由于RNN也有梯度消失的问题,因此很难处理长序列的数据,大牛们对RNN做了改进,得到了RNN的特例LSTM(Long Short-Term Memory),它可以避免常规RNN的梯度消失,因此在工业界得到了广泛的应用。
从RNN到LSTM
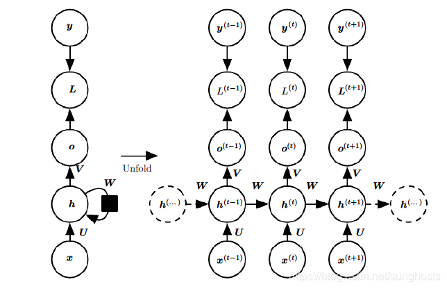
在RNN模型里,我们讲到了RNN具有如下的结构,每个序列索引位置t都有一个隐藏状态 h ( t ) h^{(t)} h(t)。

如果我们略去每层都有的 o ( t ) , L ( t ) , y ( t ) o^{(t)},L^{(t)},y^{(t)} o(t),L(t),y(t),则RNN的模型可以简化成如下图的形式:

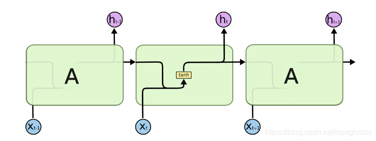
由于RNN梯度消失的问题,大牛们对于序列索引位置t的隐藏结构做了改进,可以说通过一些技巧让隐藏结构复杂了起来,来避免梯度消失的问题,这样的特殊RNN就是我们的LSTM。由于LSTM有很多的变种,这里我们以最常见的LSTM为例讲述。LSTM的结构如下图:

LSTM模型结构剖析
上面我们给出了LSTM的模型结构,下面我们就一点点的剖析LSTM模型在每个序列索引位置t时刻的内部结构。
从上图中可以看出,在每个序列索引位置t时刻向前传播的除了和RNN一样的隐藏状态 h ( t ) h^{(t)} h(t),还多了另一个隐藏状态,如图中上面的长横线。这个隐藏状态我们一般称为细胞状态(Cell State),记为 C ( t ) C^{(t)} C(t)。如下图所示:

除了细胞状态,LSTM图中还有了很多奇怪的结构,这些结构一般称之为门控结构(Gate)。LSTM在在每个序列索引位置t的门一般包括遗忘门,输入门和输出门三种。下面我们就来研究上图中LSTM的遗忘门,输入门和输出门以及细胞状态。
遗忘门
遗忘门(forget gate)顾名思义,是控制是否遗忘的,在LSTM中即以一定的概率控制是否遗忘上一层的隐藏细胞状态。遗忘门子结构如下图所示:

图中输入的有上一序列的隐藏状态 h ( t − 1 ) h^{(t-1)} h(t−1)和本序列数据 x ( t ) x^{(t)} x(t),通过一个激活函数,一般是sigmoid,得到遗忘门的输出 f ( t ) f^{(t)} f(t)。由于sigmoid的输出 f ( t ) f^{(t)} f(t)在[0,1]之间,因此这里的输出 f ( t ) f^{(t)} f(t)代表了遗忘上一层隐藏细胞状态的概率。用数学表达式即为:
f ( t ) = σ ( W f h ( t − 1 ) + U f x ( t ) + b f ) f^{(t)}=\sigma(W_fh^{(t-1)}+U_fx^{(t)}+b_f) f(t)=σ(Wfh(t−1)+Ufx(t)+bf)
其中 W f , U f , b f W_f, U_f, b_f Wf,Uf,bf为线性关系的系数和偏倚,和RNN中的类似。σ为sigmoid激活函数。
LSTM 之输入门
输入门(input gate)负责处理当前序列位置的输入,它的子结构如下图:

从图中可以看到输入门由两部分组成,第一部分使用了sigmoid激活函数,输出为 i ( t ) i^{(t)} i(t),第二部分使用了tanh激活函数,输出为 a ( t ) a^{(t)} a(t), 两者的结果后面会相乘再去更新细胞状态。用数学表达式即为:
i ( t ) = σ ( W i h ( t − 1 ) + U i x ( t ) + b i ) a ( t ) = t a n h ( W a h ( t − 1 ) + U a x ( t ) + b a ) i^{(t)}=\sigma(W_i h^{(t-1)}+U_i x^{(t)}+b_i) \\a^{(t)}=tanh(W_a h^{(t-1)}+U_a x^{(t)}+b_a) i(t)=σ(Wih(t−1)+Uix(t)+bi)a(t)=tanh(Wah(t−1)+Uax(t)+ba)
其中 W i , U i , b i , W a , U a , b a W_i,U_i,b_i,W_a,U_a,b_a Wi,Ui,bi,Wa,Ua,ba,为线性关系的系数和偏倚,和RNN中的类似。σ为sigmoid激活函数。
LSTM之细胞状态更新
在研究LSTM输出门之前,我们要先看看LSTM之细胞状态。前面的遗忘门和输入门的结果都会作用于细胞状态 C ( t ) C^{(t)} C(t)。我们来看看从细胞状态 C ( t − 1 ) C^{(t-1)} C(t−1)如何得到 C ( t ) C^{(t)} C(t)。如下图所示:

细胞状态 C ( t ) C^{(t)} C(t)由两部分组成,第一部分是 C ( t − 1 ) C^{(t-1)} C(t−1)和遗忘门输出 f ( t ) f^{(t)} f(t)的乘积,第二部分是输入门的 i ( t ) i^{(t)} i(t)和 a ( t ) a^{(t)} a(t)的乘积,即:
C ( t ) = C ( t − 1 ) ⊙ f ( t ) + i ( t ) ⊙ a ( t ) C^{(t)}=C^{(t-1)} \odot f^{(t)} + i^{(t)} \odot a^{(t)} C(t)=C(t−1)⊙f(t)+i(t)⊙a(t)
其中,⊙为Hadamard积,在DNN中也用到过。
哈达玛(Hadamard)积:两个形状相同的矩阵同位置相乘。(不同于矩阵乘法)
LSTM之输出门
有了新的隐藏细胞状态 C ( t ) C^{(t)} C(t),我们就可以来看输出门了,子结构如下:

从图中可以看出,隐藏状态 h ( t ) h^{(t)} h(t)的更新由两部分组成,第一部分是 o ( t ) o^{(t)} o(t), 它由上一序列的隐藏状态 h ( t − 1 ) h^{(t-1)} h(t−1)和本序列数据 x ( t ) x^{(t)} x(t),以及激活函数sigmoid得到,第二部分由隐藏状态 C ( t ) C^{(t)} C(t)和tanh激活函数组成, 即:
o ( t ) = σ ( W o h ( t − 1 ) + U o x ( t ) + b o ) h ( t ) = o ( t ) ⊙ t a n h ( C ( t ) ) o^{(t)} = \sigma(W_oh^{(t-1)} + U_ox^{(t)} + b_o) \\h^{(t)} = o^{(t)} \odot tanh(C^{(t)}) o(t)=σ(Woh(t−1)+Uox(t)+bo)h(t)=o(t)⊙tanh(C(t))
通过本节的剖析,相信大家对于LSTM的模型结构已经有了解了。当然,有些LSTM的结构和上面的LSTM图稍有不同,但是原理是完全一样的。
LSTM前向传播算法
现在我们来总结下LSTM前向传播算法。LSTM模型有两个隐藏状态 h ( t ) , C ( t ) h^{(t)}, C^{(t)} h(t),C(t),模型参数几乎是RNN的4倍,因为现在多了 W f , U f , b f , W a , U a , b a , W i , U i , b i , W o , U o , b o W_f, U_f, b_f, W_a, U_a, b_a, W_i, U_i, b_i, W_o, U_o, b_o Wf,Uf,bf,Wa,Ua,ba,Wi,Ui,bi,Wo,Uo,bo这些参数。
前向传播过程在每个序列索引位置的过程为:
1)更新遗忘门输出:
f ( t ) = σ ( W f h ( t − 1 ) + U f x ( t ) + b f ) f^{(t)} = \sigma(W_fh^{(t-1)} + U_fx^{(t)} + b_f) f(t)=σ(Wfh(t−1)+Ufx(t)+bf)
2)更新输入门两部分输出:
i ( t ) = σ ( W i h ( t − 1 ) + U i x ( t ) + b i ) a ( t ) = t a n h ( W a h ( t − 1 ) + U a x ( t ) + b a ) i^{(t)} = \sigma(W_ih^{(t-1)} + U_ix^{(t)} + b_i) \\a^{(t)} = tanh(W_ah^{(t-1)} + U_ax^{(t)} + b_a) i(t)=σ(Wih(t−1)+Uix(t)+bi)a(t)=tanh(Wah(t−1)+Uax(t)+ba)
3)更新细胞状态:
C ( t ) = C ( t − 1 ) ⊙ f ( t ) + i ( t ) ⊙ a ( t ) C^{(t)} = C^{(t-1)} \odot f^{(t)} + i^{(t)} \odot a^{(t)} C(t)=C(t−1)⊙f(t)+i(t)⊙a(t)
4)更新输出门输出:
o ( t ) = σ ( W o h ( t − 1 ) + U o x ( t ) + b o ) h ( t ) = o ( t ) ⊙ t a n h ( C ( t ) ) o^{(t)} = \sigma(W_oh^{(t-1)} + U_ox^{(t)} + b_o) \\h^{(t)} = o^{(t)} \odot tanh(C^{(t)}) o(t)=σ(Woh(t−1)+Uox(t)+bo)h(t)=o(t)⊙tanh(C(t))
5)更新当前序列索引预测输出:
y ^ ( t ) = σ ( V h ( t ) + c ) \hat{y}^{(t)} = \sigma(Vh^{(t)} + c) y^(t)=σ(Vh(t)+c)
LSTM小结
LSTM虽然结构复杂,但是只要理顺了里面的各个部分和之间的关系,进而理解前向反向传播算法是不难的。当然实际应用中LSTM的难点不在前向反向传播算法,这些有算法库帮你搞定,模型结构和一大堆参数的调参才是让人头痛的问题。不过,理解LSTM模型结构仍然是高效使用的前提。
和之间的关系,进而理解前向反向传播算法是不难的。当然实际应用中LSTM的难点不在前向反向传播算法,这些有算法库帮你搞定,模型结构和一大堆参数的调参才是让人头痛的问题。不过,理解LSTM模型结构仍然是高效使用的前提。
2224

被折叠的 条评论
为什么被折叠?



