摘要:本文是对单个相机和两个电机模组的运动标定公式推导。
如果了解线性代数,能更好的理解本文。
一、结构背景
有两个独立轴坐标系模组,分别是 :


默认二者在垂直Z方向上在同一平面。
其中,Sb的轴上安装了一个相机,Sa没有相机。
目标产品在Sb上实现视觉定位,目标物体所处的载台经由其它机构(如平移传送、或旋转平台),以常量参数转移至Sa坐标系下,由Sa的XY轴控制机械手做相关动作。

图:Mark点从Sb移至Sa
也就是说,整个过程的步聚是,产品mark点在Sb坐标系下时,工业相机对mark进行拍照视觉定位,要据此推导出mark点移至Sa坐标系后的坐标,以引导机械手动作。
二,推导过程
基本思想:
- 根据相机视觉定位结果的视觉坐标P(col, row),以及Sb系下,相机拍照时的相机轴坐标B(X, Y),推导出mark点在Sb系下的坐标表征量W.
这里,易知,处于实验室坐标不同位置的mark点,存在不同且唯一的轴坐标表征值W,该W值与相机拍照时的轴位置无关。 - 使用三个以上的上述mark点,它们实验室坐标位置不同。记录拍照结果Pi和拍照时轴坐标Bi后,将Marks用机构转移至Sa系。
- 使用相关测量手段,获得此时Marks在Sa系下的坐标A(Xi, Yi)。
- 利用求得的Wi与Ai,推导出Sb系与Sa系之间的仿射变换关系M。
- 以上便可建立从相机视觉坐标P到Sa系坐标A的关系了。
推导
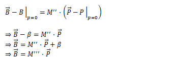
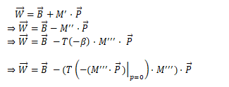
1.mark点在Sb系下的坐标表征量W,

其中,M' 是一个齐次矩阵,是P系到Sb系的变换,待定。
因为上式W值与相机拍照时的Sb轴位置无关,所以:

2.同时,针对任意的一个mark点,当相机拍照位置移动时,视觉像素坐标显然也变化了,它们间的值变化一定满足如下微分关系:

注意,这里是M'' (two primes),而不是M' (single prime)。M''也是一个齐次矩阵,值待定。
上两式可推得:

3.对Sb坐标系做九点标定(如果您愿意,也可以做四点等),据Sb的拍照时的轴坐标Bi, 和相应的像素坐标Pi,可推导出如下仿射变换关系:

其中,M''' (three primes) 也是齐次矩阵,值通过九点标定确定.
4.对2.式所述的微分关系进行不定积分,有:

可以看出,M'''相当于M''作用于P后,再平移beta,即:

这里,T()是代表平移的齐次矩阵。
以及beta的解法:

5.综上,我们求得W:

6.Sa与Sb之间关系,利用多个点对(大于等于3个) ,(Ai, Wi),来求解, 可据此算出Sa与Sb间的仿射关系M:

7.最终式:

其中,A是最后所要求的Sa系的mark目的坐标,B是Sb系相机拍照mark时的实时XY轴坐标,P是相机拍照时所得的实时视觉定位像素坐标。
M''' 是Sb系的相机与轴的九点标定时的(Vision to Motion)的齐次仿射关系矩阵。
M 是 上文所述W到Sa系的齐次仿射关系矩阵。
Beta相当于,九点标定时,当mark位在相机视野相机P(0, 0)上时,拍照位的轴坐标。
三,总结
先做相机所在模组Sb的相机九点标定,由九个像素坐标和九个对应的Sb轴坐标,得到仿射矩阵M''',令p0=(0, 0), 得到
Beta = M''' . p0,并存储以备用。
有了M'''和Beta,代入公式得到Sb系下的mark坐标表征向量W,多个位置不同的mark得到多个不同的W, 第i个W记为Wi。
使用适当的测量方式,得到Wi对应的Sa系下的坐标Ai,从而得到从W到A的仿射关系矩阵M。
至此,标定过程中的核心参数,M''', M, Beta 均得到了,代入公式,就能求得相机在任意位置B时,拍到的像素坐标为P,该点mark转移到Sa系下后,对应的坐标A了。
附言
该坐标系统不算复杂,我用这个作为例子,是为了展示说明,如何比较严谨的用数学来论证坐标转换关系,尽量避免感性的推导想象。这样可以防止迷失在坐标转换中各种正负号的暴力试错上。
时间短暂,文章的组织结构上有任何错乱,请多先包涵
欢迎提出疑问或错误指正。
本文详细介绍了如何通过数学方法推导单个相机和两个电机模组之间的运动标定关系。首先,定义了两个独立坐标系模组Sb和Sa,目标是通过Sb上的相机视觉定位,推导出mark点在Sa坐标系下的坐标,以引导机械手动作。推导过程中涉及相机视觉坐标、Sb轴坐标、齐次矩阵以及仿射变换关系的计算,最终得出从相机视觉坐标到Sa系坐标的转换公式。通过九点标定获取关键参数,完成坐标转换的标定过程。
3665

被折叠的 条评论
为什么被折叠?



