第四章低级特征提取(2)二阶边缘检测算子Laplacian、Marr-Hildreth等
4.2.2 二阶边缘检测算子
4.2.2.1 动机:利用二阶微分零点为一阶微分的区域极值;
a. 即计算二阶导数的过零点;
4.2.2.2 基础算子: Laplacian算子
a. Laplacian算子使用两个相邻一阶微分的差值近似实现二阶微分;
即有,

即有,

则Laplacian模板,

由于引入了二阶差分,Laplacian算子对噪声更加敏感,基本不使用该算子的基本形式;
b. 从构造特点可以看出Laplacian算子具有各向同性;(因为有各向同性所以提取的边缘信息不包含方向,这是一个劣势);
Laplacian算子的主要优势是计算成本较低;
c. 结合平滑算子(当然要选用最优的高斯平滑算子)可以得到LoG算子,该算子作为Marr-Hildreth方法的基;
4.2.2.3 Marr-Hildreth算子
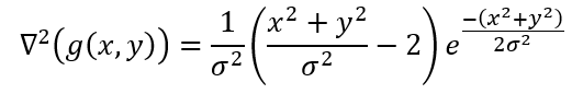
a. 等价图像高斯算子g(x,y)与图像P进行卷积计算后的二阶微分∇2,即

则LoG算子的基∇2 (g(x,y))可以表示为,

通过该公式可以计算卷积模板的对应系数;
b. LoG算子的高斯差分近似,
其中差分是由两个高斯滤波与不同变量的卷积结果求得的;

其中g表示高斯函数;
虽然是两个高斯平滑算子的差分线性方程,但是该算子可以用于近似LoG算子;
c. LoG算子模板系数的计算函数包括一个正规化函数;同构该函数生成的模板可以用于模板卷积计算;此外高斯算子对较远距离点有较好的限制作用;
d. 过零点的决定是该方法的主要难点。有很多方法可以用来实现,包括过零点的手动处理或一个平面对于局部图像数据的最小平方拟合(通过确定该平面过零点的位置实现,相当复杂);
本节介绍一个简单方法,对33模板,计算其四角22区域(显然都包含中心点)的均值,如果存在异号的均值则证明存在过零点,即输出边缘点;
单纯LoG算子的输出很难直观解释;
Marr-Hildreth算子的一个优点是它能够给出封闭的边缘边界,而Canny算子则不能;另一个优点是能够避免递归的滞后阈值计算过程,因而不需要为处理大图像准备大容量的堆栈;
e. LoG算子实际上是带通滤波,实际上方差σ的取值可以调节算子在空间域的半径和在频域的带宽;
这不同于一阶边缘检测模板,一阶模板一般是采用一维高通一维低通的组合模式,而二阶边缘检测模板则直接采用带通模式;
f. Marr-Hildreth算子引起了很多关注,或许在一定程度上或许在一定程度上还是因为它与人类视觉关系密切,以及它具有多分辨率分析能力;
4.2.3 其他边缘检测算子
a. 任何实现在计算成本和效率上都要有折中;经常需要谨慎地提取很多低层次信息,以便根据信息是否适当对信息进行筛选;
Spacek算子和Petrou算子都是最优设计,都有一些不同于Canny和M-P方法的特性和基;实际上Canny算子是使定位信噪比最大化,Spacek算子是使定位信噪比和峰值分离的乘积最大化,Spacek算子比Canny性能更好;
Petro算子质疑阶梯边缘模型step-edge model的正确性,因为图像采集系统的合成性能可以等价低通滤波器,因此实际上阶梯边缘特征的数据表现为斜坡边缘;
此外还包括Korn算子、SUSAN算子等其他算子;
本文深入探讨了二阶边缘检测算子,包括Laplacian算子和Marr-Hildreth算子的工作原理及应用。Laplacian算子通过计算二阶导数的过零点来检测边缘,而Marr-Hildreth算子结合高斯平滑与二阶微分,能提供更准确的边缘检测效果。文章还讨论了算子的优缺点,以及与其他边缘检测算子的比较。
199

被折叠的 条评论
为什么被折叠?



