目录
1.程序功能描述
通过动态调整节点通信的能量开销,平衡网络负载,延长WSN生命周期。具体通过建立基于距离的能量消耗模型,根据节点间实时距离切换能量计算模式,优化拓扑结构,减少冗余通信能耗。
2.测试软件版本以及运行结果展示
MATLAB2022A/MATLAB2024B版本运行




3.核心程序
..................................................................
%%%%%%%%%%%%%%%%%%%%%%%%%%%%%%%%%%%%%%%%%%%%%%%%%%%%%%%%%%%%%%%
%计算丢包率
dists = [path_distance1+path_distance2+path_distance]/(1+times0);
if dists>1000
dbls(t) = 1;
else
dbls(t) = 0;
end
end
Delays2(jn) = mean(Delays);
consmp2(jn) = mean(abs(1e3*consmp));
dbls2(jn) = mean(dbls);
end
ind1 = find(Delays2 > 1e5);
ind2 = find(Delays2 < 0);
ind = unique([ind1,ind2]);
Delays2(ind) = [];
Delayn(ni) = mean(Delays2)/Smax;
consmpn(ni) = mean(consmp2);
%丢包率
ind1 = find(dbls2 < 0);
dbls2(ind1) = [];
dbl(ni) = mean(dbls2);
end
figure;
plot(SPEED,Delayn,'b-o');
grid on
xlabel('发送速率(bits/s)');
ylabel('时延');
figure;
plot(SPEED,consmpn,'b-o');
grid on
xlabel('发送速率(bits/s)');
ylabel('能耗');
figure;
plot(SPEED,dbl,'b-o');
grid on
xlabel('发送速率(bits/s)');
ylabel('丢包率');
Life = E0/consmpn(end);
save R1.mat SPEED Delayn
save R2.mat SPEED dbl
save R3.mat SPEED Life
save R4.mat SPEED consmpn
12_076m
4.算法仿真参数
%节点分布范围
SCALE = 500;%
%初始节点能量
E0 = 50;
%节点之间的通信半径
Radius= 100;%
FRadius= 100;%
%节点最大移动速度
Vmax = 0;%
%数据发送包速率
Smax = 30;%
%数据发送包长度
SLen = 2000;%
%节点通信阈值
LRad = 87;
%电路能耗系数
Eelec = 5e-8;
%信道传播模型的能耗系数
Efs = 1e-11;
%信道传播模型的能耗系数
Eap = 1.3e-15;
%压缩比
u = 0.5;%
%初始变异概率
P = 0.5;%
MTKL = 10000;%
Times = 2;%仿真时间
5.算法理论概述
能量消耗模型
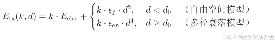
发送能量Etx(k,d),发送kbit数据、距离为d时的总能耗,包括电子电路能耗和功率放大能耗:

物理意义:近距离通信时,能量主要消耗在电子电路;远距离时,功率放大能耗占主导,且随距离急剧增加。
接收能量Erx(k),接收kbit数据的能耗,仅包含电子电路能耗:Erx(k)=k⋅Eelec.


算法原理
基于距离的动态能量调整机制,根据节点间实时距离d,动态切换能量计算模型(自由空间或多径衰落),并通过拓扑控制优化节点通信链路,确保:
1.近距离节点采用低功耗的自由空间模型通信;
2.远距离节点通过多跳中继缩短传输距离,避免直接长距离通信导致的高能耗;
3.周期性更新节点位置与距离,动态调整拓扑,平衡全网能耗。
关键假设
1.节点具备有限的移动性或静止,可通过 GPS、无线定位等技术获取坐标;
2.节点间通信链路对称(即A到B的距离等于B到A的距离);
3.网络采用分层或平面拓扑结构,支持多跳路由。
基于距离变化的动态能量开销调整算法,通过精准建模节点能耗与距离的关系,实现了WSN 拓扑的低功耗优化。其核心在于根据实时距离切换能量模型,结合多跳中继和动态拓扑维护,平衡了能耗、时延与网络稳定性。
6.参考文献
[1]陈星.基于能量与连通度的WSN拓扑控制算法研究[D].东北大学,2011.DOI:10.7666/d.J0119141.
[2]游路瑶,万羊所,彭德军,等.基于势博弈的WSN分布式拓扑控制算法[J].计算机应用研究, 2017, 34(8):2496-2501.
7.完整程序
VVV

829

被折叠的 条评论
为什么被折叠?



