本文的内容包括:文本预处理,语言模型和循环神经网络基础
一、文本预处理
文本是一类序列数据,一篇文章可以看作是字符或单词的序列。文本预处理一般包括四个步骤:
(1)读入文本
import collections
import re
# 逐行读取文本
def read_time_machine():
with open('/home/kesci/input/timemachine7163/timemachine.txt', 'r') as f:
lines = [re.sub('[^a-z]+', ' ', line.strip().lower()) for line in f]
return lines
lines = read_time_machine()
print('# sentences %d' % len(lines))
(2)分词:将一个句子划分成若干个词(token),转换为一个词的序列。
def tokenize(sentences, token='word'):
"""Split sentences into word or char tokens"""
if token == 'word': # 按单词分词
return [sentence.split(' ') for sentence in sentences]
elif token == 'char': # 按字符分词
return [list(sentence) for sentence in sentences]
else:
print('ERROR: unkown token type '+token)
tokens = tokenize(lines)
tokens[0:2]
(3)建立字典(vocabulary),将每个词映射到一个唯一的索引(index)
class Vocab(object):
def __init__(self, tokens, min_freq=0, use_special_tokens=False):
counter = count_corpus(tokens) # :
self.token_freqs = list(counter.items())
self.idx_to_token = []
if use_special_tokens:
# padding, begin of sentence, end of sentence, unknown
self.pad, self.bos, self.eos, self.unk = (0, 1, 2, 3)
self.idx_to_token += ['', '', '', '']
else:
self.unk = 0
self.idx_to_token += ['']
self.idx_to_token += [token for token, freq in self.token_freqs
if freq >= min_freq and token not in self.idx_to_token]
self.token_to_idx = dict()
for idx, token in enumerate(self.idx_to_token):
self.token_to_idx[token] = idx
def __len__(self):
return len(self.idx_to_token)
def __getitem__(self, tokens):
if not isinstance(tokens, (list, tuple)):
return self.token_to_idx.get(tokens, self.unk)
return [self.__getitem__(token) for token in tokens]
def to_tokens(self, indices):
if not isinstance(indices, (list, tuple)):
return self.idx_to_token[indices]
return [self.idx_to_token[index] for index in indices]
def count_corpus(sentences):
tokens = [tk for st in sentences for tk in st]
return collections.Counter(tokens) # 返回一个字典,记录每个词的出现次数
vocab = Vocab(tokens)
print(list(vocab.token_to_idx.items())[0:10])
(4)将文本从词的序列转换为索引的序列,方便输入模型
for i in range(8, 10):
print('words:', tokens[i])
print('indices:', vocab[tokens[i]])
输出为:
words: ['the', 'time', 'traveller', 'for', 'so', 'it', 'will', 'be', 'convenient', 'to', 'speak', 'of', 'him', '']
indices: [1, 2, 9, 10, 11, 12, 13, 14, 15, 16, 17, 18, 19, 0]
words: ['was', 'expounding', 'a', 'recondite', 'matter', 'to', 'us', 'his', 'grey', 'eyes', 'shone', 'and']
indices: [20, 21, 22, 23, 24, 16, 25, 26, 27, 28, 29, 30]
上述分词手段有如下缺点:
(1)标点符号通常可以提供语义信息,但是我们的方法直接将其丢弃了
(2)类似“shouldn't", "doesn't"这样的词会被错误地处理
(3)类似"Mr.", "Dr."这样的词会被错误地处理
text = "Mr. Chen doesn't agree with my suggestion."
import spacy # 采用spacy
nlp = spacy.load('en_core_web_sm')
doc = nlp(text)
print([token.text for token in doc])
from nltk.tokenize import word_tokenize # 采用NLTK
from nltk import data
data.path.append('/home/kesci/input/nltk_data3784/nltk_data')
print(word_tokenize(text))
两种方法的输出均为
['Mr.', 'Chen', 'does', "n't", 'agree', 'with', 'my', 'suggestion', '.']
二、语言模型
一段自然语言文本可以看作是一个离散时间序列,给定一个长度为T的词的序列w1,w2,…,wT,语言模型的目标就是评估该序列是否合理,即计算该序列的概率:
![]()
假设序列w1,w2,…,wT中的每个词是依次生成的,有

例如,一段含有4个词的文本序列的概率
![]()
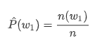
语言模型的参数就是词的概率以及给定前几个词情况下的条件概率。设训练数据集为一个大型文本语料库,如维基百科的所有条目,词的概率可以通过该词在训练数据集中的相对词频来计算,例如,w1的概率可以计算为:

其中n(w1)为语料库中以w1作为第一个词的文本的数量,n为语料库中文本的总数量。
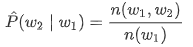
给定w1情况下,w2的条件概率可以计算为:
![]()
其中n(w1,w2)为语料库中以w1作为第一个词,w2作为第二个词的文本的数量。
n 元语法(n-gram):是基于统计的语言模型,为了解决随着序列长度增加,计算和存储多个词共同出现的概率的复杂度会呈指数增加的问题。n元语法通过马尔可夫假设简化模型,马尔科夫假设是指一个词的出现只与前面n个词相关,即n阶马尔可夫链(Markov chain of order n),如果n=1,那么有P(w3∣w1,w2)=P(w3∣w2)。基于n−1阶马尔可夫链,语言模型可改写为:

以上也叫n元语法(n-grams),它是基于n−1阶马尔可夫链的概率语言模型。例如,当n=2时,含有4个词的文本序列的概率就可以改写为:

当n分别为1、2和3时,我们将其分别称作一元语法(unigram)、二元语法(bigram)和三元语法(trigram)。例如,长度为4的序列w1,w2,w3,w4在一元语法、二元语法和三元语法中的概率分别为

当n较小时,n元语法往往并不准确。例如,在一元语法中,由三个词组成的句子“你走先”和“你先走”的概率是一样的。然而,当n较大时,n元语法需要计算并存储大量的词频和多词相邻频率。
n元语法可能具有参数空间过大以及数据稀疏的缺陷。
时序数据的采样
在训练中需要每次随机读取小批量样本和标签。时序数据的一个样本通常包含连续的字符。假设时间步数为5,样本序列为5个字符,即“想”“要”“有”“直”“升”。该样本的标签序列为这些字符分别在训练集中的下一个字符,即“要”“有”“直”“升”“机”,即X=“想要有直升”,Y=“要有直升机”。
现在我们考虑序列“想要有直升机,想要和你飞到宇宙去”,如果时间步数为5,有以下可能的样本和标签:
- X:“想要有直升”,Y:“要有直升机”
- X:“要有直升机”,Y:“有直升机,”
- X:“有直升机,”,Y:“直升机,想”
- ...
- X:“要和你飞到”,Y:“和你飞到宇”
- X:“和你飞到宇”,Y:“你飞到宇宙”
- X:“你飞到宇宙”,Y:“飞到宇宙去”
可以看到,如果序列的长度为T,时间步数为n,那么一共有T−n个合法的样本,但是这些样本有大量的重合,通常采用更加高效的采样方式。有两种方式对时序数据进行采样,分别是随机采样和相邻采样。
随机采样:每个样本是原始序列上任意截取的一段序列,相邻的两个随机小批量在原始序列上的位置不一定相毗邻。
相邻采样:在相邻采样中,相邻的两个随机小批量在原始序列上的位置相毗邻。
三、循环神经网络基础
目的是基于当前的输入与过去的输入序列,预测序列的下一个字符。循环神经网络引入一个隐藏变量H,用Ht表示H在时间步t的值。Ht的计算基于Xt和Ht−1,可以认为Ht记录了到当前字符为止的序列信息,利用Ht对序列的下一个字符进行预测。


裁剪梯度 :
循环神经网络中较容易出现梯度衰减或梯度爆炸,这会导致网络几乎无法训练。裁剪梯度(clip gradient)是一种应对梯度爆炸的方法。假设把所有模型参数的梯度拼接成一个向量 g,并设裁剪的阈值是θ。裁剪后的梯度

的L2范数不超过 θ
困惑度
通常使用困惑度(perplexity)来评价语言模型的好坏。困惑度是对交叉熵损失函数做指数运算后得到的值。特别地,
- 最佳情况下,模型总是把标签类别的概率预测为1,此时困惑度为1;
- 最坏情况下,模型总是把标签类别的概率预测为0,此时困惑度为正无穷;
- 基线情况下,模型总是预测所有类别的概率都相同,此时困惑度为类别个数。
显然,任何一个有效模型的困惑度必须小于类别个数。在本例中,困惑度必须小于词典大小vocab_size。
定义模型训练函数
跟之前章节的模型训练函数相比,这里的模型训练函数有以下几点不同:
- 使用困惑度评价模型。
- 在迭代模型参数前裁剪梯度。
- 对时序数据采用不同采样方法将导致隐藏状态初始化的不同。
972

被折叠的 条评论
为什么被折叠?



