摘要
本周阅读了一篇关于预测PM2.5模型的文章,文章创造性的使用BiLSTM+VMD分解混合的深度学习模型较为准确的对PM2.5的值进行预测,与其它现有模型进行比较,BiLSTM+VMD模型比起只使用LSTM或者EMD分解信号的模型的性能要更加优秀。
Abstract
This week, I read an article about predicting the PM2.5 model. The article creatively uses the deep learning model of BiLSTM+VMD decomposition to predict the value of PM2.5 more accurately. Compared with other existing models, the performance of BiLSTM+VMD model is better than that of the model that only uses LSTM or EMD to decompose signals.
文献阅读
1.题目
一种用于预测PM2.5空气质量的混合深度学习技术
2.问题
空气质量具有十分明显的非线性和不稳定性,因此很难预测PM2.5随时间的波动变化。对PM2.5的预测方法主要有数值模拟和统计模拟两类。数值模拟基于物理和化学运算,但往往需要关于区域气候、地貌、污染源分布等比较精确的信息。现多使用混合机器学习和深度学习技术的统计建模的方法来拟合目标数据。在预测PM2.5的模型中,很多模型,例如只基于EMD或VMD的模型还是不够准确。
3.摘要
PM2.5浓度是环境科学中评价空气质量的重要指标之一。PM2.5指数的严重程度直接影响公众健康、经济和社会发展。由于空气质量的强非线性和不稳定性,很难预测PM2.5随时间的波动变化。本文将变分模式分解(VMD)和双向长短期记忆网络(BiLSTM)相结合,构建了混合深度学习模型VMD- BiLSTM,用于预测中国城市PM2.5变化。VMD将原始PM2.5复时间序列数据按照频域分解成多个子信号分量。然后,利用BiLSTM对每个子信号分量分别进行预测,显著提高了预测精度。通过对现有模型的全面研究,如基于EMD的模型和其他基于VMD的模型,证明了所提出的VMD- BiLSTM模型优于所有比较的模型。实验结果表明,该预测框架显著提高了预测结果。融合VMD的预测模型优于融合EMD的预测模型,在所有整合VMD的模型中,建议的VMD- BiLSTM是最稳定的预测方法。
4.方法
4.1数据标准化
数据标准化是时间序列预测的关键步骤之一。采用零均值标准化方法处理数据。获得服从标准正态分布的平均值为0、标准差为1的数据标准化。标准化和去标准化公式是:

4.2 变分模式分解(VMD)
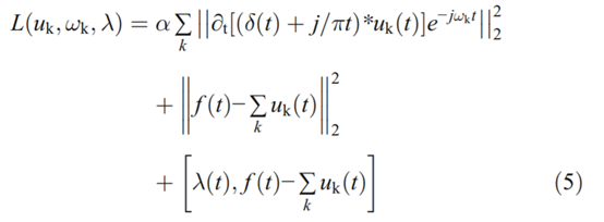
原始PM2.5数据信号通过VMD自适应分解成几个本征模函数。这种分解有效地降低了非线性和波动性,从而实现了信号的稳定性。构造一个变分问题,将PM2.5数据分解成K个模式变量,每个模式uk(t)是中心频率为ωk的有限带宽,变分问题的目标函数是每个模式的估计带宽之和最小,约束条件是模式分量之和等于原始信号。那么,相应的表达式如下:

其中,δ(t)是狄拉克函数,f是原始信号,而*是卷积运算符。为了获得约束变量问题的最优解,引入惩罚因子α和拉格朗日乘子λ(t)将约束变分问题转化为无约束变分问题。定义如下:

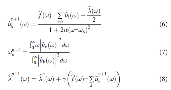
最后,应用交替方向乘子(ADMM)迭代算法优化获得的模态分量和中心频率,以求解方程的增广拉格朗日方程迭代器的最优解。 迭代过程如下:

其中,γ是噪声容差, 是迭代中新生成的傅立叶变换值。
4.3 Bidirectional LSTM(双向LSTM)
结构如下:

从图中可以看出,BiLSTM模型由一个前向LSTM和后向LSTM组成。这使得它获得当前时间的前向和后向的特征,并且与LSTM相比,双向 LSTM可以更好联系到很久之前的状态。 因为空气质量数据随时间波动很大,并且与这之前和之后的状态密切相关,故采用BiLSTM预测PM2.5数据。
5.实验结果
最终预测结果与实际PM2.5数据的比较如图所示:

大部分平滑区都比较符合,但波峰处有所出入,不太令人满意。整体性能已经十分优秀,比其他模型更好,以下是与其他模型,例如只使用LSTM或是EMD等等性能对比:

采用MAE计算误差,不同模型的对比如下:
在表格中评估4,5 和6 使用五种评估方法。结果表明,所提出的VMD-BiLSTM模型优于其他对比预测方法,具体表现在预测误差小、与真实数据拟合度高、趋势预测精度高、模型稳定性高、泛化能力强。


深度学习
LSTM推导

具体的推导过程如下:



总结
本周第一次进行文献阅读方面的写作,许多格式还不太正确,接下来要努力改进。
文章介绍了使用BiLSTM和VMD分解的深度学习模型在预测PM2.5浓度上的优势,对比了其与传统模型如EMD和仅用LSTM的性能,结果显示VMD-BiLSTM模型更精确且稳定。
705

被折叠的 条评论
为什么被折叠?



