分析
二叉树的深度优先遍历的非递归的通用做法是采用栈,广度优先遍历的非递归的通用做法是采用队列。
深度优先遍历:对每一个可能的分支路径深入到不能再深入为止,而且每个结点只能访问一次。要特别注意的是,二叉树的深度优先遍历比较特殊,可以细分为先序遍历、中序遍历、后序遍历。具体说明如下:
先序遍历:对任一子树,先访问根,然后遍历其左子树,最后遍历其右子树。
中序遍历:对任一子树,先遍历其左子树,然后访问根,最后遍历其右子树。
后序遍历:对任一子树,先遍历其左子树,然后遍历其右子树,最后访问根。
广度优先遍历:又叫层次遍历,从上往下对每一层依次访问,在每一层中,从左往右(也可以从右往左)访问结点,访问完一层就进入下一层,直到没有结点可以访问为止。
举例说明
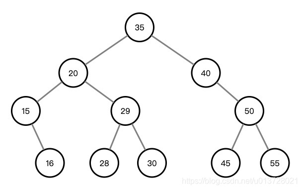
对下图所示的二叉排序树进行遍历,要求使用先序遍历(递归、非递归)、中序遍历(递归、非递归)、后序遍历(递归、非递归)和广度优先遍历。

代码
package BinaryTreeTraverseTest;
import java.util.LinkedList;
import java.util.Queue;
/**
* 二叉树的深度优先遍历和广度优先遍历
*/
public class BinaryTreeTraverseTest {
public static void main(String[] args) {
BinarySortTree<Integer> tree = new BinarySortTree<Integer>();
tree.insertNode(35);
tree.insertNode(20);
tree.insertNode(15);
tree.insertNode(16);
tree.insertNode(29);
tree.insertNode(28);
tree.insertNode(30);
tree.insertNode(40);
tree.insertNode(50);
tree.insertNode(45);
tree.insertNode(55);
System.out.print("先序遍历(递归):");
tree.preOrderTraverse(tree.getRoot());
System.out.println();
System.out.print("中序遍历(递归):");
tree.inOrderTraverse(tree.getRoot());
System.out.println();
System.out.print("后序遍历(递归):");
tree.postOrderTraverse(tree.getRoot());
System.out.println();
System.out.print("先序遍历(非递归):");
tree.preOrderTraverseNoRecursion(tree.getRoot());
System.out.println();
System.out.print("中序遍历(非递归):");
tree.inOrderTraverseNoRecursion(tree.getRoot());
System.out.println();
System.out.print("后序遍历(非递归):");
tree.postOrderTraverseNoRecursion(tree.getRoot());
System.out.println();
System.out.print("广度优先遍历:");
tree.breadthFirstTraverse(tree.getRoot());
}
}
结点代码
/**
* 结点
*/
class Node<E extends Comparable<E>> {
E value;
Node<E> left;
Node<E> right;
Node(E value) {
this.value = value;
left = null;
right = null;
}
}
二叉排序树
/**
* 使用一个先序序列构建一棵二叉排序树(又称二叉查找树)
*/
class BinarySortTree<E extends Comparable<E>> {
private Node<E> root;
BinarySortTree() {
root = null;
}
public void insertNode(E value) {
if (root == null) {
root = new Node<E>(value);
return;
}
Node<E> currentNode = root;
while (true) {
if (value.compareTo(currentNode.value) > 0) {
if (currentNode.right == null) {
currentNode.right = new Node<E>(value);
break;
}
currentNode = currentNode.right;
} else {
if (currentNode.left == null) {
currentNode.left = new Node<E>(value);
break;
}
currentNode = currentNode.left;
}
}
}
public Node<E> getRoot(){
return root;
}
/**
* 先序遍历二叉树(递归)
* @param node
*/
public void preOrderTraverse(Node<E> node) {
System.out.print(node.value + " ");
if (node.left != null)
preOrderTraverse(node.left);
if (node.right != null)
preOrderTraverse(node.right);
}
/**
* 中序遍历二叉树(递归)
* @param node
*/
public void inOrderTraverse(Node<E> node) {
if (node.left != null)
inOrderTraverse(node.left);
System.out.print(node.value + " ");
if (node.right != null)
inOrderTraverse(node.right);
}
/**
* 后序遍历二叉树(递归)
* @param node
*/
public void postOrderTraverse(Node<E> node) {
if (node.left != null)
postOrderTraverse(node.left);
if (node.right != null)
postOrderTraverse(node.right);
System.out.print(node.value + " ");
}
/**
* 先序遍历二叉树(非递归)
* @param root
*/
public void preOrderTraverseNoRecursion(Node<E> root) {
LinkedList<Node<E>> stack = new LinkedList<Node<E>>();
Node<E> currentNode = null;
stack.push(root);
while (!stack.isEmpty()) {
currentNode = stack.pop();
System.out.print(currentNode.value + " ");
if (currentNode.right != null)
stack.push(currentNode.right);
if (currentNode.left != null)
stack.push(currentNode.left);
}
}
/**
* 中序遍历二叉树(非递归)
* @param root
*/
public void inOrderTraverseNoRecursion(Node<E> root) {
LinkedList<Node<E>> stack = new LinkedList<Node<E>>();
Node<E> currentNode = root;
while (currentNode != null || !stack.isEmpty()) {
// 一直循环到二叉排序树最左端的叶子结点(currentNode是null)
while (currentNode != null) {
stack.push(currentNode);
currentNode = currentNode.left;
}
currentNode = stack.pop();
System.out.print(currentNode.value + " ");
currentNode = currentNode.right;
}
}
/**
* 后序遍历二叉树(非递归)
* @param root
*/
public void postOrderTraverseNoRecursion(Node<E> root) {
LinkedList<Node<E>> stack = new LinkedList<Node<E>>();
Node<E> currentNode = root;
Node<E> rightNode = null;
while (currentNode != null || !stack.isEmpty()) {
// 一直循环到二叉排序树最左端的叶子结点(currentNode是null)
while (currentNode != null) {
stack.push(currentNode);
currentNode = currentNode.left;
}
currentNode = stack.pop();
// 当前结点没有右结点或上一个结点(已经输出的结点)是当前结点的右结点,则输出当前结点
while (currentNode.right == null || currentNode.right == rightNode) {
System.out.print(currentNode.value + " ");
rightNode = currentNode;
if (stack.isEmpty()) {
return; //root以输出,则遍历结束
}
currentNode = stack.pop();
}
stack.push(currentNode); //还有右结点没有遍历
currentNode = currentNode.right;
}
}
/**
* 广度优先遍历二叉树,又称层次遍历二叉树
* @param node
*/
public void breadthFirstTraverse(Node<E> root) {
Queue<Node<E>> queue = new LinkedList<Node<E>>();
Node<E> currentNode = null;
queue.offer(root);
while (!queue.isEmpty()) {
currentNode = queue.poll();
System.out.print(currentNode.value + " ");
if (currentNode.left != null)
queue.offer(currentNode.left);
if (currentNode.right != null)
queue.offer(currentNode.right);
}
}
}
输出结果
先序遍历(递归):35 20 15 16 29 28 30 40 50 45 55
中序遍历(递归):15 16 20 28 29 30 35 40 45 50 55
后序遍历(递归):16 15 28 30 29 20 45 55 50 40 35
先序遍历(非递归):35 20 15 16 29 28 30 40 50 45 55
中序遍历(非递归):15 16 20 28 29 30 35 40 45 50 55
后序遍历(非递归):16 15 28 30 29 20 45 55 50 40 35
广度优先遍历:35 20 40 15 29 50 16 28 30 45 55
本文详细介绍了二叉树的深度优先遍历(先序、中序、后序)及广度优先遍历的递归与非递归实现,通过实例展示了遍历过程及结果。
2369

被折叠的 条评论
为什么被折叠?



