【背景】不安全的网页黑名单包含100亿个黑名单网页,每个网页的URL最多占用64B,现在想要实现一种网页过滤系统,可以根据网页的URL判断该网页是否在黑名单上,请设计该系统。
【要求】该系统允许有失误率万分之一以下 使用的额外空间不超过30GB
BloomFilter是Burton Howard Bloom与1970年提出来。BloomFilter的优点在于使用很少的空间可以将精确率做到很高。
【哈希函数的性质】
1、哈希函数具有无限的输入值域
2、当给hash函数传入相同的值时,返回值是一样的。
3、当给定哈希函数传入不同的输入值时,返回值可能会产生哈希冲突。
4、很多不同的输入值所得到的结果会均匀的分布在区间S(输出域大小S),这点也是评价一个hash函数是否优良的重要一点。
【BloomFilter】 假设具有一个长度为m的bit 数组,有k个哈希函数。这些函数的输出域S大于等于m。它们彼此之间独立,那么对于同一个输入对象URL再经过k个hash函数得到k个值,分别%m的结果映射到bit 数组的相应位置,把相应的位置涂黑,如下图所示:

把所有的输入域的URL处理完成,则一个Bloomfilter生成完毕,
【检查阶段】判断一个对象URL是否在之前的输入域中?计算该URL在经过k个hash的值做%m操作,把结果映射到bit数组,如果有一个位置没有涂黑,那么该URL肯定是没有出现过的。但是也会产生误差,就是所有位置涂黑了,但该URL实际是,没有出现过的。从这里我们可以看出URL的失误类型是“宁可错杀三千,绝不放过一个”。
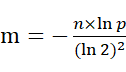
【Bloom Filter计算】根据输入量:n, 允许失误率p 则确定bit数组的大小m的公式:
1-1
哈希函数的个数k:
1-2
167万+

被折叠的 条评论
为什么被折叠?



