1.线性DP
1.1 例题1
给定一个如下图所示的数字三角形,从顶部出发,在每一结点可以选择移动至其左下方的结点或移动至其右下方的结点,一直走到底层,要求找出一条路径,使路径上的数字的和最大。
7
3 8
8 1 0
2 7 4 4
4 5 2 6 5
输入格式
第一行包含整数 n,表示数字三角形的层数。
接下来 n行,每行包含若干整数,其中第 i行表示数字三角形第 i层包含的整数。
输出格式
输出一个整数,表示最大的路径数字和。
数据范围
1≤n≤500,
−10000≤三角形中的整数≤10000
输入样例:
5
7
3 8
8 1 0
2 7 4 4
4 5 2 6 5
输出样例:
30

#include <iostream>
#include <algorithm>
using namespace std;
const int N = 510, INF = 1e9;
int n;
int a[N][N];
int f[N][N];
int main()
{
scanf("%d", &n);
for (int i = 1; i <= n; i ++ )
for (int j = 1; j <= i; j ++ )
scanf("%d", &a[i][j]);
for (int i = 0; i <= n; i ++ )
for (int j = 0; j <= i + 1; j ++ ) //注意这里需要多初始化,因为 (下面图)0会多算右上角
f[i][j] = -INF;
f[1][1] = a[1][1];
for (int i = 2; i <= n; i ++ )
for (int j = 1; j <= i; j ++ )
f[i][j] = max(f[i - 1][j - 1] + a[i][j], f[i - 1][j] + a[i][j]);
int res = -INF;
for (int i = 1; i <= n; i ++ ) res = max(res, f[n][i]);
printf("%d\n", res);
return 0;
}

1.2 例题2
给定一个长度为 N的数列,求数值严格单调递增的子序列的长度最长是多少。
输入格式
第一行包含整数 N。
第二行包含 N个整数,表示完整序列。
输出格式
输出一个整数,表示最大长度。
数据范围
1≤N≤1000,
−109≤数列中的数≤109
输入样例:
7
3 1 2 1 8 5 6
输出样例:
4


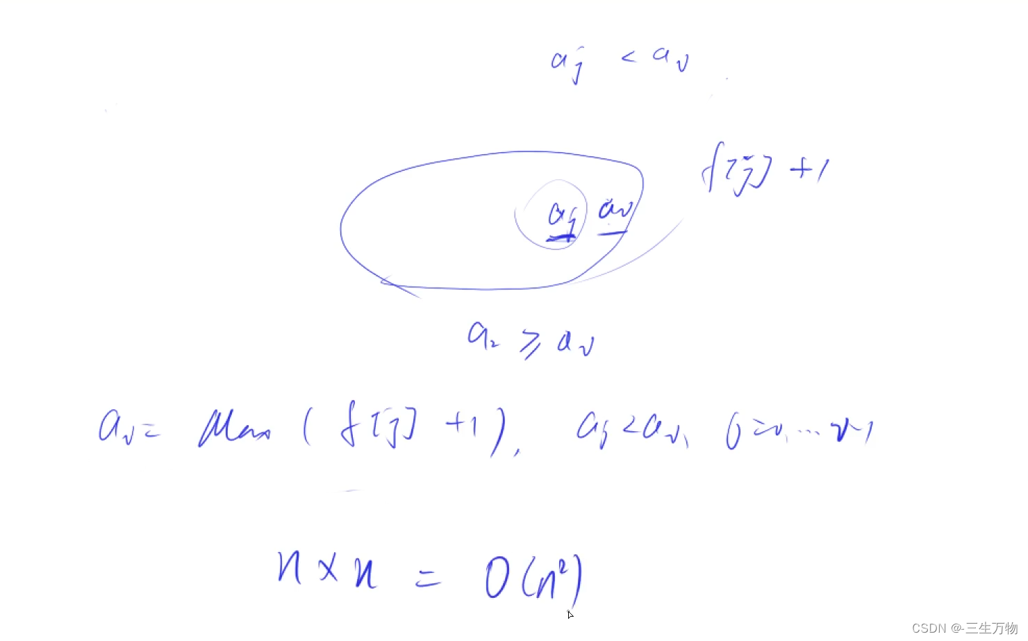
关键点在于考虑所有结尾是 aj, ai的情况:

1.3 例题3
给定两个长度分别为 N和 M的字符串 A和 B,求既是 A的子序列又是 B的子序列的字符串长度最长是多少。
输入格式
第一行包含两个整数 N和 M。
第二行包含一个长度为 N 的字符串,表示字符串 A。
第三行包含一个长度为 M的字符串,表示字符串 B。
字符串均由小写字母构成。
输出格式
输出一个整数,表示最大长度。
数据范围
1≤N,M≤1000
输入样例:
4 5
acbd
abedc
输出样例:
3


1.4 例题4
给定 n个长度不超过 10的字符串以及 m 次询问,每次询问给出一个字符串和一个操作次数上限。
对于每次询问,请你求出给定的 n个字符串中有多少个字符串可以在上限操作次数内经过操作变成询问给出的字符串。
每个对字符串进行的单个字符的插入、删除或替换算作一次操作。
输入格式
第一行包含两个整数 n和 m。
接下来 n行,每行包含一个字符串,表示给定的字符串。
再接下来 m行,每行包含一个字符串和一个整数,表示一次询问。
字符串中只包含小写字母,且长度均不超过 10。
输出格式
输出共 m行,每行输出一个整数作为结果,表示一次询问中满足条件的字符串个数。
数据范围
1≤n,m≤1000,
输入样例:
3 2
abc
acd
bcd
ab 1
acbd 2
输出样例:
1
3
#include <iostream>
#include <algorithm>
#include <string.h>
using namespace std;
const int N = 15, M = 1010;
int n, m;
int f[N][N];
char str[M][N];
int edit_distance(char a[], char b[])
{
int la = strlen(a + 1), lb = strlen(b + 1);
for (int i = 0; i <= lb; i ++ ) f[0][i] = i;
for (int i = 0; i <= la; i ++ ) f[i][0] = i;
for (int i = 1; i <= la; i ++ )
for (int j = 1; j <= lb; j ++ )
{
f[i][j] = min(f[i - 1][j] + 1, f[i][j - 1] + 1);
f[i][j] = min(f[i][j], f[i - 1][j - 1] + (a[i] != b[j]));
}
return f[la][lb];
}
int main()
{
scanf("%d%d", &n, &m);
for (int i = 0; i < n; i ++ ) scanf("%s", str[i] + 1);
while (m -- )
{
char s[N];
int limit;
scanf("%s%d", s + 1, &limit);
int res = 0;
for (int i = 0; i < n; i ++ )
if (edit_distance(str[i], s) <= limit)
res ++ ;
printf("%d\n", res);
}
return 0;
}
2. 区间DP
设有 N堆石子排成一排,其编号为 1,2,3,…,N。
每堆石子有一定的质量,可以用一个整数来描述,现在要将这 N 堆石子合并成为一堆。
每次只能合并相邻的两堆,合并的代价为这两堆石子的质量之和,合并后与这两堆石子相邻的石子将和新堆相邻,合并时由于选择的顺序不同,合并的总代价也不相同。
例如有 4堆石子分别为 1 3 5 2, 我们可以先合并 1、2堆,代价为 4,得到 4 5 2,
又合并 1、2堆,代价为 9,得到 9 2 ,再合并得到 11,总代价为 4+9+11=24;
如果第二步是先合并 2、3堆,则代价为 7,得到 4 7,最后一次合并代价为 11,总代价为 4+7+11=22。
问题是:找出一种合理的方法,使总的代价最小,输出最小代价。
输入格式
第一行一个数 N表示石子的堆数 N。
第二行 N个数,表示每堆石子的质量(均不超过 1000)。
输出格式
输出一个整数,表示最小代价。
数据范围
1≤N≤300
输入样例:
4
1 3 5 2
输出样例:
22
以最后一次分界线位置分类:



上面最后加上的s[j]-s[i-1] 是前缀和


被折叠的 条评论
为什么被折叠?



