在前面我们讲到了DNN,以及DNN的特例CNN的模型和前向反向传播算法,这些算法都是前向反馈的,模型的输出和模型本身没有关联关系。今天我们就讨论另一类输出和模型间有反馈的神经网络:循环神经网络(Recurrent Neural Networks ,以下简称RNN),它广泛的用于自然语言处理中的语音识别,手写书别以及机器翻译等领域。
RNN概述
在前面讲到的DNN和CNN中,训练样本的输入和输出是比较的确定的。但是有一类问题DNN和CNN不好解决,就是训练样本输入是连续的序列,且序列的长短不一,比如基于时间的序列:一段段连续的语音,一段段连续的手写文字。这些序列比较长,且长度不一,比较难直接的拆分成一个个独立的样本来通过DNN/CNN进行训练。
而对于这类问题,RNN则比较的擅长。那么RNN是怎么做到的呢?RNN假设我们的样本是基于序列的。比如是从序列索引1到序列索引τ的。对于这其中的任意序列索引号t,它对应的输入是对应的样本序列中的 x ( t ) x^{(t)} x(t)。而模型在序列索引号t位置的隐藏状态 h ( t ) h^{(t)} h(t),则由 x ( t ) x^{(t)} x(t) 和在 t−1位置的隐藏状态 h ( t ) h^{(t)} h(t)共同决定。在任意序列索引号t,我们也有对应的模型预测输出 o ( t ) o^{(t)} o(t)。通过预测输出 o ( t ) o^{(t)} o(t) 和训练序列真实输出 y ( t ) y^{(t)} y(t),以及损失函数 L ( t ) L^{(t)} L(t),我们就可以用DNN类似的方法来训练模型,接着用来预测测试序列中的一些位置的输出。
下面我们来看看RNN的模型。
RNN模型
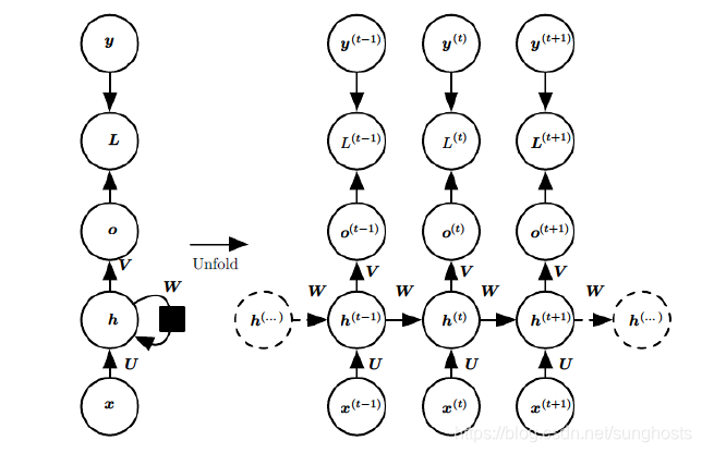
RNN模型有比较多的变种,这里介绍最主流的RNN模型结构如下:

上图中左边是RNN模型没有按时间展开的图,如果按时间序列展开,则是上图中的右边部分。我们重点观察右边部分的图。
这幅图描述了在序列索引号 t 附近RNN的模型。其中:
1) x ( t ) x^{(t)} x(t)代表在序列索引号 t 时训练样本的输入。同样的, x ( t − 1 ) x^{(t-1)} x(t−1)和 x ( t + 1 ) x^{(t+1)} x(t+1)代表在序列索引号 t−1 和 t+1 时训练样本的输入。
2) h ( t ) h^{(t)} h(t)代表在序列索引号 t 时模型的隐藏状态。 h ( t ) h^{(t)} h(t)由 x ( t ) x^{(t)} x(t)和 h ( t − 1 ) h^{(t-1)} h(t−1)共同决定。
3) o ( t ) o^{(t)} o(t)代表在序列索引号 t 时模型的输出。 o ( t ) o^{(t)} o(t)只由模型当前的隐藏状态 h ( t ) h^{(t)} h(t)决定。
4) L ( t ) L^{(t)} L(t)代表在序列索引号 t 时模型的损失函数。
5) y ( t ) y^{(t)} y(t)代表在序列索引号 t 时训练样本序列的真实输出。
6)U,W,V 这三个矩阵是我们的模型的线性关系参数,它在整个RNN网络中是共享的,这点和DNN很不相同。 也正因为是共享了,它体现了RNN的模型的“循环反馈”的思想。
RNN 前向传播算法
有了上面的模型,RNN的前向传播算法就很容易得到了。
对于任意一个序列索引号 t,我们隐藏状态 h ( t ) h^{(t)} h(t)由 x ( t ) x^{(t)} x(t)和 h ( t − 1 ) h^{(t-1)} h(t−1)得到:
h ( t ) = σ ( z ( t ) ) = σ ( U x ( t ) + W h ( t − 1 ) + b ) h^{(t)} = \sigma(z^{(t)}) = \sigma(Ux^{(t)} + Wh^{(t-1)} +b ) h(t)=σ(z(t))=σ(Ux(t)+Wh(t−1)+b)
其中σ为RNN的激活函数,一般为 tanh, b 为线性关系的偏倚。
序列索引号 t 时模型的输出 o ( t ) o^{(t)} o(t)的表达式比较简单:
o ( t ) = V h ( t ) + c o^{(t)} = Vh^{(t)} +c o(t)=Vh(t)+c
在最终在序列索引号 t 时我们的预测输出为:
y ^ ( t ) = σ ( o ( t ) ) \hat{y}^{(t)} = \sigma(o^{(t)}) y^(t)=σ(o(t))
通常由于RNN是识别类的分类模型,所以上面这个激活函数一般是softmax。
通过损失函数 L ( t ) L^{(t)} L(t),比如对数似然损失函数,我们可以量化模型在当前位置的损失,即 y ^ ( t ) \hat{y}^{(t)} y^(t)和 y ( t ) y^{(t)} y(t)的差距。
RNN反向传播算法推导
有了RNN前向传播算法的基础,就容易推导出RNN反向传播算法的流程了。RNN反向传播算法的思路和DNN是一样的,即通过梯度下降法一轮轮的迭代,得到合适的RNN模型参数 U , W , V , b , c U,W,V,b,c U,W,V,b,c。由于我们是基于时间反向传播,所以RNN的反向传播有时也叫做BPTT(back-propagation through time)。当然这里的BPTT和DNN也有很大的不同点,即这里所有的 U , W , V , b , c U,W,V,b,c U,W,V,b,c在序列的各个位置是共享的,反向传播时我们更新的是相同的参数。
为了简化描述,这里的损失函数我们为交叉熵损失函数,输出的激活函数为softmax函数,隐藏层的激活函数为tanh函数。
对于RNN,由于我们在序列的每个位置都有损失函数,因此最终的损失 L 为:
L = ∑ t = 1 τ L ( t ) L = \sum\limits_{t=1}^{\tau}L^{(t)} L=t=1∑τL(t)
其中 V , c V,c V,c的梯度计算是比较简单的:
∂ L ∂ c = ∑ t = 1 τ ∂ L ( t ) ∂ c = ∑ t = 1 τ y ^ ( t ) − y ( t ) ∂ L ∂ V = ∑ t = 1 τ ∂ L ( t ) ∂ V = ∑ t = 1 τ ( y ^ ( t ) − y ( t ) ) ( h ( t ) ) T \frac{\partial L}{\partial c} = \sum\limits_{t=1}^{\tau}\frac{\partial L^{(t)}}{\partial c} = \sum\limits_{t=1}^{\tau}\hat{y}^{(t)} - y^{(t)} \\\frac{\partial L}{\partial V} =\sum\limits_{t=1}^{\tau}\frac{\partial L^{(t)}}{\partial V} = \sum\limits_{t=1}^{\tau}(\hat{y}^{(t)} - y^{(t)}) (h^{(t)})^T ∂c∂L=t=1∑τ∂c∂L(t)=t=1∑τy^(t)−y(t)∂V∂L=t=1∑τ∂V∂L(t)=t=1∑τ(y^(t)−y(t))(h(t))T
但是 W , U , b W,U,b W,U,b的梯度计算就比较的复杂了。从RNN的模型可以看出,在反向传播时,在在某一序列位置t的梯度损失由当前位置的输出对应的梯度损失和序列索引位置t+1时的梯度损失两部分共同决定。对于W在某一序列位置t的梯度损失需要反向传播一步步的计算。我们定义序列索引t位置的隐藏状态的梯度为:
δ ( t ) = ∂ L ∂ h ( t ) \delta^{(t)} = \frac{\partial L}{\partial h^{(t)}} δ(t)=∂h(t)∂L
这样我们可以像DNN一样从δ(t+1)递推δ(t) 。
δ ( t ) = ( ∂ o ( t ) ∂ h ( t ) ) T ∂ L ∂ o ( t ) + ( ∂ h ( t + 1 ) ∂ h ( t ) ) T ∂ L ∂ h ( t + 1 ) = V T ( y ^ ( t ) − y ( t ) ) + W T d i a g ( 1 − ( h ( t + 1 ) ) 2 ) δ ( t + 1 ) \delta^{(t)} =(\frac{\partial o^{(t)}}{\partial h^{(t)}} )^T\frac{\partial L}{\partial o^{(t)}} + (\frac{\partial h^{(t+1)}}{\partial h^{(t)}})^T\frac{\partial L}{\partial h^{(t+1)}} = V^T(\hat{y}^{(t)} - y^{(t)}) + W^Tdiag(1-(h^{(t+1)})^2)\delta^{(t+1)} δ(t)=(∂h(t)∂o(t))T∂o(t)∂L+(∂h(t)∂h(t+1))T∂h(t+1)∂L=VT(y^(t)−y(t))+WTdiag(1−(h(t+1))2)δ(t+1)
对于δ(τ),由于它的后面没有其他的序列索引了,因此有:
δ ( τ ) = ( ∂ o ( τ ) ∂ h ( τ ) ) T ∂ L ∂ o ( τ ) = V T ( y ^ ( τ ) − y ( τ ) ) \delta^{(\tau)} =( \frac{\partial o^{(\tau)}}{\partial h^{(\tau)}})^T\frac{\partial L}{\partial o^{(\tau)}} = V^T(\hat{y}^{(\tau)} - y^{(\tau)}) δ(τ)=(∂h(τ)∂o(τ))T∂o(τ)∂L=VT(y^(τ)−y(τ))
有了δ(t),计算 W , U , b W,U,b W,U,b就容易了,这里给出 W , U , b W,U,b W,U,b的梯度计算表达式:
∂ L ∂ W = ∑ t = 1 τ d i a g ( 1 − ( h ( t ) ) 2 ) δ ( t ) ( h ( t − 1 ) ) T ∂ L ∂ b = ∑ t = 1 τ d i a g ( 1 − ( h ( t ) ) 2 ) δ ( t ) ∂ L ∂ U = ∑ t = 1 τ d i a g ( 1 − ( h ( t ) ) 2 ) δ ( t ) ( x ( t ) ) T \frac{\partial L}{\partial W} = \sum\limits_{t=1}^{\tau}diag(1-(h^{(t)})^2)\delta^{(t)}(h^{(t-1)})^T \\ \frac{\partial L}{\partial b}= \sum\limits_{t=1}^{\tau}diag(1-(h^{(t)})^2)\delta^{(t)} \\\frac{\partial L}{\partial U} =\sum\limits_{t=1}^{\tau}diag(1-(h^{(t)})^2)\delta^{(t)}(x^{(t)})^T ∂W∂L=t=1∑τdiag(1−(h(t))2)δ(t)(h(t−1))T∂b∂L=t=1∑τdiag(1−(h(t))2)δ(t)∂U∂L=t=1∑τdiag(1−(h(t))2)δ(t)(x(t))T
除了梯度表达式不同,RNN的反向传播算法和DNN区别不大,因此这里就不再重复总结了。
RNN 小结
上面总结了通用的RNN模型和前向反向传播算法。当然,有些RNN模型会有些不同,自然前向反向传播的公式会有些不一样,但是原理基本类似。
RNN虽然理论上可以很漂亮的解决序列数据的训练,但是它也像DNN一样有梯度消失时的问题,当序列很长的时候问题尤其严重。因此,上面的RNN模型一般不能直接用于应用领域。在语音识别,手写书别以及机器翻译等NLP领域实际应用比较广泛的是基于RNN模型的一个特例LSTM,下一篇我们就来讨论LSTM模型。
重。因此,上面的RNN模型一般不能直接用于应用领域。在语音识别,手写书别以及机器翻译等NLP领域实际应用比较广泛的是基于RNN模型的一个特例LSTM,下一篇我们就来讨论LSTM模型。
2157

被折叠的 条评论
为什么被折叠?



