TMSE:一种增强无标度无线传感器网络鲁棒性的拓扑结构改进策略
摘要
无标度无线传感器网络(WSNs)对随机攻击具有容忍性,但容易受到恶意攻击。随着网络攻击的增加,提高无标度无线传感器网络的生存能力和鲁棒性至关重要。本文提出了一种用于无线传感器网络的无标度拓扑演化机制(SFTEM),该演化模型考虑了节点的故障概率以及通信范围。随后,提出了一种新的用于增强无标度无线传感器网络鲁棒性的拓扑修改策略,即TMSE。与以往的研究不同,我们在算法设计中考虑了多种类型的恶意攻击,使TMSE能够更好地抵御现实中的攻击。此外,TMSE包含两种操作:高度节点操作(HDO)基于被攻击的概率调整高度节点之间的网络连接;度关联操作(DAO)利用度‐度相关性将网络拓扑转变为类洋葱结构。同时,TMSE所修改的所有节点均保持其节点度不变,因此最终的拓扑结构保留了无标度特性。仿真结果表明,由SFTEM生成的网络拓扑具有无标度特征,并且与现有算法相比,TMSE能有效提升其鲁棒性。
1. 引言
由无线传感器网络(WSNs)支持的物联网是适用于多种现实场景(如环境监测、智能交通等领域)的一种吸引人且灵活的方案。在许多应用中,无线传感器网络通常在严苛和恶劣的环境中运行。根据犯罪意图的不同,网络攻击可能是随机的或恶意的。无线传感器网络中的节点可能因软件或硬件故障以及恶劣天气等随机攻击而失效。此外,基于智能节点选择的恶意攻击威胁正在迅速增加。复杂网络中的无标度理论可用于拓扑结构的进化,以提高无线传感器网络的生存能力。无标度无线传感器网络的一个显著特征是大多数节点具有较低的节点度,因而具备较强的抗随机失效能力。然而,由于少量节点拥有网络中大部分的连接,无标度网络容易受到恶意攻击的影响。一旦这些节点遭到攻击,网络将分裂为多个独立子图,甚至可能瘫痪。在我们之前的工作中,提出了一种用于无标度无线传感器网络的拓扑进化机制,以提高对随机攻击的容错性。在无标度无线传感器网络中,少数关键节点拥有网络的大部分连接,因此这些节点的能量消耗速度会快得多比其他节点更多。因此,我们之前的方案结合了联合失效概率以及其他特征,包括节点度、节点饱和度和节点间距离,以维持网络的能量均衡。然而,我们之前的方案未能考虑在恶意攻击下拓扑结构的鲁棒性。因此,本文的目的是设计一种方法,确保即使恶意攻击导致部分节点失效,网络仍能保持连通并正常运行。
近年来,已提出了多种网络拓扑增强鲁棒性策略[18–23]。由于具有复杂拓扑结构的网络可用于模拟自然界和社会中的许多系统,因此作为复杂网络类型之一的无标度理论通常被用于建模大规模同质无线传感器网络。许多研究已经探讨了无标度拓扑的鲁棒性。其中,爬山算法[24]作为最经典的算法,利用反馈信息来生成更优的鲁棒性度量,从而持续优化网络的鲁棒性。然而,作为一种改进的深度受限搜索方法,爬山算法可能会收敛于局部最优状态。特别是有研究发现,通过改变路由策略进行流量控制,类洋葱网络能够获得弹性方面的适应能力,以吸收由攻击引发的级联过载故障[25]。由于类洋葱结构在抵御恶意攻击方面具有较强的鲁棒性攻击,并且已通过理论和实验验证[26],一种新的鲁棒性策略(ROSE)[27]被设计用于将拓扑结构更改为类洋葱结构以提高网络的鲁棒性。然而,ROSE中的所有操作都针对网络中的所有节点,可能会产生冗余操作。
我们提出了一种新的拓扑修改策略,包含两种操作以增强无标度无线传感器网络的鲁棒性。通常情况下,具有高连接度的网络节点容易受到恶意攻击;因此,我们设计了一种操作,通过修改这些节点的连接来提高网络的鲁棒性。接着,另一种操作基于以下思想:具有类洋葱结构且具备正相关度的网络拓扑结构对恶意攻击具有较强的容忍能力[25]。本研究的主要贡献可总结如下。
引入了一种改进的拓扑结构进化机制来生成无标度无线传感器网络。考虑到网络的容错性和有限通信范围,通过该机制进化的网络具有无标度特性。所提出的TMSE策略包含两种操作:高度操作(HDO)和度关联操作(DAO)。首先讨论不同类型的恶意攻击,以确定TMSE的参数。HDO旨在改变某些重要节点的网络连接以增强鲁棒性,而DAO则利用度‐度相关性特性使拓扑结构接近类洋葱结构。
本文的其余部分组织如下。在第2节中,回顾并总结了相关工作。接着,在第3节中介绍了无标度拓扑的进化机制以及在不同攻击下的鲁棒性度量。第4节描述了TMSE的思想和细节。在第5节中给出了仿真结果。最后,在第6节中对本研究进行了总结。
2. 相关工作
为了提高无线传感器网络的生存能力,一些研究致力于提高能量效率并延长网络寿命[28,29]。维持无线传感器网络生存能力的一种方法是密钥管理。优素福普尔和巴拉提[30]根据密钥类型、密钥分发机制、密钥加密方法和网络模型对动态密钥管理方案进行了分类。此外,博世等人[31]概述了当前先进的商用和科研管理方案,并分析了它们的优缺点。巴拉巴西和艾伯特[11]提出了另一种提升网络生存能力的方法,即所提出的BA模型通过以下两个准则实现无标度拓扑结构:(1)增长:新节点逐个加入网络;(2)新加入的节点以与现有节点度成正比的概率与之建立连接。这导致一个现象:一个节点拥有的连接越多,就越有可能获得新的连接。近年来,许多研究人员基于BA模型提出方法,构建无标度无线传感器网络,以实现容错性、节能或延长网络寿命的目标。
刘等人[13]提出了一种用于异构无线传感器网络的小世界和无标度拓扑模型,通过偏好连接机制实现。该拓扑模型生成的网络对随机故障具有更强的鲁棒性。类似地,受无标度理论启发,彭等人[32]提出了针对大规模分层无线传感器网络的两种方案:一种基于BA模型构建大规模无线传感器网络,另一种则避免与潜在枢纽节点建立链接,从而提高网络的能量效率。何等人[33]利用无标度特性设计了一种拓扑演化方法,其中簇节点分布均匀,并根据节点的剩余能量和度,通过随机游走方式进行演化。赵等人[34]采用高斯分布定义具有多模态的三维地形,并提出了一种在三维地形下的新型无标度无线传感器网络拓扑结构。他们考虑了无线传感器网络在实际应用中的需求,并基于三维地形中的增长和优先连接准则建立了无标度网络模型。谭等人[35]提出了一种基于复杂网络理论的大规模无线传感器网络的新型节能且容错的演化模型。该演化模型不仅考虑了每个节点的剩余能量,还引入了链接约束,使整个网络的能耗更加均衡。
无标度网络的一个特征是少量节点的度非常高,这使得网络容易受到恶意攻击。一旦高连接度的节点遭到攻击,由于大量连接的丢失,网络可能迅速瘫痪。因此,本文旨在增强无标度无线传感器网络(WSNs)对抗恶意攻击的鲁棒性。向网络中添加连接边和关键节点可以有效缓解这一问题,但这会改变无标度网络的特性并消耗过多能量。近年来,许多研究聚焦于提升无标度无线传感器网络的鲁棒性。为了构建一个鲁棒性强的网络,施耐德等人[36]提出了一种新的鲁棒性度量指标R,该指标通过衡量遭受攻击后网络的平均最大连通分量来评估鲁棒性。利用指标R,可以通过多种优化技术改进无标度网络。赫尔曼等人[24]采用爬山算法使无线传感器网络的拓扑结构接近类洋葱结构,但其算法存在容易陷入局部最优的问题。基于爬山算法,布瑟等人[37]提出了一种模拟退火算法,并引入概率切换策略以应对多峰现象。然而,在网络重连过程中存在大量冗余操作,可能导致较高的时间复杂度。荣和刘[38]提出一种启发式优化算法以提高无标度网络的鲁棒性。该算法在执行不同边操作的同时能够保持节点分布不变,但未考虑无线传感器网络的通信限制。罗伊等人[39]提出一种新的边重连策略,通过边添加和边删除来增强网络对故障的鲁棒性。然而,该算法与前述算法有本质区别,因为它以牺牲无标度特性为代价来提升拓扑鲁棒性。在[40]中,作者研究了噪声无标度网络在平均度、随机节点故障和目标攻击下的共识鲁棒性,其性能以一致性(相干性)表征。基于一致性,提出了一种新的中心性指数——领导者中心性,用于识别更具影响力的传播节点。张等人[41]针对大规模无线传感器网络提出了一种新的链路添加策略(LLA),利用局部世界理论可同时提升网络的鲁棒性和流量容量。此外,LLA利用相对位置关系和集合划分方法,建立了新的链路添加策略。邱等人[27]提出一种通过重排边使其趋近于类洋葱结构的鲁棒性增强策略(ROSE)。同时,ROSE能够保持拓扑中每个节点的度不变,从而确保最终拓扑仍具有无标度特性。遗传算法(GA)被提出用于增强网络鲁棒性[42],但进化过程中单一群体的候选解可能导致结果陷入局部最优。为克服这一局限,邱等人[43]采用多群体协同进化方法来增强无标度拓扑的鲁棒性。面向无标度无线传感器网络的鲁棒性优化方案(ROCK)引入了新颖的交叉和变异算子,用于在网络拓扑中重连边。
3. 网络建模和鲁棒性度量
在本节中,我们介绍了一种用于无线传感器网络的无标度拓扑模型,并描述了四种恶意攻击策略和鲁棒性指标。
3.1. 无线传感器网络中的容错拓扑结构模型
如今,大量物联网传感器被部署在建筑物、医院和购物中心,以支持各种智能服务。由于通信容量高且传感器数量众多,所形成的无线传感器网络将非常密集。特别是,密集的无线传感器网络容易发生节点故障。因此,考虑密集无线传感器网络的鲁棒性具有重要意义。无线传感器网络具有明显的动态特性,包括新节点和新链路的增加,以及由环境因素或能量耗尽引起的节点故障。在我们之前的研究中,提出了一种用于无线传感器网络的无标度拓扑演化机制(SFTEM)[17]。SFTEM能够生成一种容错网络,尤其能够抵御随机攻击。在本研究中,将使用SFTEM生成原始的无标度无线传感器网络。SFTEM的规则如下。
(1) 初始化:在时间 t= 0,初始网络中有 m0 个节点和 e0 条边。
(2) 优先增长:一次添加一个节点,新添加的节点连接m个当前节点(m ≤ m0),新节点连接节点n的概率表示为∏kn,其由下式给出
$$
∏kn=(1 − kn / kmax) \times Fn × kn / ∑l ∈ Ω Fl × kl
$$
其中 kn为节点度, Fn= 1/p(n) × di、 p(n)= 1 − e−λtts,且p(n)表示节点n(λt为传感器节点的故障率[44]), dn为新加入节点与节点n之间的距离。F为节点的适应度函数,结合了网络的容错性以及有限通信范围,关联了节点的故障概率和节点间距离。节点Ω的局部世界n表示其一跳邻居节点。kmax为节点度阈值,用于限制节点的最大度。根据上述进化规则,可生成具有满足幂律分布节点度的容错无标度网络,该结果将在仿真部分进行验证(具体细节见[17])。图1给出了由SFTEM生成的无标度无线传感器网络的一个示例,其中红点代表节点,点的大小表示节点的不同度:点越大,度越高。
3.2. 攻击类型和鲁棒性度量
通常,无线传感器网络被假定会受到随机攻击和恶意攻击。由于生成的网络具有无标度和幂律特性,该网络对随机攻击具有较强的抵抗力,但对恶意攻击却较为脆弱。对于这方面的研究恶意攻击中,删除节点(或边)的顺序是一个开放的选择。此外,可以在任意固定数量的被移除节点上最大化破坏效果。本文采用了四种类型的恶意攻击,分别是基于度和基于介数的攻击。
定义 1(介数[38]) 。在连通网络中,每对节点之间至少存在一条最短路径。无线传感器网络中节点B的介数i是指经过节点i的这些最短路径的数量,其定义为:
$$
B(vi)= ∑_{1≤k<l≤N, k≠i≠l} σkl(i) / σkl
$$
其中 σkl(i)表示经过节点k和l之间的最短路径中通过节点i的数量,σkl是节点k和l之间最短路径的数量,N是网络中的节点数量。
定义 2(节点度[45]) 。节点的度是指连接到该节点的边的数量。
定义 3(初始度(ID)攻击[11]) 。网络中的节点将按度降序逐一被移除。
定义 4(重计算度(RD)攻击[16]) 。在每次攻击中,将移除度最高的节点。由于每次攻击后网络结构发生变化,导致度分布与初始情况不同,因此在每次移除步骤中都需要重新计算节点的降序排列。
定义 5(初始介数(IB)攻击[11]) 。网络中的节点将按照介数从高到低的顺序逐一被移除。
定义 6(重计算介数(RB)攻击[16]) 。在每次攻击中,将移除介数最高的节点。由于每次攻击后网络结构发生变化,导致介数分布与初始情况不同,因此在每次移除步骤中都会重新计算节点的降序排列。
定义 7(连通性覆盖率) 。网络的连通性覆盖率C定义为
$$
C= M / N
$$
其中,M是最大子图的节点数,N是初始网络中的节点数。当节点受到上述四种恶意攻击破坏时,网络可能逐渐分裂为多个孤立部分。为了度量网络拓扑的鲁棒性,施耐德等人[36]提出了一种基于渗流理论的新度量指标,该指标考虑了删除节点后剩余的最大连通分量。我们将此度量指标与上述四种攻击类型结合,然后根据不同攻击策略计算整体连通性覆盖率C,以评估网络对攻击的抵抗能力。鲁棒性度量定义为
$$
R= 1 / (N −1) ∑_{s=0}^N Cs
$$
其中 Cs是移除s个节点后网络的连通性覆盖率,R ∈[0, 0.5], R= 0表示网络完全断开,R= 0.5表示网络完全连通。R越大,网络抵抗恶意攻击的能力越强。根据R的定义,我们需要使用集中式系统基于网络的全局信息来计算R。
4. TMSE 概述
TMSE旨在增强无标度网络的鲁棒性,其中包括HDO和DAO改进策略。首先,我们尝试在不改变幂律特性的前提下调整高度节点的连接方式,从而减少网络连接性的损伤。其次,林崎等人[25]发现,具有类洋葱结构且具备正相关度的网络拓扑对恶意攻击具有很强的容忍性。如图2所示,在类洋葱结构中,从中心到边界的节点度分布呈分层状。每个环上的节点度相同或相似;即高度节点与高度节点相连,低度节点与低度节点相连。
无标度无线传感器网络表示为一个连通图G=(V,E),其中V={1, 2,…,N}是节点集,E={eij|i,j ∈ V,i ≠j}是边集。为了说明边交换操作,我们首先给出独立边的定义。
定义8(独立边[27]) 。若两条边 emn 和 ekl 满足以下条件,则称其为独立边:每个节点m、n、k 和l 必须都在其余三个节点的通信范围内,且在节点m、n、k和l之间除了已存在的边 emn 和 ekl外,不存在其他连接。
边交换操作的基础是所选择的边为独立边,图3展示了边交换操作。如图3(a)所示,两条边 emn和 ekl是在原始拓扑图中随机选择的独立边(红线)。在交换它们连接的边之后,如图3(b)所示,原始拓扑结构变为新拓扑结构,同时保持相同的度分布。也就是说,节点m、n、k 和l的度保持不变。
4.1. 高度节点操作(HDO)
通常,网络中的高度节点容易受到恶意攻击。然而,节点度作为单一指标,可能无法准确衡量节点在网络中的重要性。恶意攻击倾向于选择网络中承担较高流量责任的节点[36,46]。介数描述了节点对网络路由桥接的影响能力,介数越高,节点越容易被选为攻击目标[46]。此外,边的状态也会影响节点,我们通常使用边度来反映边的重要性。
定义9 (边度[16]) 。给定一条边e连接节点m和n,其节点度分别为km 和 kn,边度 ke 定义如下。
$$
k_e = k_m \cdot k_n
$$
任意节点i的关联边的平均边度表示为:
$$
K(n_i) = \frac{1}{n_e} \sum_{e_i \in n_e} k_e(i)
$$
其中,ne 是节点i的关联边数,ke(i)表示与节点i相连的边e的边度。此处,我们结合介数和平均边度来刻画节点被攻击的概率。
$$
p(n)= \alpha C B(n)+(1 -\alpha)\mu(K_n)
$$
$$
C B(n)= \frac{2B}{(N -1)(N -2)}
$$
$$
\mu(x)= \begin{cases}
1 & x \geq a \
1 - e^{-\left(\frac{x-a}{\sigma}\right)^2} & x < a
\end{cases}
$$
其中 α ∈[0, 1]是参数的权重值,CB(n)是介数的归一化参数,定义为(8),且 μ(n)∈[0, 1]。此外,μ(x)是一个描述平均边度的模糊隶属函数,对应于被攻击的概率。平均边度与被攻击概率之间的关系无法精确量化。模糊理论提供了一种有效的方法——隶属函数,它可以表示平均边度对应于被攻击概率的“真实程度”,从而给出一个相对可靠的参考值。节点被攻击的概率随着其平均边度的增加而增加,因此我们选择递增隶属函数,如(9)所示,且μ(x) ∈(0, 1]。参数a 根据在不同攻击策略下的连通性覆盖率C确定,具体细节见第5节的仿真实验。
在分析节点的攻击概率后,我们提出了一种操作来提升网络的鲁棒性。首先,找出具有高连接度的节点集合。然后,该集合中的节点将根据其被攻击的概率执行边交换操作。由于局部拓扑结构连接的变化,鲁棒性R得以逐步提高。HDO的伪代码如算法1所示。
HDO算法中使用的变量解释如下:
- A:原始无标度网络节点的邻接矩阵。
- E:无标度网络的边集。
- NH:高degree节点数量。
- A′:边交换操作后新拓扑结构的邻接矩阵。
- G2(n):节点n[47]的两跳邻居连通子图
- E2(n):节点n的两跳邻居连通子图的边集。
- P(n):节点遭受攻击的概率。
对于 NH中的每个节点,找到其 G2(n)及相应的边集E2(n)。从E2(n)中随机选择一对独立边 emn和 ekl。执行边交换操作后,可得到一个新的连通子图 G2(n) ′以及新的邻接矩阵A′ 。同时,节点n(P(n) →P′(n))被攻击的概率以及整个网络拓扑的鲁棒性(R(A) →R(A ′ ))将发生变化。如果节点n被攻击的概率降低且新拓扑结构的鲁棒性得到提升,则邻接矩阵将从A更新为A′。内循环持续进行,直到所有边交换操作完成,并在外循环中遍历高度节点集中的所有节点结束为止。
4.2. 度关联操作(DAO)
从图2可知,类洋葱结构中节点的度从内到外依次递减。这种结构的优点在于,当某个节点发生故障时,其邻近节点能够保持原有功能,以维持网络的连通性。因此,恶意攻击造成的破坏在很大程度上被在无线传感器网络中减弱。受这一特性的启发,我们采用M.E[48]中定义的度关联性作为参数来衡量拓扑结构的度‐度相关性。
$$
r= \frac{\sum_i k_i \sum_{ij} A_{ij}k_ik_j - (\sum_i k_i^2)^2}{\sum_i k_i \sum_i k_i^3 - (\sum_i k_i^2)^2}
$$
其中 Aij表示邻接矩阵的元素(i,j= 1, 2,…,N)。图的度关联性用于计算具有相似度的节点之间建立连接的倾向,其等价于度的皮尔逊相关系数r ∈[−1, 1],当r(> 0)增大时,具有相似度的节点倾向于建立连接,而当r(< 0)减小时,具有不同度的节点倾向于建立连接。
为了降低算法复杂度,随机选择一对独立边emn和 ekl (即四个节点m、n、k和l)。然后,可通过Dijkstra算法从G中找到这四个节点的最小连通子图g。因此,我们只需在每次边交换操作后计算g的相应参数。算法2描述了DAO的伪代码。
从E中随机选择一对独立边 emn和 ekl,并通过Dijkstra算法找出这四个节点(m、n、k和l)的最小连通子图g。然后,在执行两种边交换方法(第5行和第6行)后,将得到相应的 g1、 g2以及A1和 A2。此外,计算三种连接情况下的度关联性r,并选择其中最大的r。如果最大r对应于初始情况,则放弃当前操作,算法进入下一个循环。否则,若最大r来自边交换情况,并且修改 A 1或 A 2能够提升鲁棒性,则接受该交换操作。此过程持续进行,直到所有边交换操作完成为止。
4.3. TMSE的分析复杂度
定理 1. HDO的复杂度为O(M²),其中M是HDO中具有高连接度的节点间边对的最大数量。DAO的复杂度为O(L),其中L是DAO中拓扑结构所选边对的最大数量。
证明. 如算法1的步骤所示,主要计算是处理高度节点的两跳邻居连通子图中的边对。设M表示边对的最大数量,外循环的复杂度表示为O(M′),其中M′是高度节点的数量。由于M′< M,HDO的复杂度为O(M²)。类似地,算法2的主要计算是处理全局图中的边对,DAO的复杂度为O(L),其中L是拓扑结构中选定的边对的最大数量。
5. 仿真结果和分析
在本节中,首先评估SFTEM的无标度特性。然后,在生成的无标度拓扑结构上模拟四种攻击类型,以确定隶属函数(公式a)中(9)的值。特别地,对无标度网络节点实施的所有恶意攻击均为同时攻击。此外,一旦节点受到攻击,与其相连的所有链接均被视为无效。设置了不同规模和边密度的无标度网络,以评估TMSE、模拟退火(SA)[25]以及 ROSE[27]的性能。仿真在配备128 GB内存的Intel Core i7系统上使用 Matlab进行。
5.1. 无标度特性的评估
假设所有节点在二维区域内随机部署 Γ,且区域大小随节点数量变化。在初始网络中,节点数 m0为3,新边数m从{1, 2,…, 5}中选取,节点的最大度和通信半径取决于网络的规模和密度。表1列出了具体的仿真参数。
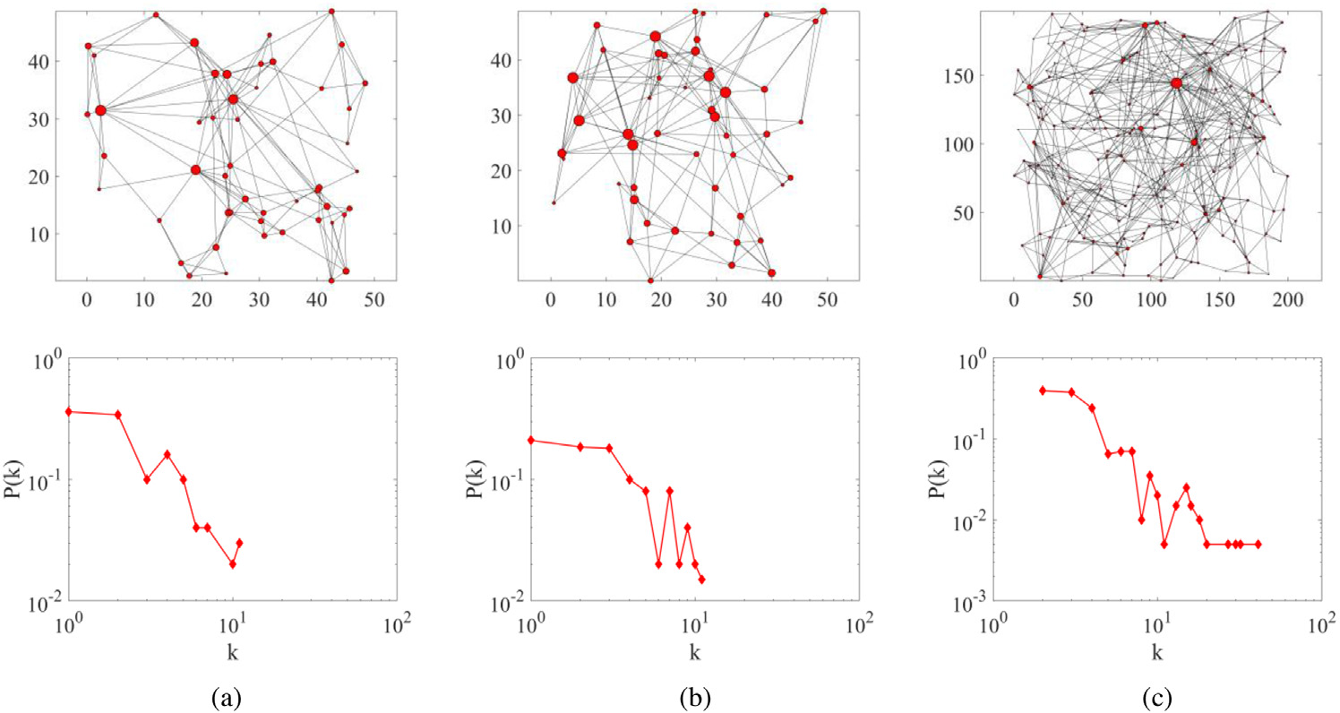
我们选取了三种网络参数对(N, m),即(50, 2)、(50, 4)和(200, 2)。无标度网络的拓扑结构以及节点度的概率分布如图4所示。红点表示节点,点的大小表示节点度的不同:点越大,度越高。从图4第一行的三个拓扑图可以看出,少数节点具有高连接度,而大多数节点的度较低。如图4第二行所示,网络的节点度概率分布符合无标度网络的幂律特性。这证明了由SFTEM演化出的网络拓扑具有无标度特性。
5.2. 不同攻击类型下参数a的确定
我们将网络连通性覆盖率C低于0.5时的被攻击节点数作为参数a的取值。也就是说,当被攻击节点数大于或等于a时,C< 0.5 并迅速下降,此时估计节点被攻击的概率为1(如(9)所示)。为了观察连通性覆盖率C随被攻击节点数量的变化情况,在不同规模的网络上模拟了四种攻击类型(见第3.2节)。从图5中的四个子图可知,RB攻击对连通性覆盖率C的破坏力最强,其次是RD攻击。此外,ID攻击和IB攻击的破坏力几乎相同。如图5(a)所示, N= 50,当被攻击节点数为16时,ID攻击和IB攻击下的C< 0.5,因此在ID和IB攻击下隶属函数中a的取值设为16。在RD和RB攻击下,分别直到被攻击节点数达到15和14时,C< 0.5。各种情况下的a值汇总于表2中,后续实验根据表2中的数据设置相应参数。
5.3. 不同规模的无线传感器网络的鲁棒性比较
为了验证TMSE的性能,我们在不同攻击下进行了鲁棒性测试实验,并与SA[25]和ROSE[27]进行了比较。本实验中无标度网络的规模分别为50、100、150和200。在无标度网络的进化过程中,添加的边数m固定为2。我们比较了不同规模的无线传感器网络在四种攻击类型下的鲁棒性,如图6所示。
如图6(a)–(d)所示,随着R的值增加呈现出下降趋势。与原始无标度拓扑(OSFT)相比,三种算法显著增强了鲁棒性。从图6(a)和(b)可以看出,在ID或RD攻击下,TMSE相较于ROSE略有优势,但明显优于SA算法。此外,我们发现,在IB或RB攻击下,TMSE的性能明显优于ROSE,有时SA的性能优于ROSE的,如图6(c)和(d)所示。总之,无论攻击类型如何,TMSE在提升不同规模的无线传感器网络的鲁棒性方面均优于SA和ROSE。
图7(a)和(b)展示了TMSE后无标度无线传感器网络的拓扑结构和节点度分布,其中 m= 2。研究发现,在通过TMSE增强鲁棒性后,无标度网络中的节点倾向于与具有相同度的节点连接。同时,网络的度分布成功保持了幂律分布。如图8(b)所示,与图8(a)相比,网络拓扑在TMSE后凸显出类洋葱结构的特征。从中心到边界的节点度分布呈分层状,且每个环上的节点倾向于连接相似度的节点,如图8(b)所示,这表明无标度拓扑更接近于洋葱状结构。
5.4. 不同边密度的无线传感器网络鲁棒性比较
为进一步比较,生成了不同边密度的无标度网络以验证TMSE的性能。网络规模N设置为50,m ∈{1, 2,…, 5}用于满足不同边密度的条件,并选择RD攻击和RB攻击进行对比实验。图9展示了TMSE、SA、ROSE和OSFT在不同网络边密度下的鲁棒性性能。可以看出,R随着边密度的增加而增加,因为网络边密度的增加增强了拓扑结构的鲁棒性。三种算法有效提升了拓扑结构的鲁棒性,且与初始无标度网络相比,TMSE优于其他两种算法。从图9(a)可以看出,在RD攻击下,TMSE与ROSE的鲁棒性差异较小,总体上TMSE优于ROSE。如图9(b)所示,TMSE在RB攻击下的鲁棒性优化方面优于其他算法。
5.5. RD攻击下TMSE前后连通覆盖率C的比较
无线传感器网络经常受到随机攻击和恶意攻击。TMSE在保持无标度网络幂律分布的同时,对恶意攻击具有良好的鲁棒性。在本实验中,节点数量为100,m的值为2,并选择RD攻击作为恶意攻击。如图10所示,给出了在随机攻击和恶意攻击下,TMSE前后C值的对比。随着攻击节点数量的增加,C的值下降。图10(a)显示,当随机攻击数量大于25时,TMSE后的C值开始低于原始网络,但差异非常小。这可能是由于原始网络的部分连接在TMSE后发生了变化,因此其对抗随机攻击的能力略有下降。在图10(b)中可以观察到,经过TMSE后的拓扑结构相比初始网络提升了对恶意攻击的鲁棒性。此外,初始网络的C值随着攻击次数增加而迅速下降,这意味着初始网络极易受到恶意攻击。相比之下,经过TMSE后,当攻击次数达到20时,C仍能保持在0.8。
5.6. TMSE的收敛特性
为了评估TMSE的收敛特性,我们给出了当N= 50时两种操作下鲁棒性的增长趋势。如图11(a)所示,在HDO操作下,当迭代轮数接近2000时,鲁棒性趋于收敛。在图11(b)中,当迭代轮数超过3000时,DAO操作下的鲁棒性达到极限。此外,从图11(b)可以观察到,仍存在一些未提升鲁棒性的冗余操作,其原因是DAO中独立边选择的随机性操作。然而,TMSE的整体收敛性和性能是令人满意的。
6. 结论
无标度无线传感器网络因其对随机攻击的抗性而受到广泛关注,但在面对恶意攻击时却较为脆弱。本文研究了提升无标度无线传感器网络在恶意攻击下鲁棒性的策略。考虑到无线传感器网络的实际应用,引入了一种具有无标度特性的容错拓扑模型来生成无标度无线传感器网络。提出了一种名为TMSE的新策略,用于增强无标度拓扑结构在恶意攻击下的鲁棒性。TMSE中的HDO操作通过改变高度节点的连接方式来提高鲁棒性,而DAO操作则使拓扑结构趋向类洋葱结构以进一步增强鲁棒性。HDO操作和DAO操作都需要全网信息来支持独立边的选择,因此该鲁棒性增强方法无法直接在分布式系统中运行。此外,所生成的拓扑结构保持了原有的无标度特性。大量实验结果表明,与其他算法(如SA和ROSE)相比,TMSE能有效提升针对不同类型恶意攻击的鲁棒性。此外,未来我们将致力于减少冗余操作,以提高算法的收敛性。
N= 50, m= 2. (b) N= 50, m= 4. (c) N= 200, m= 2.)
N= 50。( b ) N= 100。( c ) N= 150。( d ) N= 200。)
ID攻击。(b) IB攻击。(c) RD攻击。(d) RB攻击 .)
无标度拓扑结构。(b) 度分布。)
TMSE前重新部署的节点。 ( b ) TMSE后重新部署的节点 SE.)
随机攻击下。(B) 恶意攻击下 k.)
2517

被折叠的 条评论
为什么被折叠?



