这是一道 简单 题
https://leetcode.cn/problems/diameter-of-binary-tree/
题目
给你一棵二叉树的根节点,返回该树的 直径 。
二叉树的 直径 是指树中任意两个节点之间最长路径的 长度 。这条路径可能经过也可能不经过根节点 root 。
两节点之间路径的 长度 由它们之间边数表示。
示例 1:

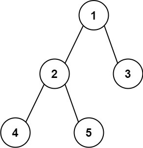
输入:root = [1,2,3,4,5]
输出:3
解释:3 ,取路径 [4,2,1,3] 或 [5,2,1,3] 的长度。
示例 2:
输入:root = [1,2]
输出:1
提示:
- 树中节点数目在范围 [ 1 , 1 0 4 ] [1, 10^4] [1,104] 内
- − 100 < = N o d e . v a l < = 100 -100 <= Node.val <= 100 −100<=Node.val<=100
题解
二叉树的最大直径有两种种可能:
-
左子树的最大深度 + 右子树的最大深度 (左右两边的最长边数 = 左右两边的深度)

-
某一棵子树的最大直径。

所以最终答案应该为上述 2 种可能中的最大值,也就是:以二叉树中的每一个节点为根节点,计算其左右子树的最大深度和,然后取其中的最大值。
之前解过 【算法题解】33. 二叉树的最大深度 这道题目,为了方便查看,我直接将题解中求深度的递归函数粘贴过来并做了简单的调整。
public int depth(TreeNode node) {
if(node == null){
return 0;
}
int leftDepth = depth(node.left);
int rightDepth = depth(node.right);
return Math.max(leftDepth, rightDepth) + 1;
}
因为上述代码片段已经包含了左右子树的最大深度,所以可以同时求得左右子树最大深度之和,命名为 tempAns。
又因为最终答案 ans 是二叉树中某一个节点为根节点的左右子树最大深度之和,所以我们可以在遍历到每个节点的时候都求一次 tempAns,然后取所有 tempAns 的最大值即为答案。其中 ans 初始值设置为 0。
Java 代码实现
/**
* Definition for a binary tree node.
* public class TreeNode {
* int val;
* TreeNode left;
* TreeNode right;
* TreeNode() {}
* TreeNode(int val) { this.val = val; }
* TreeNode(int val, TreeNode left, TreeNode right) {
* this.val = val;
* this.left = left;
* this.right = right;
* }
* }
*/
class Solution {
private int ans = 0;
public int diameterOfBinaryTree(TreeNode root) {
depth(root);
return ans;
}
// 求深度
private int depth(TreeNode node){
if(node == null){
return 0;
}
int leftDepth = depth(node.left);
int rightDepth = depth(node.right);
// 左右子树深度相加
int tempAns = leftDepth + rightDepth;
// 更新最大值(答案)
ans = Math.max(tempAns, ans);
return Math.max(leftDepth, rightDepth) + 1;
}
}
Go 代码实现
/**
* Definition for a binary tree node.
* type TreeNode struct {
* Val int
* Left *TreeNode
* Right *TreeNode
* }
*/
func diameterOfBinaryTree(root *TreeNode) int {
var depth func(node *TreeNode) int
ans := 0
depth = func(node *TreeNode) int {
if node == nil {
return 0
}
leftDepth := depth(node.Left)
rightDepth := depth(node.Right)
tempDepth := leftDepth + rightDepth
ans = max(ans, tempDepth)
return max(leftDepth, rightDepth) + 1
}
depth(root)
return ans
}
func max(a int, b int) int {
if a > b {
return a
}
return b
}
复杂度分析
时间复杂度:
O
(
N
)
O(N)
O(N),N 为二叉树中的节点个数,每个节点都需要遍历一次,时间复杂度为
O
(
1
)
O(1)
O(1),N 个节点总计时间复杂度为
O
(
N
)
O(N)
O(N)。
空间复杂度:
O
(
N
)
O(N)
O(N),N 为二叉树中的节点个数,空间复杂度主要取决于递归调用栈的深度,最大为 N。
文章介绍了如何解决LeetCode上的二叉树直径问题,通过计算每个节点的左右子树最大深度并取和,找到最大值作为答案。提供的Java和Go代码实现了这个算法,时间复杂度为O(N),空间复杂度为O(N),其中N为二叉树节点数量。
468

被折叠的 条评论
为什么被折叠?



