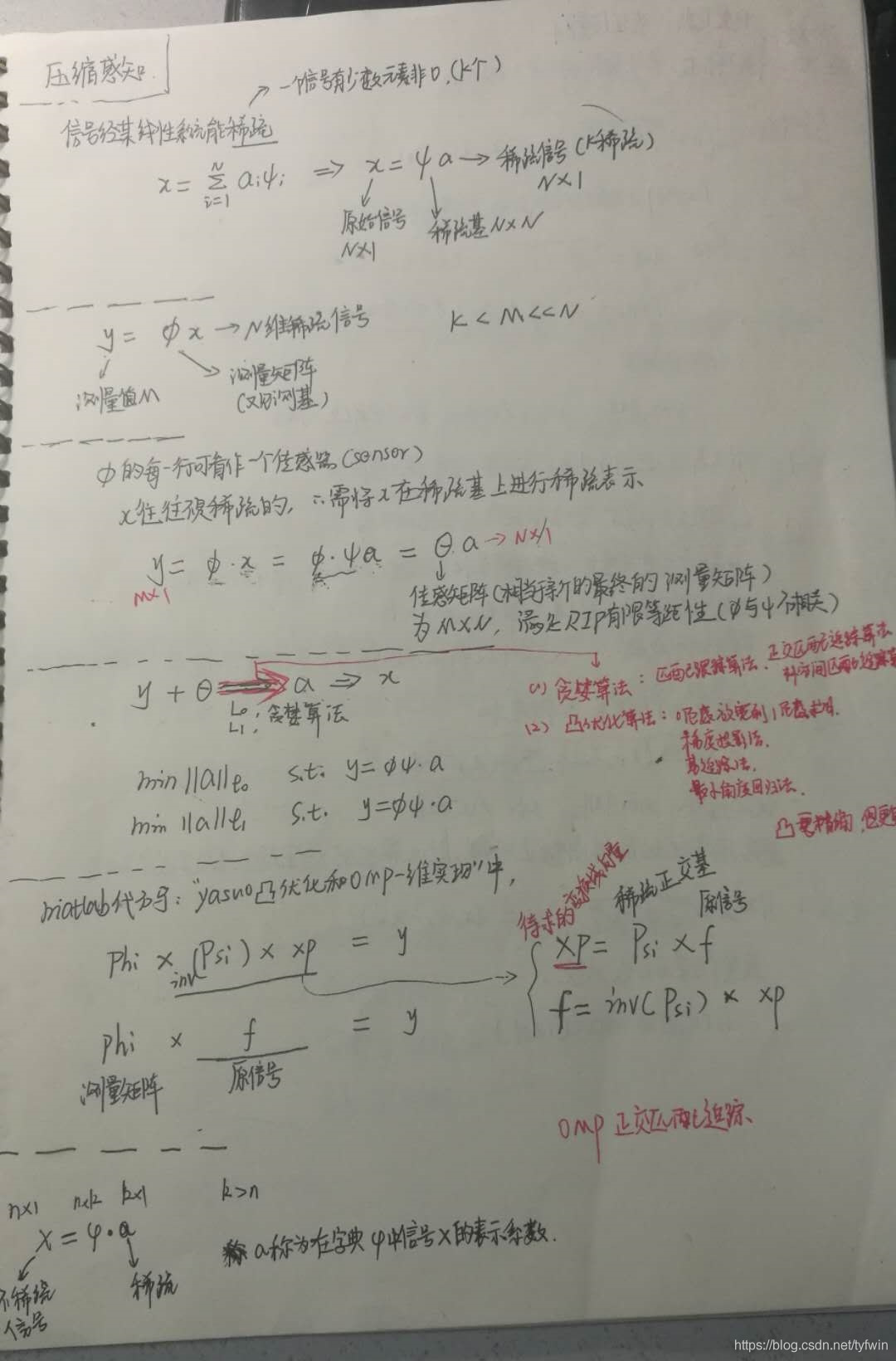
记录一下
之前看压缩感知,资料很多,千篇一律。
我总结成自己能看懂的,记录在笔记本上,供自己看,不知道自己的理解是不是完全争取,如果有不对的,还请大佬多多指出来,非常感谢。
今天累了,就不再手写了。
上我的美图。

和我的一页精美ppt

本文是对压缩感知概念和技术的个人总结,作者通过整理资料形成了易于理解的内容,并邀请读者指出可能存在的理解偏差。
记录一下
之前看压缩感知,资料很多,千篇一律。
我总结成自己能看懂的,记录在笔记本上,供自己看,不知道自己的理解是不是完全争取,如果有不对的,还请大佬多多指出来,非常感谢。
今天累了,就不再手写了。
上我的美图。

和我的一页精美ppt

1810

被折叠的 条评论
为什么被折叠?