机蒜客练习题:Fib数列问题之二
题目

样例

思路
模板题,课程内已细致讲解,不再赘述。

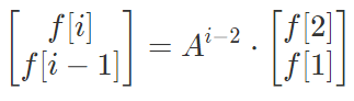
计算公式:

代码
#include<iostream>
using namespace std;
struct matrix
{
long long a[100][100];
};
matrix matrix_mul(matrix A, matrix B, int mod) {
// 2 个矩阵相乘
matrix C;
for (int i = 0; i <2; ++i) {
for (int j = 0; j < 2; ++j) {
C.a[i][j] = 0;
for (int k = 0; k < 2; ++k) {
C.a[i][j] += A.a[i][k] * B.a[k][j] % mod;
C.a[i][j] %= mod;
}
}
}
return C;
}
matrix unit() {
// 返回一个单位矩阵
matrix res;
for (int i = 0; i < 2; ++i) {
for (int j = 0; j < 2; ++j) {
if (i == j) {
res.a[i][j] = 1;
} else {
res.a[i][j] = 0;
}
}
}
return res;
}
matrix matrix_pow(matrix A, long long i, long long mod) {
// 快速求矩阵 A 的 n 次方
matrix res = unit(), temp = A;
for (; i; i /= 2) {
if (i & 1) {
res = matrix_mul(res, temp, mod);
}
temp = matrix_mul(temp, temp, mod);
}
return res;
}
int main()
{
long long m,i;
cin>>i>>m;
if(i==1){cout<<"1";return 0;}
if(i==2){cout<<"1";return 0;}
if(i==3){cout<<"2";return 0;}
matrix f,f0,fff;
f.a[0][0]=1;
f.a[0][1]=1;
f.a[1][0]=1;
f.a[1][1]=0;
f0.a[0][0]=1;
f0.a[0][1]=0;
f0.a[1][0]=1;
f0.a[1][1]=0;
fff=matrix_mul(matrix_pow(f,i-2,m),f0,m);
cout<<fff.a[0][0]+fff.a[0][1];
return 0;
}
本文介绍了一种使用矩阵快速幂算法解决Fib数列问题的方法,通过定义特定的矩阵进行乘法运算,实现对Fib数列的高效计算。代码中详细展示了矩阵乘法、矩阵快速幂和单位矩阵的定义,适用于处理大规模Fib数列计算任务。
1013





