目录
1 虚短和虚断
设集成运放同相输入端和反相输入端的电位分别为up、un,电流分别为ip、in。当集成运放工作在线性区时,输出电压应与输入差模电压成线性关系,即应满足
![]()
由于uo有限,但是放大倍(开环差模增益)数无限大,因而输入电压up-un=0,即两个输入端为“虚短路”,就是两个输入端上的电位无线接近,但又不是真正的短路。
因为净输入电压为零,理想运放的输入电压无穷大,所以两个输入端的输入电流也均为零。
![]()
从输入端看进去相当于断路,,所以乘两个输入端“虚断路” 。两个输入端的电流趋近于零,并不是真正的零。
2 放大倍数的分析
由于引入了深度负反馈,都有虚断和虚断的特点。
2.1 电压串联负反馈


由于输入端Ui等于反馈电压Uf,所以输出电压为

2.2 电压并联负反馈

输入电流Ii等于反馈电流If,集成运放的两个输入端的电位均为零,称为“虚地”,即up=un=0,因此,输出电压
![]()
放大倍数为

2.3 电流串联负反馈

输入电压ui等于反馈电压uf,在R上的电流等于RL的电流,,都等于输出电流Io。所以放大倍数为

输出电压为
![]()
电压放大倍数为

2.4 电流串联负反馈

集成运放的两个输入端“虚地”,反馈电流If等于输入电流Ii,是输出电流Io在R1的分流。

放大倍数

由于
![]()
所以电压放大倍数为

3 对输入电阻的影响
3.1 串联负反馈增大输入电阻

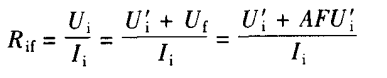
输入电阻是运放放大端看进去的等效电阻,根据输入电阻的定义,

当有反馈时

串联负反馈的输入电阻表达式为![]()
输入电阻增大为原来的(1+AF)倍。
3.2 并联负反馈减小输入电阻

根据输入电阻的定义

整个电路的输入电阻为

因此并联负反馈的输入电阻为

4 对输出电阻的影响
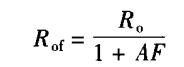
4.1 电压负反馈减小输出电阻
电压负反馈的作用是稳定输出电压,必然会增大输出电阻,

令Xi为零,在输出端加交流电压Uo,产生电流Io,则电路的输出电阻为

Uo作用于反馈网络,得到反馈量Xf=FUo,-Xf又作为净输入量作用于基本放大电路 ,产生输出电压为-AFUo。

带入上式可得输出电阻的表达式为

输出电阻仅为基本放大电路输出电阻的(1+AF)分之一,当(1+AF)趋近于无穷大时,输出电阻趋近于零,则此时具有恒压源的特性。
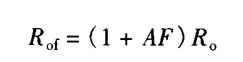
4.2 电流负反馈增大输出电阻





放大(1+AF)倍,输出电阻趋近于无穷大,此时等效于恒流源。
集成运放中的负反馈原理与影响分析
1万+





