6/6 随机过程 马尔科夫链 习题(随机过程应用与模型第三章)
最新推荐文章于 2024-10-18 10:16:44 发布
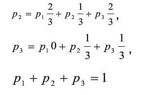
这篇博客详细介绍了2020年6月6日的随机过程作业,主要内容包括带一个吸收壁的简单随机徘徊的案例分析,以及马尔科夫链的转移矩阵。同时,讨论了矩阵乘法、特征值和特征向量以及对角矩阵等概念,是理解概率论中马尔科夫链的实用参考资料。
这篇博客详细介绍了2020年6月6日的随机过程作业,主要内容包括带一个吸收壁的简单随机徘徊的案例分析,以及马尔科夫链的转移矩阵。同时,讨论了矩阵乘法、特征值和特征向量以及对角矩阵等概念,是理解概率论中马尔科夫链的实用参考资料。

被折叠的 条评论
为什么被折叠?