注:本文为 “MathType 单行长式转行分拆 | 叠式长分式转行拆分” 几篇文章合辑。
MathType 单行数式转行分拆
发布时间:2015-04-30 15: 01: 56
超过 3/4 版心的较长数式,可以采取转行分拆。当一个表达式或方程式需要断开,用两行或多行来表示时,最好在紧靠其中记号 =、+ 等处断开,用在下一行开头,不重复这一记号。等号 “=” 可以放在转行的开头,数式中两式互乘时,有时不加乘点,但在转行处必须加上。转行分拆主要有宝塔式和阶梯式两种。
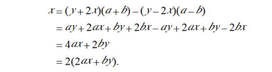
宝塔式排法
单层的长式,转行后成为 2 行时,适用宝塔式,即上行长、下行处短,上下均左右居中排。如:

阶梯式的排法
如果一个单层长式,转行后成两行时,上行短、下行长,或者是两行长短接近,可排成阶梯形,但须使整个长式以上行的行首至下行的行尾居版心左右的中间。如:

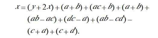
凡是一个长式要多次转行时,式中有 “=” 的,可在 “=” 处转行,上下行首 “=” 对齐,但要保持整个算式居版心左右中间。如:

若无 “=”,在 “+”、“-” 处转行,转行行首要缩进 “=” 号后面一格。如:

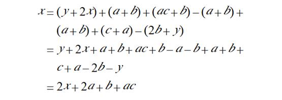
如果既有 “=” 号转行,又有 “+” 号转行时,仍按上面转行的规则,转行的 “=” 与 “=” 对齐;转行行首对齐,并缩进 “=” 号后面一格。如:

以上的内容是关于单行竖式转行的所有的内容。
MathType 叠式中分式转行拆分
发布时间:2015-04-23 15: 59: 23
分式在原则上不作分拆转行,但限于版面尺寸而必须转行时,在 MathType 编辑器中输入带有分式的叠式时,对分式的转行拆分可采取以下几种方法:
1. 分子项数较多、较长的转行分拆
如下图的分式:

可以分拆转行成:

也可采用 “同分母” 的形式进行分拆转行:

2. 分母项数较多、较长的转行分拆
如下图的分式:

也可改成下列 “斜分式“除法形式进行转行分拆:

或者改成” 负指数 “形式进行分拆转行:

改为” 负指数 “形式后,分子 “1” 可以不排,如果分子为其他数字,则分子数字仍排在 “{” 号的前面,并在分子数后面加上乘号。
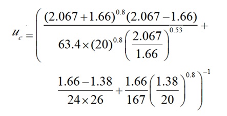
3. 分子和分母的项数都比较多、较长的转行分拆
如如下图的分式:

上式也可采用 “除法” 或 “负指数” 的形式进行分拆转行。
采用 “除法” 形式可将分子及分母分别用大括号包括,再在分子与分母之间加上 “/”(除号)。
采用 “负指数” 形式基本上是在除法形式的基础上,把 “/” 改成 “×” 号,并在分母后边的 “}“之后加上角 - 1(负指数)。
通过学习叠式中分式的转行拆分的教程,以后在输入较长分式时可以采取以上三种方法来处理,使文档看起来美观。
via: http://www.mathtype.cn/jiqiao/
1万+





