什么是跳表
跳表(Skip List)是一种基于链表的数据结构,它可以支持快速的查找、插入、删除操作,并且具有较好的平均时间复杂度,可以替代平衡树等复杂数据结构。
跳表的由来
一、从前有一个链表,他是这样的。

他具有非常优秀的插入和删除能力,对于插入只要三步,
1、找到位置。
2、新建一个节点
3、将前面的节点指针指到新建的节点上,将新节点的指针指到后续的节点上。

对于删除来说,只要两步。
1、找到当前节点位置,
2、将当前节点的前置节点指针指到当前节点的后续节点。

他不会像数组一样,产生碎片,需要整理。也不需要从从某个节点开始整体移动,空出地方来存储新的数据。
既然有这么优秀的特性,他却少有用武之地,这是为什么呢。
糟糕的查询

面对这么一个有序链表,我们要查询其中的某个元素,就要从头节点(H)开始便利,直到找到这个元素。对于一个有序的链表,O(n/2)的时间复杂度让他失去了有序的意义。
而且对于插入和删除的位置确定(其实也是查询),也需要从头遍历O(n/2)的时间复杂度。
大佬的优化
有一天某个大佬突然意识到,既然问题出在查询上,那么怎么优化查询呢?常见的方法就是建立索引,比如这样,我们每隔一个元素抽出来一个,这样先查索引,然后再查下面链表,不是就能节省很多时间嘛。

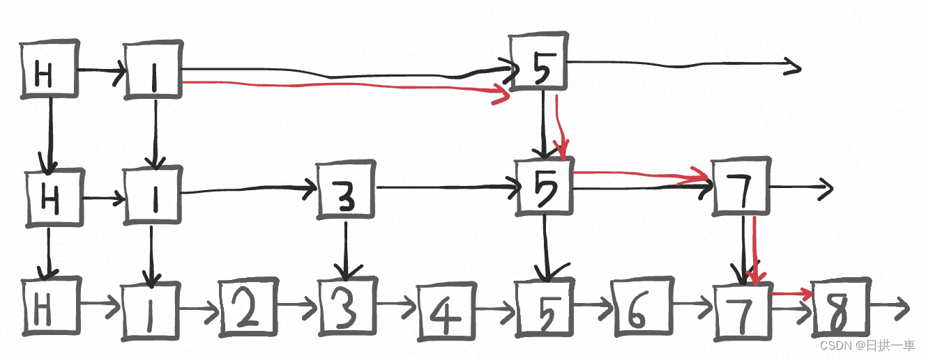
比如我们要查找8这个元素,按照原来的查找方法,我们需要依次访问 1->2->3->4->-5->6->7->8。按照新的数据结构,需要访问 1->3->5->7->8(
判断条件为,当前节点的下一个节点不为空且小于目标节点则往后走,否则往下走,知道找到目标元素或者最下层为空
比如要查找6,步骤如下:
- 1的后节点3小于6,继续往后走,当前节点设为3
- 3的后节点5小于6,继续往后走,当前节点设置5
- 5的后节点7大于6,则往下走,当前节点为下层的5。
- 5的后节点6等于6,查找结束*
)
显然优化了查询路径,当链表足够大时,可以看到时间复杂度从O(n/2)下降到O(n/4)。整整优化了一半。可是上面的1->3->5->7这个链表还是太长,可以继续抽取索引来优化查询,结果是这样的。

我们继续查找8这个元素,会发现路径只需要 1->5->7->8这四个元素,又优化了一步。
路径对比表如下
| 链表类型 | 查询路径 | 节点数 |
|---|---|---|
| 单链表 | 1->2->3->4->-5->6->7->8 | 8 |
| 一级索引链表 | 1->3->5->7->8 | 5 |
| 二级索引链表 | 1->-5->7->8 | 4 |
可以看到,通过建立索引可以优化查询,弥补链表的短板。这位大佬依据这种跳过某些元素区间的查询方式,对这种数据结构起名为跳表。
时间复杂度
根据上面的定义,跳表是每层抽出一半的元素作为索引,创建多级索引来优化查询,因为上一层都是本层的一半,则有

至此一个拥有O(logN)查询复杂度兼具灵活的插入删除特性的数据结构跳表就出现了。
跳表的索引生成
上面我们说了,跳表索引最理想的生成方式是每层抽出一半作为索引,但是在涉及到插入,删除时候要平凡的改动索引,会造成很大的时间浪费,可用性不高。所以退而求其次,采用随机的方式的生成索引。虽然是随机,但是数据量越大,索引结构就会越接近理想索引。生成逻辑如下:
对于一个新加入的节点,最底层是100%插入的,所以随机数最小返回1,返回的数值代表从此层及以下都要插入索引。因为每层拿一半作为索引,所以随机数取0.5。代码如下:
public int getRandomLevel(){
int level = 1;
while(Math.random()<0.5&&level<MAX_LEVEL){
level++;
}
return level;
}
跳表的JAVA实现
一、定义一个链表节点
public class SkipNode<E> {
private String key;
private E value;
/**
数组存储每层索引的下一个节点。比如下标0表示链表本身,
下标1表示第一层索引,依次类推。
*/
private SkipNode<E>[] next;
public SkipNode( String key, E value, int length ){
this.key = key;
this.value = value;
next = new SkipNode[length];
}
}
二、定义跳表的通用参数
public class SkipList<E> {
/**
maxLevel 索引最大高度
currentLevel 当前索引高度
head 跳表头节点,从head查起
*/
private int maxLevel;
private int currentLevel;
private SkipNode head;
public SkipList(int maxLevel, int currentLevel){
this.maxLevel = maxlevel;
this.currentLevel = currentLevel
head = new SkipNode("head",null,maxLevel);
}
}
三、定义增删改查方法
public void insert( int key, E data ){
SkipNode c = this.head;
SkipNode[] update = new SkipNode[maxLevel];
for( int i=currentLevel-1; i>=0; i--){
while(c.next[i]!=null&&key>c.next[i].key){
c=c.next[i];
}
if(c.key==key){
c.data = data;
return;
}
/**
记录每一层的入口节点,如果要插入索引下面会用到
*/
update[i] = c;
}
int randomLevel = getRandomLevel();
SkipNode newNode = new SkipNode(key,data,randomLevel);
if(randomLevel>currentLevel){
for( int i=currentLevel; i<randomLevel; i++ ){
update[i]=this.head;
}
currentLevel = randomLevel;
}
/**
当前节点作为新索引节点,更新每一层的索引指向
*/
for( int i=randomLevel-1; i>=0;i--){
newNode.next[i] = update[i].next[i];
update[i].next[i] = newNode;
}
}
public E search( int key ){
SkipNode<E> c = this.head;
for( int i = currentLevel-1; i>=0; i-- ){
while(c.next[i]!=null&&key> c.next[i].key){
c=c.next[i];
}
if(c.next[i]!=null&&c.next[i].key==key){
return c.next[i].data;
}
}
return null;
}
public void delete( int key ){
SkipNode skipNode = this.head;
SkipNode[] delete = new SkipNode[currentLevel];
for( int i=currentLevel-1; i>=0; i-- ){
while( skipNode.next[i]!=null&&skipNode.next[i].key<key){
skipNode = skipNode.next[i];
}
delete[i]=skipNode;
}
if(delete[0].next[0]!=null&&delete[0].next[0].key==key){
SkipNode deleteNode = delete[0].next[0];
for( int i=0; i<currentLevel; i++ ){
if(delete[i].next[i]==deleteNode){
delete[i].next[i] = delete[i].next[i].next[i];
}
}
while(currentLevel>1&&this.head.next[currentLevel-1]==null){
currentLevel--;
}
}
}
1161

被折叠的 条评论
为什么被折叠?



