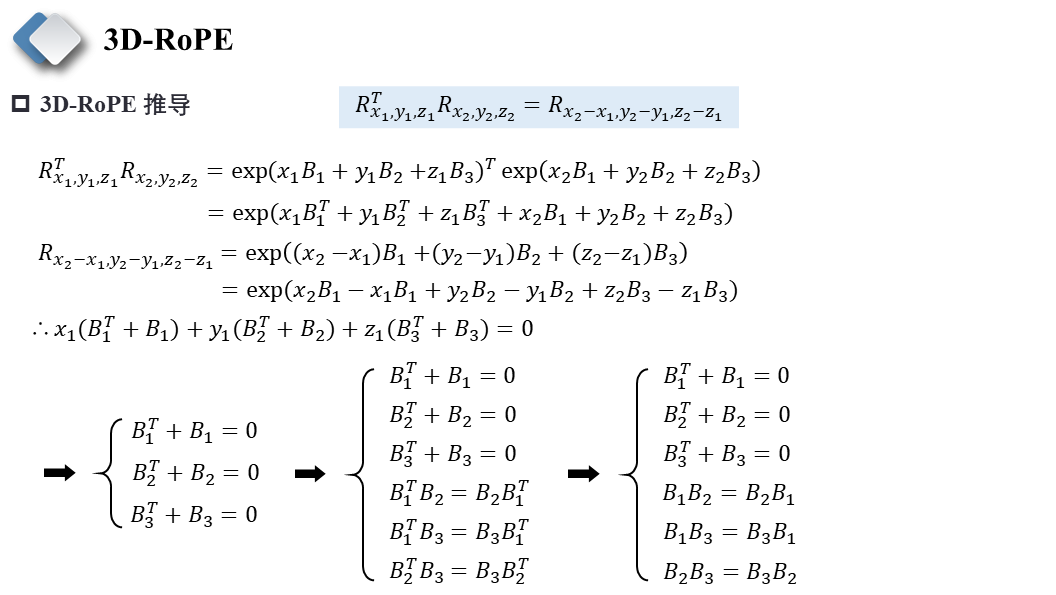
上一节《旋转位置编码RoPE》中简要介绍了1D-RoPE和2D-RoPE的推导以及完备性分析,本节主要将RoPE推广至3D-RoPE并提出自己的一些思考(待验证),同时对多模态大模型中的位置编码进行介绍。(本文仅供学习参考,禁止商用盗用,转载请注明出处)












上一节《旋转位置编码RoPE》中简要介绍了1D-RoPE和2D-RoPE的推导以及完备性分析,本节主要将RoPE推广至3D-RoPE并提出自己的一些思考(待验证),同时对多模态大模型中的位置编码进行介绍。(本文仅供学习参考,禁止商用盗用,转载请注明出处)












1154

被折叠的 条评论
为什么被折叠?