计算机毕业设计ssm校园论坛信息管理系统qhdu7y0h
(配套有源码 程序 mysql数据库 论文)本套源码可以先看具体功能演示视频领取,文末有联xi 可分享
随着互联网技术的飞速发展,校园论坛已成为学生交流学术、生活和娱乐信息的重要平台。然而,传统的校园论坛信息管理方式存在诸多不便,如信息更新不及时、管理效率低下等问题。为了提升校园论坛的管理效率和用户体验,开发一套高效、动态且交互友好的校园论坛信息管理系统显得尤为重要。
本系统采用B/S架构,结合Java语言、SSM框架和MySQL数据库进行开发。系统主要分为用户和管理员两大角色,涵盖了丰富的功能模块,以满足校园论坛信息管理的多样化需求。
系统的主要功能包括:
-
用户管理:用户可以进行注册、登录、修改个人信息等操作。
-
信息发布与管理:用户可以发布寻物信息、商品信息等,并对已发布的信息进行修改或删除。
-
信息浏览与交互:用户可以浏览最新的校园信息,如车站信息、商品信息等,并对感兴趣的内容进行评论、收藏或点赞。
-
购物车与订单管理:用户可以将商品加入购物车,并进行结算、查看订单状态等操作。
-
管理员功能:管理员可以对用户信息、物品类型、车站信息、寻物信息、商品分类、商品信息、吐槽圈等进行管理,同时还可以进行系统设置和数据维护。
-
首页推送:系统会自动推送最新的信息到首页,方便用户快速浏览。
通过以上功能模块的设计与实现,本系统不仅能够有效提升校园论坛信息管理的效率,还能为用户提供更加便捷、个性化的服务体验。系统采用的SSM框架和MySQL数据库,确保了代码的可读性、可维护性以及数据的安全性和稳定性。
注:完成的毕业设计程序以下面的的环境软件、功能图和界面为准。
系统所需要的环境软件:idea、eclipse+mysql5.7、8.0+Navicat+JDK1.8+tomcat7.0
3.4系统流程分析
3.4.1操作流程
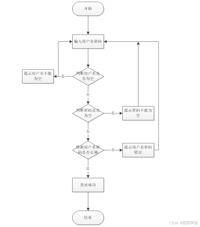
首先为系统登录页面。进入页面后,用户可进行登录和注册的操作。点击登录后,页面就会出现一个登录提示框,向用户传达信息:要进行用户名和密码的输入,完成后才可以进行下一步的操作。用户输入完成后,系统会将输入的信息提交给后台,与数据库中的信息记录进行比较判断。判断比较内容主要分为三个方面:从用户名是否为空、输入的密码是否为空、用户名和密码是否匹配三方面进行判断。只有上述三个条件同时满足,数据库中的信息匹配正确,才视为登陆成功,方可完成后续的操作。若以上三种情况有一条不满足,则会提示该次登录错误,就需要进行重新登录。系统登录流程图如图3-1所示:
图3-1登录流程图
3.4.2添加信息流程
然后是添加信息的页面。进入该页面后,页面会出现一个提示框,示意操作者可以进行信息的添加,从而进行下一步的操作。用户输入想要添加的信息后提交,系统会对输入的内容进行检测。如果检测后输入的信息正确,则会出现“添加成功”的提示框,从而可以进行下一步操作;如果系统检测后检测到想要添加的信息不符合规范要求,则会提示报错,需要进行修改后重新添加。添加信息流程图如图3-2所示:
图3-2添加信息流程图
3.4.3删除信息流程
最后为删除信息页面。进入该页面后,用户可以对所要删除的信息进行选择,选择好删除的内容后,会有一个“是否确认删除”的提示框,操作者可以根据自己的意愿来选择“是”或“否”。完成上述操作,系统会自动的对删除的内容进行判断,如果符合删除要求则会成功删除数据记录,并且更新数据库的内容信息;如果删除的数据记录不符合要求,则会有一个“删除失败”的提示框,操作人员需要根据提示来进行修改,修改完成后重新删除知道删除成功。删除信息流程图如图3-3所示:
图3-3删除信息流程图
4 系统设计
4.1 系统体系结构
管理员管理用例图4-1所示。

图4-1 管理员管理用例图
登录管理用例图4-2所示。

图4-2 登录管理用例图

图4-3 用户用例图

图4-4 管理员用例图
4.2 系统总功能结构设计
系统按照用户的实际需求开发而来,贴近生活。从管理员通过正确的账号的密码进入系统,可以使用相关的系统应用。管理员总体负责整体系统的运行维护,统筹协调。
系统整体模块设计:系统分为管理员和用户两大角色,系统管理员有最大的权限,总体功能展示如图4-5所示。

图4-5 系统总体功能图
4.3开发流程设计
系统开发流程的分析是一个至关重要的过程,它是指通过系统的设计开发目的初衷、面向使用用户的范围、系统运行和操作的安全性、各种问题的处理以及后台数据的分析能力等各个角度,来对校园论坛信息管理系统进行设计、开发、搭建和调节,以保证该系统能够顺利的完成,达到预期的工作状态。上述每个环节、每个步骤一开始就要下足功夫,从各个方面、各个角度进行调查研究,进行大量的测试和评估,来保证校园论坛信息管理系统的正常和该系统的后台数据库的完整性以及安全性,从而把控系统所包含信息的安全性、确保信息进入、出口顺利过渡。然后,对系统和数据进行操作和分析,根据每一步的执行步骤,完成信息的流程图制作过程。
系统的开发对管理模型和系统应用中的数据库进行了分类,创建代码,以及系统测试,如图4-6所显示。

图4-6开发系统流程图
4.4 数据库设计原则
学习程序设计,如果要了解数据库管理系统或者是根据需求而制定的系统接口,就必须创建一种数据库管理系统的模式,用来保存数据资料,这样当在应用编程过程中时候,就不需要再向操作系统页面上加载信息,进而增加了整个系统的工作效率。信息库管理系统中保存着许多数据,应该说是一个管理信息系统建设的中心和基础,而信息库管理系统也为管理信息系统建设提出了新增、删除、更改和搜索的操作功能,使管理信息系统建设能够迅速地查询所需要的数据,而不会直接从程序代码中查找。信息库管理系统通过将信息表的各个组成部分按照特定的方法准确地合并,排序和组成信息库管理系统。
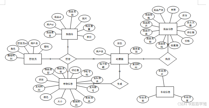
通过对校园论坛信息管理系统的主要功能信息进行规划并分为若干功能实体信息,本系统的主要功能E-R图如图4-7、图4-8、图4-9、图4-10、图4-11。

图4-7车站信息E-R图

图4-8吐槽圈E-R图

图4-9购物车E-R图

图4-10商品信息E-R图

图4-11寻物信息E-R图
以上是本系统的各个实体,对其实体属性进行分析和整合,得到了该系统的E-R图。系统E-R图如图4-12所示:

图4-12系统E-R图
5.1前台用户功能的实现
注册账号成功且登录系统后,用户即可进入主页查看首页、车站信息、寻物信息、商品信息、吐槽圈、公告信息、购物车、个人中心,并开始执行业务操作,如图5-1所示:

图5-1 系统首页界面
在注册流程中,用户在Vue前端填写必要信息(如用户名、密码等)并提交。前端将这些信息通过HTTP请求发送到Java后端。后端处理这些信息,检查用户名是否唯一,并将新用户数据存入MySQL数据库。完成后,后端向前端发送注册成功的确认,前端随后通知用户完成注册。这个过程实现了新用户的数据收集、验证和存储。,如图5-2所示:

图5-2 用户注册界面
在登录流程中,用户首先在Vue前端界面输入用户名和密码。这些信息通过HTTP请求发送到Java后端。后端接收请求,通过与MySQL数据库交互验证用户凭证。如果认证成功,后端会返回给前端,允许用户访问系统。这个过程涵盖了从用户输入到系统验证和响应的全过程。如图5-3所示;

图5-3用户登录界图
用户可通过寻物信息页面输入物品名称,进行查询,可以查看寻物信息等具体信息,还可以点击评论等操作,如图5-4所示:

图5-4寻物信息页面
在商品信息页面输入商品条码、商品条码、商品名称、商品名称、价格查询,可以查看商品信息等具体信息,还可以点击添加到购物车、立即购买或者收藏、评论等操作,如图5-5所示:

图5-5商品信息页面
个人中心页面可通过输入修改密码、寻物信息、我的发布、我的订单、我的地址、我的收藏具体信息等操作,如图5-6所示:

图5-6个人中心页面
5.2管理员功能的实现
管理员登录,在登录页面选择需要登录的角色,在正确输入用户名和密码后,点击登录进入系统进行操作;如图5-7所示。

图5-7管理员登录界面
管理员进入系统主页面,主要功能包括对起始页、用户、物品类型、车站信息、寻物信息、商品分类、商品信息、吐槽圈、系统管理、订单管理、用户信息等进行操作。管理员主页面如图5-8所示:

图5-8管理员主界面
用户在视图层(view层)进行交互,比如点击“新增”按钮或填写用户需求信息表单。这些用户信息动作被视图层捕获并作为请求发送给相应的控制器层(control1er层)。控制器接收到这些请求后,调用服务层(service层)以执行相关的业务逻辑,例如验证输入数据的有效性和与数据库的交互。服务层处理完这些逻辑后,进一步与数据访问对象层(DAO层)交互,后者负责具体的数据操作如查询、新增、更新或删除用户信息,并将操作结果返回给控制器。最终,控制器根据这些结果更新视图层,以便用户信息可以看到最新的信息或相应的操作反馈。在用户信息页面的输入栏中输入用户账号进行查询,可以查看到用户详细信息,并根据需要进行新增或者删除等操作。如图5-9所示:

图5-9用户界面
管理员点击“物品类型”会显示出所有的物品类型,支持输入物品类型进行搜索,如果想要增加新的物品类型,点击“新增”按钮,输入相关信息,点击“提交”按钮就可以增加了,同时可以选择某一条物品类型,点击“删除”进行删除,也可以点击后面的“新增”按钮对物品类型进行更新维护。如图5-10所示:

图5-10物品类型界面
车站信息在视图层(view层)进行交互,比如点击“新增”按钮或填写车站信息需求信息表单。这些车站信息动作被视图层捕获并作为请求发送给相应的控制器层(control1er层)。控制器接收到这些请求后,调用服务层(service层)以执行相关的业务逻辑,例如验证输入数据的有效性和与数据库的交互。服务层处理完这些逻辑后,进一步与数据访问对象层(DAO层)交互,后者负责具体的数据操作如查询、新增、更新或删除车站信息,并将操作结果返回给控制器。最终,控制器根据这些结果更新视图层,以便车站信息可以看到最新的信息或相应的操作反馈。在车站信息页面的输入栏中输入车站名称、车站位置进行查询,可以查看到车站信息详细信息,并根据需要进行新增或者删除等操作如图5-11所示:

图5-11车站信息界面
管理员点击“寻物信息”会显示出所有的寻物信息,支持输入物品名称、物品分类进行搜索,同时可以选择某一条寻物信息,点击“删除”进行删除,也可以点击后面的“新增”按钮对寻物信息进行更新维护。如图5-12所示:

图5-12寻物信息界面
管理员点击“商品信息”会显示出所有的商品信息,支持输入商品条码、商品名称、商品分类、价格进行搜索,同时可以选择某一条商品信息,点击“删除”进行删除,也可以点击后面的“新增”按钮对商品信息进行更新维护。如图5-13所示:

图5-13商品信息界面
管理员点击“吐槽圈”会显示出所有的吐槽圈,支持输入帖子标题进行搜索,同时可以选择某一条吐槽圈,点击“删除”进行删除,也可以点击后面的“新增”按钮对吐槽圈进行更新维护。如图5-14所示:

图5-14吐槽圈界面
源码无偿分享,文未领取

被折叠的 条评论
为什么被折叠?



