 默认值 | 说明 |
| 1 | user_id | mediumint | 8 | 0 | N | Y | 用户ID:[0,8388607]用户获取其他与用户相关的数据 | |
| 2 | state | smallint | 5 | 0 | N | N | 1 | 账户状态:[0,10](1可用|2异常|3已冻结|4已注销) |
| 3 | user_group | varchar | 32 | 0 | Y | N | 所在用户组:[0,32767]决定用户身份和权限 | |
| 4 | login_time | timestamp | 19 | 0 | N | N | CURRENT_TIMESTAMP | 上次登录时间: |
| 5 | phone | varchar | 11 | 0 | Y | N | 手机号码:[0,11]用户的手机号码,用于找回密码时或登录时 | |
| 6 | phone_state | smallint | 5 | 0 | N | N | 0 | 手机认证:[0,1](0未认证|1审核中|2已认证) |
| 7 | username | varchar | 16 | 0 | N | N | 用户名:[0,16]用户登录时所用的账户名称 | |
| 8 | nickname | varchar | 16 | 0 | Y | N | 昵称:[0,16] | |
| 9 | password | varchar | 64 | 0 | N | N | 密码:[0,32]用户登录所需的密码,由6-16位数字或英文组成 | |
| 10 | | varchar | 64 | 0 | Y | N | 邮箱:[0,64]用户的邮箱,用于找回密码时或登录时 | |
| 11 | email_state | smallint | 5 | 0 | N | N | 0 | 邮箱认证:[0,1](0未认证|1审核中|2已认证) |
| 12 | avatar | varchar | 255 | 0 | Y | N | 头像地址:[0,255] | |
| 13 | open_id | varchar | 255 | 0 | Y | N | 针对获取用户信息字段 | |
| 14 | create_time | timestamp | 19 | 0 | N | N | CURRENT_TIMESTAMP | 创建时间: |
| 15 | vip_level | varchar | 255 | 0 | Y | N | 会员等级 | |
| 16 | vip_discount | double | 11 | 2 | Y | N | 0.00 | 会员折扣 |
| 编号 | 名称 | 数据类型 | 长度 | 小数位 | 允许空值 | 主键 | 默认值 | 说明 |
| 1 | group_id | mediumint | 8 | 0 | N | Y | 用户组ID:[0,8388607] | |
| 2 | display | smallint | 5 | 0 | N | N | 100 | 显示顺序:[0,1000] |
| 3 | name | varchar | 16 | 0 | N | N | 名称:[0,16] | |
| 4 | description | varchar | 255 | 0 | Y | N | 描述:[0,255]描述该用户组的特点或权限范围 | |
| 5 | source_table | varchar | 255 | 0 | Y | N | 来源表: | |
| 6 | source_field | varchar | 255 | 0 | Y | N | 来源字段: | |
| 7 | source_id | int | 10 | 0 | N | N | 0 | 来源ID: |
| 8 | register | smallint | 5 | 0 | Y | N | 0 | 注册位置: |
| 9 | create_time | timestamp | 19 | 0 | N | N | CURRENT_TIMESTAMP | 创建时间: |
| 10 | update_time | timestamp | 19 | 0 | N | N | CURRENT_TIMESTAMP | 更新时间: |
首页主要分别展示各个模块的最新动态,浏览者可以很清楚地看到不同模块的最新更新内容。并且系统首页每个部分可以跳转到相对应的模块,方便浏览者选择感兴趣的地方。
前端首页载入流程图如下所示。

图5-1 首页载入流程
前端首页如下图所示。
图5-2 首页界面
在登录界面中输入用户名+密码,然后选择相应的角色,点击“登录”按钮,系统会在用户数据库表中匹配相应用户的帐户,如果用户名+密码正确,则会登录到系统中每个用户的主管理界面,否则会提示相应的信息,如果是忘记了密码,请返回登录界面。
用户登录流程图如下所示。

图5-3登录流程图
系统登录界面如下所示。
图5-4系统登录界面
登录的逻辑代码如下所示。
/**
* 登录
* @param data
* @param httpServletRequest
* @return
*/
@PostMapping("login")
public Map<String, Object> login(@RequestBody Map<String, String> data, HttpServletRequest httpServletRequest) {
log.info("[执行登录接口]");
String username = data.get("username");
String email = data.get("email");
String phone = data.get("phone");
String password = data.get("password");
List resultList = null;
Map<String, String> map = new HashMap<>();
if(username != null && "".equals(username) == false){
map.put("username", username);
resultList = service.select(map, new HashMap<>()).getResultList();
}
else if(email != null && "".equals(email) == false){
map.put("email", email);
resultList = service.select(map, new HashMap<>()).getResultList();
}
else if(phone != null && "".equals(phone) == false){
map.put("phone", phone);
resultList = service.select(map, new HashMap<>()).getResultList();
}else{
return error(30000, "账号或密码不能为空");
}
if (resultList == null || password == null) {
return error(30000, "账号或密码不能为空");
}
//判断是否有这个用户
if (resultList.size()<=0){
return error(30000,"用户不存在");
}
User byUsername = (User) resultList.get(0);
Map<String, String> groupMap = new HashMap<>();
groupMap.put("name",byUsername.getUserGroup());
List groupList = userGroupService.select(groupMap, new HashMap<>()).getResultList();
if (groupList.size()<1){
return error(30000,"用户组不存在");
}
UserGroup userGroup = (UserGroup) groupList.get(0);
//查询用户审核状态
if (!StringUtils.isEmpty(userGroup.getSourceTable())){
String sql = "select examine_state from "+ userGroup.getSourceTable() +" WHERE user_id = " + byUsername.getUserId();
String res = String.valueOf(service.runCountSql(sql).getSingleResult());
if (res==null){
return error(30000,"用户不存在");
}
if (!res.equals("已通过")){
return error(30000,"该用户审核未通过");
}
}
//查询用户状态
if (byUsername.getState()!=1){
return error(30000,"用户非可用状态,不能登录");
}
String md5password = service.encryption(password);
if (byUsername.getPassword().equals(md5password)) {
// 存储Token到数据库
AccessToken accessToken = new AccessToken();
accessToken.setToken(UUID.randomUUID().toString().replaceAll("-", ""));
accessToken.setUser_id(byUsername.getUserId());
tokenService.save(accessToken);
// 返回用户信息
JSONObject user = JSONObject.parseObject(JSONObject.toJSONString(byUsername));
user.put("token", accessToken.getToken());
JSONObject ret = new JSONObject();
ret.put("obj",user);
return success(ret);
} else {
return error(30000, "账号或密码不正确");
}
}
当您完成/注册操作,您就能够更新您的个人资料。您需要确保您的inputname值能够和您所属的实体类型的参数完全对应。当您更新您的个人资料时,您的账号密码应当保持完整,不能出现任何错误。您需要确保您的账号密码是唯一的,才能继续使用。
密码修改流程图如下所示。

图5-5密码修改流程图
密码修改界面如下所示。
图5-6密码修改界面
密码修改的逻辑代码如下所示。
/**
* 修改密码
* @param data
* @param request
* @return
*/
@PostMapping("change_password")
public Map<String, Object> change_password(@RequestBody Map<String, String> data, HttpServletRequest request){
// 根据Token获取UserId
String token = request.getHeader("x-auth-token");
Integer userId = tokenGetUserId(token);
// 根据UserId和旧密码获取用户
Map<String, String> query = new HashMap<>();
String o_password = data.get("o_password");
query.put("user_id" ,String.valueOf(userId));
query.put("password" ,service.encryption(o_password));
int count = service.selectBaseCount(service.count(query, service.readConfig(request)));
if(count > 0){
// 修改密码
Map<String,Object> form = new HashMap<>();
form.put("password",service.encryption(data.get("password")));
service.update(query,service.readConfig(request),form);
return success(1);
}
return error(10000,"密码修改失败!");
}
当前台学生用户点击高校大学生就业管理信息系统中导航栏上的“招聘信息”后将会进入到“招聘信息”列表的界面,然后选择想要查看的招聘信息,点击进入到详细界面,在详细界面可以查看包括招聘标题、招聘职位、职位要求、上班地点、薪资待遇等信息,学生用户可以进行投递简历、点赞、收藏、评论等操作,招聘信息详情界面如下图所示。
图5-7招聘信息详情界面
投递简历界面如下图所示。
图5-8投递简历界面
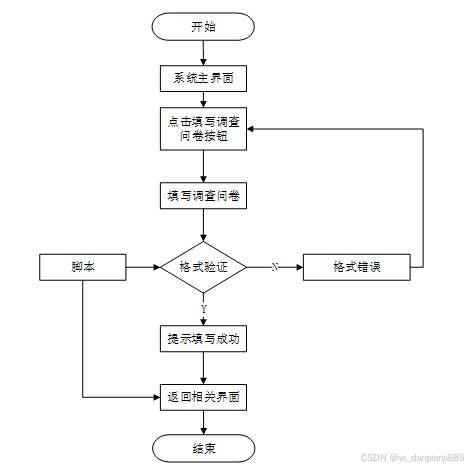
调查问卷填写功能整体流程:用户浏览问卷信息时,同时会显示调查问卷的状态,系统会在其显示详细信息的页面时便会判断调查问卷的状态,若调查问卷状态为可填写,则会显示填写的链接按钮。在用户点击填写按钮时,会先通过拦截器判断用户是否登录,若未登录,会跳转至登录页面,提示用户先登录,若为登录用户就会跳转至填写填写信息的页面,填写好填写信息之后,点击提交按钮,填写成功之后返回提示信息,告知用户填写成功。
调查问卷填写流程图如下图所示。

图5-9调查问卷填写流程图
调查问卷填写界面如下图所示。
图5-10调查问卷填写界面
前台用户点击右上角“个人中心”模块,可以查看和管理个人相关的信息和任务,包括个人首页、就业信息、投递信息、调查问卷和收藏功能模块。学生用户个人中心界面如下图所示。
图5-11学生用户个人中心界面
后台管理员在“系统用户”这一菜单中可以对学生用户和管理人员的账号信息进行添加管控。管理员系统用户管理界面如下图所示。
图5-12管理员系统用户管理界面
管理员点击“系统管理”菜单可以对系统的轮播图进行管理,查看到系统中的所有轮播图信息,对已经存在的轮播图,管理员可以修改,也可以发布新的轮播图信息。轮播图管理界面如下所示。
图5-13 轮播图管理界面
管理员点击“通知公告管理”菜单可以对系统的公告信息进行管理,查看到系统中的所有通知公告信息,对已经存在的通知公告,管理员可以修改,也可以发布新的通知公告信息。通知公告管理界面如下所示。
图5-14通知公告管理界面
管理员点击“资源管理”菜单能够对高校大学生就业管理信息系统内的新闻资讯及其资讯分类信息进行增删改查。资源管理界面如下所示。
图5-15资源管理界面
系统开发的最后一个步骤就是系统测试,系统测试也是整个系统十分重要的一个环节,测试的好坏关系到产品的发展。客户对软件的质量、性能和可靠性等需求就要通过测试来实现。测试过程要必须遵循严谨性、完善性、规范性的原则,测试的主要目的就是看看在系统运行中,是否会出现bug,然后对出现的bug进行调试,直到程序完美运行。但是软件的测试只能尽可能的减少bug,理论上来说是无法达到消除bug。但是bug越少,系统出错的几率就越低,用户使用起来也更方便、更安全。
系统测试包括:用户登录功能测试、留言信息展示查看功能测试、调查问卷填写、招聘信息搜索、密码修改功能测试,如表6-1、6-2、6-3、6-4、6-5所示:
用户登录功能测试:
表6-1 用户登录功能测试表
| 用例名称 | 用户登录系统 |
| 目的 | 测试用户通过正确的用户名和密码可否登录功能 |
| 前提 | 未登录的情况下 |
| 测试流程 | 1) 进入登录页面 2) 输入正确的用户名和密码 |
| 预期结果 | 用户名和密码正确的时候,跳转到登录成功界面,反之则显示错误信息,提示重新输入 |
| 实际结果 | 实际结果与预期结果一致 |
留言信息查看功能测试:
表6-2 留言信息查看功能测试表
| 用例名称 | 留言信息查看 |
| 目的 | 测试留言信息查看功能 |
| 前提 | 用户登录 |
| 测试流程 | 点击留言信息列表 |
| 预期结果 | 可以查看到所有留言信息信息 |
| 实际结果 | 实际结果与预期结果一致 |
调查问卷信息界面测试:
表6-3 调查问卷信息界面测试表
| 用例名称 | 填写调查问卷信息测试用例 |
| 目的 | 测试调查问卷信息填写功能 |
| 前提 | 用户正常登录情况下 |
| 测试流程 | 1)用户点击问卷信息管理,然后点击调查问卷后并填写信息。 2)点击进行提交。 |
| 预期结果 | 提交以后,页面首页会显示新的调查问卷信息 |
| 实际结果 | 实际结果与预期结果一致 |
招聘信息搜索功能测试:
表6-4招聘信息搜索功能测试表
| 用例名称 | 招聘信息搜索测试 |
| 目的 | 测试招聘信息搜索功能 |
| 前提 | 无 |
| 测试流程 | 1)在搜索框填入搜索关键字。 2)点击搜索按钮。 |
| 预期结果 | 页面显示包含有搜索关键字的招聘信息 |
| 实际结果 | 实际结果与预期结果一致 |
密码修改搜索功能测试:
表6-5 密码修改功能测试表
| 用例名称 | 密码修改测试用例 |
| 目的 | 测试管理员密码修改功能 |
| 前提 | 管理员用户正常登录情况下 |
| 测试流程 | 1)管理员密码修改并完成填写。 2)点击进行提交。 |
| 预期结果 | 使用新的密码可以登录 |
| 实际结果 | 实际结果与预期结果一致 |
通过编写高校大学生就业管理信息系统的测试用例,已经检测完毕用户登录功能测试、留言信息展示查看功能测试、调查问卷填写、招聘信息搜索、密码修改功能测试,通过这5大模块为高校大学生就业管理信息系统的后期推广运营提供了强力的技术支撑。
本文描述了高校大学生就业管理信息系统设计与实现的原理和开发过程,该系统是通过SpringBoot框架来搭建系统后台的开发,中间件使用的是Tomcat服务器,配合Java开发语言数据库管理平台采用开源的MySQL,配合HTML页面展示技术。
在开发前做了许多的准备,在本系统的设计和开发过程中阅览和学习了许多文献资料,从开发这个高校大学生就业管理信息系统的过程中我也收获了许许多多宝贵的方法以及设计思路,对系统的开发也起到了很重要的作用,系统的开发技术选用的都是自己比较熟悉的,比如Web、Java、SpringBoot、MySQL,这些技术都是在以前的学习中学到了,其中许多的设计思路和方法都是在以前不断地学习中摸索出来的经验,其实对于我们来说工作量还是比较大的,但是正是由于之前的积累与准备,才能顺利的完成这个项目,由此看来,积累经验跟做好准备是十分重要的事情。
当然在该系统的设计与实现的过程中也离不开老师以及同学们的帮助,正是因为他们的指导与帮助,我才能够成功的在预期内完成了这个系统。同时在这个过程当中我也收获了很多东西,此系统也有需要改进的地方,但是由于专业知识的浅薄,并不能做到十分完美,希望以后有机会可以让其真正的投入到使用之中。
参考文献
[1]Handini E ,Hasenaka T ,Barber D N , et al. Systematics of slab-derived components in Central Java, Sunda Arc: Evidence for differential material transfer across the Southeast Asian convergent margin [J]. Tectonophysics, 2024, 873 230229-.
[2]王慧芳,陈玉. 项目驱动制在Java EE框架开发课程中的应用研究 [J]. 现代信息科技, 2024, 8 (03): 195-198.
[3]陈长辉,钟煜明. 基于MySQL的高职学生课程知识学习数据库设计 [J]. 电脑编程技巧与维护, 2024, (01): 96-99.
[4]Ghoshal A . Oracle’s MySQL HeatWave gets Vector Store, generative AI features [J]. InfoWorld.com, 2023,
[5]陈蓓蕾,洪年松. 基于SpringBoot的数据库接口设计 [J]. 信息与电脑(理论版), 2023, 35 (16): 181-183.
[6]我市八项举措促进高校毕业生就业创业[N]. 黄冈日报, 2023-07-12 (007).
[7]方彬楠,张晗. 政策接续优化 大学生就业再扩渠道[N]. 北京商报, 2023-04-28 (002).
[8]王莉. 基于Web的高校大学生留省就业信息管理系统 [J]. 信息与电脑(理论版), 2023, 35 (06): 149-151.
[9]苗旭. 高校大学生就业创业教育服务体系的建构管理研究[C]// 中国国际科技促进会国际院士联合体工作委员会. 2023年教学方法创新与实践科研学术探究论文集(三). 辽宁省就业和人才服务中心;, 2023: 3.
[10]逯凯歆. 浅议高校教育教学管理如何适应大学生就业[C]// 重庆市鼎耘文化传播有限公司. 2022新时代高等教育发展论坛论文集. 山西财贸职业技术学院;, 2022: 2.
[11]Yang Y . Design and Implementation of Student Information Management System Based on Springboot [J]. Advances in Computer, Signals and Systems, 2022, 6 (6):
[12]邓云,陈洁. 校企“双向奔赴” 促高校毕业生就业[N]. 福州日报, 2022-10-20 (007).
[13]范泠萱. 基于大学生就业的高校学生管理工作探讨 [J]. 国际公关, 2022, (16): 164-166.
[14]毕达宇,柳鑫政,张劲松. 大数据背景下面向就业的信管专业培养模式创新[C]// 中国国际科技促进会国际院士联合体工作委员会. 教育科学发展科研学术国际论坛论文集(三). 中南民族大学管理学院;国家民委人文社科重点研究基地;, 2022: 4.
[15]范永红. 新时代高校大学生的管理问题和对策——评《新时代大学生管理工作的探索与实践路径》 [J]. 中国教育学刊, 2022, (07): 140.
[16]周凯航. 大学生就业焦虑如何化解?[N]. 江苏经济报, 2022-06-20 (A01).
[17]潘洁. 长三角深度挖潜助大学生就业[N]. 国际金融报, 2022-05-16 (010).
[18]陈愉. “云端”求职为高校毕业生就业按下“加速键”[N]. 攀枝花日报, 2022-05-09 (002).
[19]吴元华,游少萍. 基于就业创业能力的大学生课余时间管理研究——以福建省某高校为例 [J]. 淮南职业技术学院学报, 2021, 21 (06): 110-112.
[20]刘凤. 新时代高校以人为本的学生管理探究——评《新时代高校学生管理工作创新研究》 [J]. 热带作物学报, 2021, 42 (10): 3081.
致谢
这篇文章的完成经历了多个日日夜夜的努力,终于在今天得以完成。这篇文章的创作过程实为不易,但在老师和同学的辛勤帮助下顺利渡过。让我在设计过程中举步维艰时,非常感谢我的导师不耐其烦的帮助我解决问题,给予了我许多指导意见。也感谢所有为我授业解惑的老师!
另外,本文的完成也参考借鉴了许多国内外在SpringBoot技术上的著作,如果没有著作原作的辛勤付出和科研成果,我也很难完成本论文。感谢在本论文中关联到的学者们!也感谢Google等公司,感谢他们强大的搜索引擎,让我的资料查阅省事简单。
感谢之余也还有几句话要说,虽大学学习四年,怎奈何本人才疏学浅,本文的完成已为尽力,但文中不免有些不当和错误之处,诚挚真切的请求各位老师对本文的批评改正,感谢百忙之中费心审阅我论文的老师。
免费领取项目源码,请关注❥点赞收藏并私信博主,谢谢~
3605

被折叠的 条评论
为什么被折叠?



