计算题详解
口袋应试:在系统集成工程师的考试中,计算题占很重的比例,按照以往的考试经验,上午客观题一般在5-7分左右,下午案例更是必考计算题。本篇内容是信息系统项目管理师(高项)的计算题详解内容,是几年前我备考高项的时候再网络上找到的复习资料,时隔多年已经找不到出处了。该篇复习资料详细讲解了集成中级及高项所有计算题类型。强烈推荐必须掌握!!!。掌握该篇计算题不仅对中级考试有帮助,对将来高项的考试也有很好的复习作用。所以,学会信息系统项目管理的几个计算公式并熟练掌握是非常重要的。本篇文章汇集整理了网友、以及我个人复习时的资料,包含计算的公式和例题。学会本篇所有的计算公式和例题,考试中的计算题是没问题的。重点强调一下:关键路径法一定要会画,会算。挣值分析一定要弄懂PV、EV、AC、CV、SV、CPI、SPI都是什么,怎么算。否则想考过很难。
一、 时间管理:关键路径法(重点)、完工概率(难点)
关键路径法:上下午都可能考核,涉及到:ES、EF、LS、LF计算;关键路径计算、总时差、自由时差。
完工概率:考核基础是三点估算法,标准差,在此基础上进行延伸,考核活动完成的概率,要求掌握标注差的公式以及对应的概率。应对的关键方法是“面积法”,通过“面积法”解百题。
原理:
●项目分解为若干任务(wbs)
●为每个任务确定工期(固定值)
●把所有的任务按逻辑关系连接起来,从开始到完成组成许多条路径
●计算所有路径的持续时间
●找出最长的路径和持续时间
(一)、关键路径的基本问题及答案
●问题:关键路径是什么
答案:在网络图的各条路径中,总工期最长的那一条或几条
●问题:关键路径可以超过一条吗?
答案:可以。可以有两条甚至以上
●问题:关键路径是一成不变的吗?
答案:不是。在进度计划的优化或项目实施过程中,关键路径可能发生变化
●问题:关键路径越多,对项目意味着什么?
答案:关键路径越多,项目的风险就越大,就越难管理
●问题:关键路径上可以有虚活动吗?
答案: 可以(在箭线法中)
●问题:会出现负浮动时间吗?
答案: 会。如果关键路径上的活动被延误了,或者管理层要求比原定日期提前完工
● 问题:出现负浮动时间时,怎么办?
答案: 负浮动时间必须尽快加以解决,可以进行赶工、快速跟进、并行等。
(二)、“ES”、“EF”、“LS”、“LF”的概念:
1、最早开始时间(ES):某项活动能够开始的最早时间。
2、最早结束时间(EF):某项活动能够完成的最早时间。EF=ES+工期估算
3、最迟结束时间(LF):为了使项目按时完成,某项工作必须完成的最迟时间
4、最迟开始时间(LS):为了使项目按时完成,某项工作必须开始的最迟时间
(三)、 “LS=LF”——工期估算
需要注意的几点:
1、关键路径上工作的最早开始时间等于最晚开始时间、最早结束时间等于最晚结束时间
2、总时差=本活动的最迟开始时间一本活动的最早开始时间
3、白由时差=紧后活动的最早开始时间一本活动的最早结束时间(如果有多个紧后活动,则紧后活动的最早开始时间是这些活动的最早开始时间的最早者)
●物理含义:某个工作(活动)的总时差是该工作的开工允许延误的时间,在该进时间内,不影响项目的工期。
● 某个工作(活动)的白由时差是该工作的完工允许延误的时间,在该时间内不影响项目的工期
方法:
使用正推法计算最早开始日期(ES),最早结束日期(EF),
使用逆推法计算最迟开始日期(LS),最迟结束日期(LF),
开始节点ES为0时:总时差= LS – ES 或LF ‐ EF;工期=EF-ES或LF-LS;
自由时差=紧后工作的ES ‐ 此活动的EF
开始节点ES为1时:
总时差= LS – ES 或LF ‐ EF;
工期=EF-ES+1或LF-LS+1
自由时差=紧后工作的ES ‐ 此活动的EF ‐ 1


● 例题:
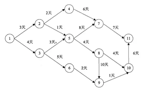
  下图为某工程进度网络图,结点1为起点,结点11为终点,那么关键路径为 (1) ,此工程最快 (2)天完成.

1:
A.1-3-5-8-9-10-11
B.1-2-4-7-11
C.1-3-5-7-11
D.1-2-5-8-10-11
2: A.18 B.28 C.22 D.20
答案:A;B
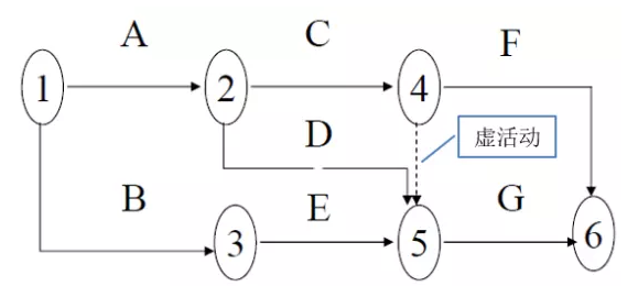
● 例题:
某项目最初的网络图如下图所示,为了压缩进度,项目经理根据实际情况使用了快速跟进的方法:在任务A已经开始一天后开始实施任务C,从而使任务C与任务A并行3天.这种做法将使项目____。
A. 完工日期不变
B. 提前4天完成
C. 提前3天完成
D. 提前2天完成

答案:D
● 例题:
下图中活动“G”可以拖延()周而不会延长项目的最终结束日期。

A. 0
B. 1
C. 3
D. 4
答案:D
● 例题:
一项任务的最早开始时间是第三天,最晚开始时间是第13天,最早完成时间是第9天,最晚完成时间是第19天.该任务______。
A. 在关键路径上
B. 有滞后
B. 进展情况良好
D. 不在关键路径上
解答:
若任务在关键路径上,则ES=LS且EF=LF,该题ES和LS;EF和LF不相等,所以选D
● 例题:
某项目的时标网络图如下图所示(时间单位:周),在项目实施过程中,因负责实施的工程师误操作发生了质量事故,需整顿返工,造成工作4-6拖后3周,受此影响,工程的总工期会拖延____周。

解答:B
● 例题:
某车间需要用一台车床和一台铣床加工A,B,C和D四个零件.每个零件都需要先用车床加工,再用铣床加工.车床与铣床加工每个零件所需的工时(包括加工前的准备时间及加工后的处理时间)如下表所示。

  若以A,B,C和D零件顺序安排加工,则共需32小时。适当调整零件加工顺序,可是所需总工时最短。在这种最短工时方案中,零件A在车窗上的加工顺序安排在第__(1)__位,四个零件加工共需__(2)__小时。
1):A. 1 B. 2 C. 3 D. 4
2):A. 21 B. 22 ; C. 23 D. 24
解答:
对于制定的加工顺序,如何描述其加工所需时间呢?这是解答本题首先要解决的问题。以顺序安排加工A,B,C和D这四个零件为例,我们可以用甘特图将工作进度描述为如图10-9所示

其中横轴表示时间。从零件A在车床上加工开始作为坐标0,并以小时为单位。纵轴表示车床和铣床。车床和铣床加工某零件的进度情况以横道表示。
为了缩短总工时,应适当调整加工顺序,以缩短铣床最后的加工时间(车床完工后需要用铣床的时间)和多端车床最先的加工时间(铣床启动前需要等待的时间)。所以,应采取如下原则来安排零件的加工顺序。
在给定的工时表中找出最小值,如果它是铣床时间,则该零件应最后加工;如果它是车床时间,则该零件应最先加工,除去该零件后,又可以按此原则继续进行安排。这样,本题中,最小工时为1小时,这是零件B所用的铣床加工时间,所以,零件B应放在最后加工。除去零件B后,最小工时为2小时,这是零件C所需的车床加工时间。所以,零件C应最先加工,再除去零件C以后,工时表示最短的时间为3小时。是零件A所需的铣床加工时间。因此,零件A应该安排在零件D以后加工。
这样,最优方案应是按照C,D,A和B零件的顺序来加工,其甘特图如图10-10所示。

答案:1) C 2) B
● 例题:
在工程网络计划中,工作M的最早开始时间为第16天,其持续时间为5天。该工作有三项紧后工作,他们的最早开始时间分别为第25天、第27天和第30天,最迟开始时间分别为第28天、第29天和第30天。则工作M的总时差为()天。
A. 5 B. 6 C. 7 D. 9
解答:
工作M 的最早开始时间为第 16 天,其持续时间为 5 天。因此,工作 M 的最早结束时间为第 16 +5 =21天。
工作M 有三项紧后工作,他们的最迟开始时间分别为第 28 天、第 29 天和第 30 天。因此工作M 的最迟结束时间为三者之中最小的第28天。
工作M 的总时差 =工作M 的最迟结束时间 -工作M 的最早结束时间 = 28-21 = 7天。
白由时差=紧后活动的最早开始时间一本活动的最早结束时间(如果有多个紧后活动,则紧后活动的最早开始时间是这些活动的最早开始时间的最早者)
答案为“C”
(四)、关键路径法“CMP”——正推法:

从网络图左侧开始,为每项活动指定最早开始ES和最早结束EF时间,进行到网络图结束(最右边)。
1、任一活动的最早开始时间,等于所有前置活动的最早结束时间的最大者;
2、任一活动的最早结束时间,等于该活动的最早开始时间 + 该活动工期;
3、没有前置活动的,ES等于项目的开始时间。
(五)、关键路径法“CMP”——逆推法:
从网络图右侧开始,为每项活动制定最迟开始和最迟结束时间,进行到网络图开始(最左边)。
1、任一活动的最迟结束时间,等于所有后续活动的最迟开始时间的最小者;
2、任一活动的最迟开始时间,等于该活动的最迟结束时间-该活动工期;
3、没有后续活动的,LF等于项目的结束时间或者规定的时间。
● 例题:
阅读下列说明,回答问题1至问题3,将解答填入答题纸的对应栏内。
【说明】:下图为某项目主要工作的单代号网络图。工期以工作日为单位。

问题1:
请在图中填写各活动的最早开始时间(ES)、最早结束时间(EF)、最晚开始时间(LS)、最晚结束时间(LF),从第0天开始计算。
问题2:
请找出该网络图的关键路径,分别计算工作B、工作C的总时差和自由时差,说明此网络工程的关键部分能否在40个工作日内完成,并说明具体原因。
问题3:
请说明通常情况下,若想缩短工期可采取哪些措施。
解答:
问题1:

问题2:
1) 关键路径;A-C-D-E
2) 工作B的总时差为7,自由时差也为7;工作C的总时差为0,自由时差也为0。
3) 总工期=5+15+15+10=45个工作日,该项目的主要工作不能在40个工作日内完成。
问题3:
1) 赶工:缩短关键路径上的工作历时,具体方法可用追加资源、改进方法和技术、使用高素质的资源或经验更丰富人员。
2) 快速跟进:采用并行史工方法以压缩工期。
二、PERT**(计划评审技术)**


● 例题:
公司的某项目即将开始,项目经理估计该项目10天即可完成,如果出现问题耽搁了也不会超过20天完成,最快6天即可完成。根据项目历时估计中的三点估算法,你认为该项目的历时为__(1)__该项目历时的估算标准差为(2)。
1)A.10天 B.11天 C.12 天 D.13天
2)A.2.1天 B.2.2天 C.2.3天 D.2.4天
解答:
1)B T=(6+4x10+20)/6=11
2)C σ=(20-6)/6=2.3
●更多的备考复习资料,可以查看我的博客:跬步郎的博客 。或者关注我的个人公众号“跬步郎”。
● 例题:
● A任务持续时间悲观估计为36天,最大可能估计为21天,乐观估计为6天。那么A行为在16到26天之间完成的概率有多大?
A.55.70% B.68.26% C.95.46% D.99.73%
解答:
(1)求出σ σ = (36-6)/ 6 = 5
(2) 由 σ可知 21+5=26 21-5=16, 因此16—26天落在1 σ分布内。
(3) 由1 σ的概率P为68.26可得答案为 B. 68.26%
注意:必须记住三个数字是 1,σ 68.3% 2,σ 95.5% 3,σ 99.7%
(一)、**活动排序网络图有三种类型:**
1、 前导图(PDM)/单代号网络图(AON)
2、 箭线图(ADM)/双代号网络图(AOA)
3、 条件网络图
(二)、单代号网络图特点:
1、用节点表示活动,用箭线表示活动之间的关系;
2、一项活动前的活动为紧前活动;后面的活动为紧后活动;
3、活动之间可以表达四种逻辑关系
(三)、 双代号网络图特点:
1、用箭线表示活动,活动之间用节点(事件)连结;
2、有虚活动。
(四)、 双代号网络中的虚活动:
1)、AOA网络因为表达活动关系的需要;
2)、虚活动没有历时,不需要资源;
3)、用带箭头的虚线表示。

● 例题:
张某是 M 公司的项目经理,有着丰富的项目管理经验,最近负责某电子商务系统开发的项目管理工作。该项目经过工作分解后,范围已经明确。为了更好地对项目的开发过程进行监控,保证项目顺利完成,张某拟采用网络计划技术对项目进度进行管理。经过分析,张某得到了一张工作计划表,如表 1 所示。

事件 1:
为了表明各活动之间的逻辑关系,计算工期,张某将任务及有关属性用以下样图表示,然后根据工作计划表,绘制单代号网络图。
其中,ES 表示最早开始时间;EF 表示最早结束时间;LS 表示最迟开始时间;LF 表示最迟结束时间;DU 表示工作历时;ID 表示工作代号。
事件 2:
张某的工作计划得到了公司的认可,但是项目建设方(甲方)提出,因该项目涉及融资,希望项目工期能够提前 2 天,并可额外支付 8 万元的项目款。
事件 3:
张某将新的项目计划上报给了公司,公司请财务部估算项目的利润。
【问题 1】:
(1)请按照事件 1 的要求,帮助张某完成此项目的单代号网络图。
(2)指出项目的关键路径和工期。
【问题 2】
在事件 2 中,请简要分析张某应如何调整工作计划,才能满足建设方的工期要求,又尽量节省费用。
【问题 3】
请指出事件 3 中,财务部估算的项目利润因工期提前变化了多少,为什么?

解答:
1、关键路径为ACDGH,工期44天
2、应该将C压缩1天,D压缩1天
3、利润增加5W,因为缩短CD工期各1天,会增加5W的费用,但是节约了间接费用2W元,且额外支付8W元,因此项目利润增加了5W元(8+2-5=5)

三、 成本管理:挣值分析完工预测
(一)、 **挣值分析:**
早期只需要记住三个参数,4个制表以及公式即可。PV、EV、AC、CV、SV、CPI、SPI。但是现在没这么简单了,深入考核PV、EV、AC的理解,从一段文字描述中计算出PV、EV、AC,对于概念没有掌握者,很难拿全分。
(二)、**完工预测:**
难点。关键在于掌握典型偏差和非典型偏差,早期记公式,能够判断典型或非典型偏差即可解题,现在考核对公式的理解,因此,要求能够推到出典型偏差的公式,并能够充分理解。
● 变量:
-- EV、PV、AC、BAC
-- CV、SV、EAC、ETC
-- CPI、SPI
● 公式:
-- CV=EV‐AC, SV=EV‐PV
-- CPI=EV/AC(支出), SPI=EV/PV(进度)
● 预测技术:
ETC=(BAC‐EV)当前偏差被看做是非典型的
ETC=(BAC‐EV)/CPI当前偏差被看做是代表未来的典型偏差
EAC=AC+ETC ‐‐‐‐衍化为下面两个公式
EAC=AC+BAC‐EV当前偏差被看做是非典型的
EAC=AC+(BAC‐EV)/CPI当前偏差被看做是代表未来的典型偏差
跬步郎注:典型就是正常情况下,非典型就是非正常情况下。



● 例题:
某信息系统开发项目由系统集成商A公司承建,工期1年,项目总预算20万元。目前项目实施已进行到第8个月末。在项目例会上,项目经理就当前的项目进展情况进行了分析和汇报。截止第8个月末项目执行情况分析表如下:

● [问题1]:
请计算截止到第8个月末该项目的成本偏差(CV)、进度偏差(SV)、成本执行指数(CPI)和进度执行指数(SPI);判断项目当前在成本和进度方面的执行情况。
● [问题2]:
请简要叙述成本控制的主要工作内容。
● 解答:
问题1:
PV=2000+5000+10000+75000+65000+20000=177000
AC=2100+4500+12000+86000+60000+15000=179600
EV=2000*100%+5000*100%+10000*100%+75000*90%+65000*70%+20000*35%=137000
CV=EV-AC=137000-179600=-42600
SV=EV-PV=137000-177000=-40000
CPI=EV/AC=137000/179600=0.76
SPI=EV/PV=137000/177000=0.77
项目当前执行情况:成本超支,进度滞后。
问题2:
1)、对造成成本基准变更的因素施加影响。
2)、确保变更请求获得同意。
3)、当变更发生时,管理这些实际的变更。
4)、保证潜在的成本超支不超过授权的项目阶段资金和总体资金。
5)、监督成本执行,找出与成本基准的偏差。
6)、准确记录所有与成本基准的偏差。
7)、防止错误的、不恰当的或未获批准的变更纳入成本或资源使用报告中。
8)、就审定的变更,通知项目干系人。
9)、采取措施,将预期的成本超支控制在可接受的范围内。
● 例题:
在项目实施中间的某次周例会上,项目经理小王用下表向大家通报了目前的进度。根据这个表格,目前项目的进度()。

A. 提前于计划7%   B. 落后于计划18%
C. 落后于计划7%   D. 落后于计划7.5%
解答:
SPI=100000-(18000+45000+30000)/100000=7%
答案:C
● 例题:
项目经理小张对自己正在做的一个项目进行成本挣值分析后,画出了如下图所示的一张图,当前时间为图中的检查日期。根据该图小张分析:该项目进度(1),成本(2)。

1)A. 正常 B. 落后 C. 超前 D. 无法判断
2)A. 正常 B. 超支 C. 节约 D. 无法判断
答案:C,B
● 例题:
某项目经理将其负责的系统集成项目进行了工作分解,并对每个工作单元进行了成本估算,得到其计划成本:第四个月底时,各任务的计划成本、实际成本及完成百分比如下表:

● 问题1:
请分别计算该项目在第四个月底的PV、EV、AC值,并写出计算过程=请从进度和成本两方而评价此项目的执行绩效如何,并说明依据。
● 问题2:
有人认为:项目某一阶段实际花费的成本(AC)如果小于计划支出成本(PV),说明此时项目成本是节约的,你认为这种说法对吗?请结合本题说明为什么。
● 问题3:
(1)如果从第五月开始,项目不再出现成本偏差,则此项目的预计完工成本(EAC)是多少?
(2)如果项目仍按目前状况继续发展,则此项目的预计完工成本(EAC)是多少?
(3)针对项目目前的状况,项目经理可以采取什么措施?
解答:
● 问题1:
挣值(EV)是指截止到当前日期,实际完成工作对应的预算成本,该值是批准认可的预算,即到某一日期已完成工作应当投入的资金。例如:对于如上表中的任务A,其挣值EV=10*80%=8万元。
根据以上定义,可求出上表中前4个月每项任务的EV及第4个月底PV、AC和EV的合计值,如下表所示:

在上表中,成本偏差CV=EV-AC=37.1-38.5=1.4万元,表示当前项目所花费用比预算超支。
进度偏差SV=EV-PV=37.1-41=-3.9万元,表示当前项目进度滞后
成本绩效指数CPI=EV/AC=37.1/38.5≈96.36% < 100%,表示当前项目所花费用比预算超支,资金使用效率较低。
进度绩效指数SPI=EV/PV=37.1/41≈90.49% < 100%,表示当前项目进度滞后,进度效率较低。
综合计算结果可知,第4个月底项目的费用比预算超支,资金使用效率较低,并且进度滞后,进度效率较低。
● 问题2:
这种说法有误,在本案例中,该项目第4个月底的AC=38.5万元 < PV=41万元,但EV=37.1万元 < AC < PV。结合问题1的分析结果可知,该项目目前所使用的费用超过预算。可见,评判一个项目在某一阶段的成本是节约还是超支,不能简单地将该项目在该阶段的实际花费成本(AC)与计划支出成本(PV)进行简单的对比。而应该将在既定的时间段内实际完工工作的预算成本(EV)作为重要的考虑因素之一。
● 问题3:
依题意,该项目在完成时各任务的总PV=41万元,即BAC=41万元。
1)、如果从第5个月开始,项目不再出现成本偏差(即当前的偏差被看做是非典型的,项目团队预期在以后将不会发生这种类似偏差)。则该项目剩余工作所需的估算ETC等于BAC减去截止到目前的累加挣值(EV©)(即ETC=(BAC-EV©)=41-37.1=3.9万元),此项目最可能的总体预算值,即预计完工成本EAC=AC©+BAC-EV©=AC©+ETC=38.5+3.9=42.40万元。
2)、如果项目仍按目前状况继续发展(即当前的偏差被看做是可代表未来的典型偏差),则该项目剩余工作所需的估算ETC等于BAC减去截止到目前的累加净值(EV©)(即ETC=(BAC-EV)=41-37.1=3.9万元),此项目最可能的总体预算值,即预计完工成本EAC=AC©+((BAC-EV)/CPI©)=AC©+ETC=38.5+4.047=42.547万元。
3)结合问题1的分析结果可知,到了第4个月月底的时候,该项目的费用比预算超支,资金使用效率较低,并且进度滞后,进度效率较低。因此为了保证这一项目成本目标和进度目标的实现,项目经理可以采取的调整措施有:1、提高工作效率,例如用工作效率高的人员更换一批工作效率低的人员等;2、加班(或赶工),或在防范风险的前提下并行施工(快速跟进);3、加强成本监控等。
四、 **立项管理:NPV、投资回收期**
教材里面有,下午案例出题的概率很低,一般在上午客观题中出现,1-2分。涉及的概念比较多,计算公式也比较多,如:计算现值、NPV、投资回收期、投资回收率、投资回报率。考核方式非常灵活,考题出题的空间也比较大。
1、财务净现值 NPV 指今后某年的Y元相当于今年的X元
2、投资收益率ROI
建成投产后,在运营正常年获得的净收益与项目总投资之比。
3、投资回收期(Payback Period)
项目从投产年算起,用每年的净收益将初始投资全部收回的时间。
静态投资回收期(Pt)计算公式:
Pt = [累计净现金流量开始出现正值的年份数] - 1 +[上年累计净现金流量的绝对值 / 当年净现金流量]
动态投资回收期动态投资回收期( T )计算公式:
动态投资回收期(年)= [累计净现金流量现值开始出现正值年份数] - 1+[上年累计净现金流量现值的绝对值 / 当年净现金流量现值]
● 例题:
某软件公司项目A的利润分析如下所示。设贴现率为10%,第二年的利润净现值是()元。
![]()
A. 1378190 B. 949167 C. 941322 D.922590
解答:
1139000/(1+10%)=941322
答案:C
● 例题:
某项目各期的现金流量如下表所示:
![]()
设贴现率为10%,则项目的净现值约为()。
A. 140 B. 70 C. 34 D. 6
解答:
某年的净现金流量是指该年现金流量乘于当年贴现系数。基于上表的数据,该项目的成本收益分析表如下表所示

因此,该项目的净现值约为33.619万元。另外,该项目的动态投资回收期=累计的利润净现值开始出现正值的年分数-1+上一年累计的利润净现值的绝对值/出现正值年份的利润净现值=2-1+1-329.9975/363.616≈1.908;该项目的投资收益率=1/1.908*100%≈52.41%
答案:C
● 例题
某软件企业2006年初计划投资2000万人民币开发某产品,预计从2007年开始盈利,各年产品销售额如表所示。根据表中的数据,该产品的静态投资回收期是(1)年,动态投资回收期是(2)年。(提示:设贴现率为0.1)

1)A. 1.8 B. 1.9 C. 2 D. 2.2
2)A. 2 B. 2.1 C. 2.4 D. 3
解答:
在题干中表的基础上,添加“累计年利润”和“累计年利润现值”,可得到下表:

假定2007年为时间的“现在”,则静态投资回收期是1 + 1010/1210 = 1.83
动态投资回收期是 2 + 100/900 = 2.1
因此:
(1)的正确选项为A
(2)的正确选项为B
● 例题:
某项目投资额为190万元,实施后的利润分析如下表所示:
![]()
假设贴现率为0\. 1,则项目的投资收益率为(1)。
(1)A .0 .34 B.0.41 C.0.58 D.0.67

五、 管理科学基础、运筹学
(每次考试上午客观题1-2分,建议最后做,比较占用时间)
考核内容:线性规划、决策论、资源分配等
图论:掌握“破圈法”即可应付所有题型
线性规划:列方程解题。识别决策变量。
决策论:最简单,能够看懂,能够画决策树,知道悲观乐观主义准则的公式。
资源利用:难。考核形式比较多。比如,和关键路径结合起来考人员的分派问题。
(一)、**最短路径**
● 例题
某公司从甲地向丁地远送物资,运送过程中先后需要经过乙、丙两个中转站,其中乙中转站可以选择乙 1 和乙 2 两个可选地点,病中转站可以选择丙 1、丙 2和丙 3 三个可选地点,各相邻两地之间的距离如表所示,则甲地到丁地之间的最短距离为()。

A. 64 B. 74 C. 76 D.68
参考答案:B
(二)、**最大收益的问题**
● 例题:
某公司现有 400 万元用于投资甲、乙、丙三个项目,投资额以百元为单位,已知甲、乙、丙三项投资的可能方案及相应获得的收益如下表所示:

则该公司能够获得的最大收益值是()百万元。
A. 17 B. 18 C. 20 D. 21
参考答案:B
(三)、**线性规划问题**
● 例题:
某企业需要采用甲、乙、丙三种原材料生产Ⅰ、Ⅱ两种产品。生产两种产品所需原材料数量、单位产品可获得利润以及企业现有原材料数如表所示:

则公司可以获得的最大利润是__(1)__万元。取得最大利润时,原材料__(2)__尚有剩余。
(1) A.21 B.34 C.39 D.48
(2) A.甲 B.乙 C.丙 D.乙和丙
解答:
设生产的产品I为x吨,产品II为y吨,则:
1x + 1y ≦ 4 4x + 3y ≦ 12 1x + 3y ≦ 6
解上述方程可知,x=2, y=4/3.因此,最大利润是:9*2 + 12* 4/3 = 34
原料“甲”还剩余: 4-2-1.3333
因此
(1)正确选项是B
(2)正确选项是A
(四)、 **盈亏平衡点计算**
● 例题:
假定某农贸市场上鸡蛋的需求和供给曲线可以由下列方程表示:
Qd=100+10P Qs=540-40P
其中,Qd 为该市场鸡蛋的需求量(公斤),Qs 为该市场鸡蛋的供给量(公斤),P 为每公斤鸡蛋的价格,则市场上鸡蛋价格 P 为()元每斤时,达到供需平衡。
A、10 B、9.2 C、8.8 D、14
参考答案:C
● 例题:
假设某IT服务企业,其固定成本为30万元,每项服务的变动成本为1000元/次,提供每项服务的价格为1500元/次,那么该企业的盈亏平衡点为()次。
A.200 B.300 C.600 D.无法确定
解答:
设该企业的盈亏平衡点为 x 次,那么:0.15x = 30 + 0.1x
X = 600
因此本题的正确选项是C
(五)、 **沟通渠道数计算**
● 例题:
项目团队原来有6个成员,现在新增加6个成员,沟通渠道增加了()。
A. 6条 B. 4.4倍 C. 2倍 D. 2条
解答:
沟通渠道计算公式:N*(N-1)/2,N为成员数
6个成员的沟通渠道数目=6*(6-1)/2=15
12个成员的沟通渠道数目=12*(12-1)/2=66
66/15=4.4,沟通渠道增加了4.4倍
答案:B

本文深入解析项目管理中的关键路径法、完工概率、PERT、挣值分析等计算题,涵盖信息系统项目管理师考试核心内容,附带例题与解答,助力考生掌握计算技巧。
5969

被折叠的 条评论
为什么被折叠?



