目录
参考
华为云学院
图像的感知和获取
数字化图像的获取过程由光敏传感器开始,传感器的输出一般是连续的电压波形,描述传感器质量的参数包括单元数,尺寸,和传感性能。
图像数字化
使用图像数字化技术将连续的电压波形转换成图像,数字化过程包括采样和量化
采样
采样就是按照一定的时间间隔和空间间隔,在连续的电压波形上采集数据的过程,即离散化。采样的效果由传感器采样间隔和采样口径决定。
分辨率
采样后得到的图像的尺寸称为图像分辨率,由宽(width)和高(height)两个参数构成。例如640*480,指的是这幅图由307200个点组成。不同分辨率采样的效果:

采样的点越多,图像越清晰。
量化
在电压波形上的采样得到了离散的点,但是每个点上的灰度依然是连续的,所以还需要对灰度进行离散化。
灰度级
灰度级(depth)表征了每个采样点的传感器输出中可分辨的最小变化,通常是2的整数次幂。一张8位的图像,表示每个采样点有2^8=256级。从最暗到最亮,可以分辨256个级别。不同灰度级量化的效果如下

数字图像的表示
采样和量化后的数字图像结果在数学上表示为一个矩阵。矩阵中每个元素记录了该采样点量化后的信号强度,对于灰度图而言,该强度是一个从0到灰度级的整数。
彩色图像 - RGB

彩色图像 - HSV
HSV表示色相(hue)、饱和度(saturation)、亮度(value)。Apple的Mac和PS都是采用HSV颜色空间。

其他颜色空间
YUV颜色空间主要用于图像压缩以及传输。CMYK颜色空间用于印刷工业。Lab可以表达自然界中任何颜色。
颜色空间转换
RGB,HSV,YUV等常见颜色空间可以通过计算公式实现转化,这个过程叫做颜色空间转换。
灰度化
灰度化的三种思路:
最大值法:I=max(R,G,B)
平均值法:I=(R+G+B)/3
加权平均法:I=0.11B+0.59G+0.30*R
像素关系
数字图像在计算机里的表示实际上是一个矩阵。像素的下表被称为坐标(x,y),对于坐标为(x,y)的像素p,p有四个水平垂直的相邻像素,称为4-领域:(x-1,y),(x+1,y),(x,y-1),(x,y+1)。有四个对角相邻像素,称为对角邻域:(x-1,y+1),(x+1,y+1),(x-1,y-1),(x+1,y-1)。4-领域和对角领域合称为8-领域。
像素的连接
如果两个像素不仅在空间关系上相邻,并且像素值也符合相似原则,则这两个像素是连接的。相似原则有时候可以是自定义的,例如灰度值相等,或者都在某个集合V中。
4-连接
像素p,q的值都在集合V内,并且q在p的4-邻域中,此时它们是4连接。
8-连接
像素p,q的值都在集合V内,并且q在p的8-邻域中,此时它们是8连接。
像素的连通

如上图所示,如果像素按照连接关系,可以连在一起,说明这些点是连通的。根据连接的方式的不同,可以分为4-连通和8-连通。
连通域
在一张图像中,一个像素集合内部两两连通,而集合外的集合不连通,这样的像素集合称为连通域,根据连通域可以描绘出轮廓。
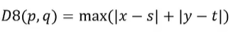
距离度量
欧式距离:

曼哈顿距离:

棋盘距离:

292

被折叠的 条评论
为什么被折叠?



