B二项分布 binomial distribution
U均匀分布 uniform distribution
E指数分布 exponential distribution
N正态分布 normal distribution
1. 0-1分布

2. 二项分布
2.1 二项分布的定义



2.2 二项分布的三个条件

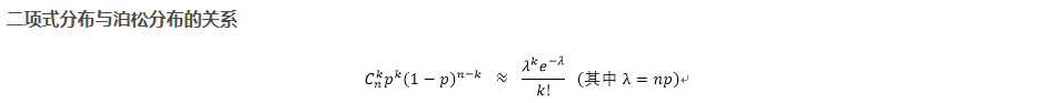
3. 泊松分布



4. 均匀分布

5. 指数分布

6. 正态分布

B二项分布 binomial distribution
U均匀分布 uniform distribution
E指数分布 exponential distribution
N正态分布 normal distribution












被折叠的 条评论
为什么被折叠?