最新成果:UTC-PD模型
由于只依靠电子作为有源载流子,单行载流子光电探测器(Uni-Traveling-Carrier Photodiode,
UTC-PD)具有快速响应,高饱和输出的特点,因此作为不可缺少的关键性元器件,UTC-PD被广泛应用在超高速时分复用光通信、RTD/UTC-PD光电子集成电路和毫米波发生器等系统。
众所周知,传统的PIN型PD由于光生空穴在本征耗尽区的移速较慢,导致空穴积累效应严重,从而形成内建电场,降低了载流子漂移速度;尤其在高光强辐照下,PD处于大注入状态,PIN型PD的响应度显著降低,3dB带宽明显变窄。而相较于PIN型PD,因为前文所述的特殊工作原理,UTC-PD在高光强辐照、大注入状态下则表现出卓越的性能。图1展示了UTC-PD的能带示意图,它是由P型光吸收层和N型宽带隙集结层构成,并且只有电子作为有源载流子。由于电子迁移率远大于空穴迁移率,所以电子的漂移速度具备明显优势;相比于空穴在PD中的积累效应而言,需要更高的入射光强才能导致电子在PD中产生的积累效应(即阈值光强),所以UTC-PD能够有效抑制空间电荷效应[2],这也使得UTC-PD在大入射光强和大电流的状态下依然保持高速的信号输出。

图1. UTC-PD能带示意图 [1]。
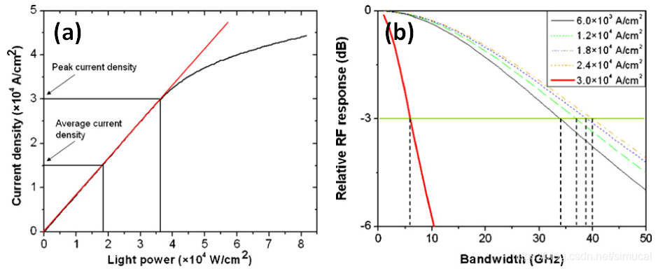
当然如果入射光强超过阈值,UTC-PD中的电子依然会在吸收层和集结层界面堆积,从而产生内建电场,该内建电场会使集结层的有效电场强度降低,并大幅减小集结层对电子的收集效率,从而造成光电流的饱和效应[如图2(a)所示]。同样的,如图2(b)所示,内建电场所引起的空间电荷效应也会造成UTC-PD在高入射光强下-3dB带宽的陡降。因此,如何制备响应度高、截止频率宽UTC-PD已然成为了发展高速光通信系统的关键所在。

图2. (a)UTC-PD中光电流饱和现象(b)不同入射光强下的小信号RF相应 [3]。
为此,我们需要对UTC-PD器件内部能带、电场、载流子分布等核心参数进行精准探测和分析,从而对UTC-PD器件结构及材料参数进行优化设计,才能制备响应度高、截止频率宽的UTC-PD。近日,基于Crosslight公司先进的半导体器件设计平台,我司技术团队不断突破技术瓶颈,创新性地开发出了UTC-PD模型,可精准呈现UTC-PD器件内部能带分布,诠释单向载流子输运机制,复现光电流饱和趋势,完美展示频率随辐照光强变化关系等重要的物理现象;此外,我司技术团队对影响UTC-PD器件饱和光电流、工作带宽的物理因素进行了深入探究,研究成果有助于科研人员理清相关敏感参数,对研发面向高速通信系统的UTC-PD具有重要的指导意义,同时对我国光互联通信技术的发展起到了十分积极的作用。
参考文献:
[1] J.-W. Shi et al., “High-Speed, High-Responsivity, and High-Power Performance of Near-Ballistic Uni-Traveling-Carrier Photodiode at 1.55-μm Wavelength”, IEEE Photonic Tech. L., 2005, 17(9):1929-1931.
[2] T. Ishibashi et al., “Photoresponse characteristics of uni-traveling-carrier photodiodes”, Proceedings of SPIE, 2001, 4283:469-479.
[3] Z. Li et al., “High-Saturation-Current Modified Uni-Traveling-Carrier Photodiode with Cliff Layer”, IEEE J. Quantum Elect.,
2010, 46(5):626-632.

UTC-PD模型因其快速响应和高饱和输出特性,在超高速光通信等领域广泛应用。相较于PIN型PD,UTC-PD在高光强和大注入状态下表现优越,但光电流饱和和带宽限制仍是挑战。研究团队借助Crosslight软件平台开发出UTC-PD模型,深入探究影响其性能的物理因素,为高速光通信系统提供关键指导。
2785

被折叠的 条评论
为什么被折叠?



