题目

步骤一:计算复杂度(三种方法)
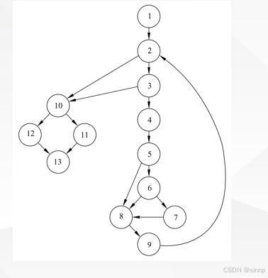
略,此题为6
步骤二:寻找独立路径
独立的定义:独立路径是指至少引入程序的一个新处理语句集合或一个新条件的
路径,即独立路径至少包含一条在定义该路径之前不曾用过的边。
新处理语句集合解释,路径中的某个执行语句是之前路径中没有执行过的。例如,在一个程序中,如果路径A执行了语句1和语句2,而路径B执行了语句1和语句3,那么语句3就是路径B中的新处理语句。
一个新条件的路径解释,路径中的某个条件分支是之前路径中没有遇到过的。例如,在一个包含if-else语句的程序中,如果路径A执行了if分支,而路径B执行了else分支,那么else分支就是路径B中的新条件。
所以该题的答案为
路径1: 1-2-10-11-13
路径2: 1-2-10-12-13
路径3: 1-2-3-10-11-13
路径4: 1-2-3-4-5-8-9-2-…
路径5: 1-2-3-4-5-6-8-9-2-…
路径6: 1-2-3-4-5-6-7-8-9-2-…
在这里 路径1到路径2出现了12 也就是 出现了新处理语句集合
路径4到路径5 出现了一个新条件的路径,也就是6
有小伙伴可能会问,这个独立路径 路径3:1-2-3-10-11-13能换成1-2-3-10-12-13吗,答案是可以的,因为相对于路径1和2这里引入了处理语句3,但是写的时候只能写其中的一个,因为都写的话那么导致,这俩个其中一个没有引入新的处理语句或者一个新条件的路径。
菜鸟一个刚学如有错误请指正,3q。
4099

被折叠的 条评论
为什么被折叠?



