题目
给定一个整数 n,求恰由 n 个节点且节点值由 1 ~ n 构成的二叉搜索树有多少种。

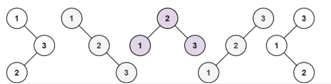
输入:n = 3
输出:5
原题链接:https://leetcode-cn.com/problems/unique-binary-search-trees/
思路
首先说明一下二叉搜索树的定义:左子树所有节点小于根节点,右子树所有节点大于根节点。
动态规划法。找到转移方程是关键。
假定 G(n) 表示:节点数为 n 的二叉搜索树有多少种。
F(i, n) 表示:以 i 为根节点,节点数为 n 的二叉搜索树有多少种。
那么
G(n)=∑i=1nF(i,n)G(n) = \sum^n_{i=1}F(i, n)G(n)=i=1∑nF(i,n)
同时,边界情况,G(0) = 1, G(1) = 1
那么我们来看看 F(i, n) 如何求解。
在给定根节点 i 后,左子树是 [1, 2, …, i - 1] 构成的二叉搜索树;右子树是 [i + 1, …, n] 构成的二叉搜索树。F(i, n) 等于左右子树的笛卡尔积。故
F(i,n)=G(i−1)∗G(n−i)F(i, n) = G(i - 1) * G(n - i)F(i,n)=G(i−1)∗G(n−i)
于是
G(n)=∑i=1nG(i−1)∗G(n−i)G(n) = \sum^n_{i=1}G(i - 1) * G(n - i)G(n)=i=1∑nG(i−1)∗G(n−i)
G(2) = G(0) * G(1) + G(1) * G(0)
G(3) = G(0) * G(2) + G(1) * G(1) + G(2) * G(0)
G(4) = …
根据转移方程,从小到大求解即可。
- 复杂度分析
- 时间复杂度 O(n^2)。两层遍历 O(n^2)
- 空间复杂度 O(n)。
此外,还有一个更数学的方法,G(n) 其实就是卡塔兰数,具体推导这里不展开,感兴趣可以再查阅。
代码
class Solution {
public:
int numTrees(int n) {
if (n < 1) {
return 1;
}
vector<int> G(n+1);
G[0] = 1;
G[1] = 1;
for (int i = 2; i <= n; i++) {
for (int j = 1; j <= i; j++) {
G[i] += G[j - 1] * G[i - j];
}
}
return G[n];
}
};
该博客介绍了如何使用动态规划解决LeetCode上的'不同二叉搜索树'问题。通过建立转移方程G(n) = ∑i=1nF(i,n),其中F(i,n)表示以i为根节点的二叉搜索树的数量,逐步计算得出结果。此外,还提到G(n)与卡塔兰数的关系,并提供了C++实现的代码示例。
1543

被折叠的 条评论
为什么被折叠?



