第二章 图像、采样和频域处理 (2)
2.4 采样标准
a. 采样标准对采样频率进行规定,在物理上这些值是A/D转换器对模拟信号进行采样的输出;
b. 示例采样函数:
峰值间隔为∆t 的时域等间隔脉冲;
采样过程的频域模拟是将信号频谱与采样函数的频谱进行卷积运算,即将某一个频谱沿水平轴反转,然后滑过另一个频谱;以峰值谱为例,输出为一个原信号频谱以1/∆t为周期的重复频谱;
显然过大的采样间隔会导致输出频谱周期间隔较小,信号频谱出现重叠,导致信号被破坏,为避免冲突要求采样频率超过信号频谱最大频率的2倍,2倍是实际上因为信号频谱是-fmax到fmax的;
Nyquist采样标准:为了从样本重构原信号,采样频率必须至少是被采样信号最大频率的两倍;
对于图像,低分辨率可以看成是在空间域的采样频率不足,存在真实信息的走样;有些实际上根本不存在的东西,采样的结果使它们看起来存在,也就是在信号的重构过程出现了问题,这是采样频率过低的结果(所以不推荐电视上穿格子衬衫);
c. 更新的采样理论参考Unser(2000),此外Donoho(2006)提出一个事实,即很多信号存在重要分量和实际上接近0的分量,导致摄像机可以通过少量重要元素近似重构图像,提供了在不降低分辨率的情形下压缩图像的另一个基准;
d. 一个技术限制的例子,上古计算机以11MHz进行采样,最大相机输出频率5.5MHz,11MHz意味着最小图像分辨率需要为576576,但这不是2的整数次幂,实际图像系统的最大分辨率为512512,因此系统必须对走样进行预测;
通过观察,以下内容可以在一定程度上降低走样:
- 总体来看,较低频率带有更多信息,而较高频率只局部地包含较多信息,所以高频率信息被破坏不那么重要;
- 在成像系统中,景深是有限的,减少了高频率组成;
对高频率分量的估算精度可以采用有效采样频率(图像点数)和成像结构之间的关系表示,这个基本思想仍然适用;
2.5 离散傅立叶变换
2.5.1 一维变换
a. 一组采样频率为Fpu的N个采样点px的DFT为:

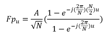
b. 将DFT应用于一个窗口中的脉冲样本(窗口脉冲,即方波),其样本从0到N/2-1则有

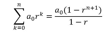
进行几何级数求和展开

则采样脉冲的离散傅立叶变换可以表示为

整理可得

该变换的模为:

这是由于指数函数的幅度为1;
c. 根据傅立叶描述,通过将频率相加可以重构被采样脉冲,离散傅立叶变换频域系数表示原信号中对应正弦信号的数目;最低品分量为Fp0即直流分量,表示样本均值;在Fp0的基础上不断累加高阶分量Fpi可以对原信号进行逼近近似,该过程即DFT逆;它可以通过下式重构采样信号:

d. 在应用DFT之前需要注意假设条件:
(1)满足采样标准
(2)采样函数不断重复至无穷
(3)最大频率对应半个采样周期
2.5.2二维变换
a. 图像的DFT是具有二维空间位置的像素点(采样图像点)的变换,这些二维空间位置由坐标x和y表示,对应到频域为u和v,分别表示水平和垂直方向的空间频率;
对于一组由平行垂直线构成的图像,其垂直方向的空间频率为0;
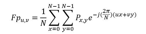
二维傅里叶变换从NxN个像素P(x,y)计算对应的频域数据Fp(u,v),如

光学上,图像的傅里叶变换可以通过对一张摄影幻灯片发射激光,并利用透镜成像来得到;该幻灯片图像的傅里叶变换是在透镜前焦平面形成的,其应用仍然局限于传送式系统,而反射式构成大幅度扩展了傅里叶变换的应用潜能(因为光学计算比数字计算略快一些);
b. 二维DFT逆

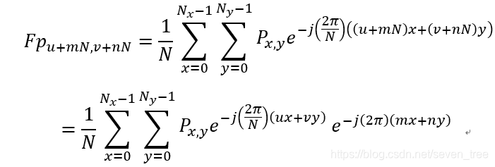
c. 傅里叶变换的重复性,意味着变换在频率上不断重复至无穷;对一维信号很容易进行描述,对二维信号通过对采样点数目进行整数倍的变换,

易见(mx+ny)是整数,所以指数项实际上是的2π整数倍,则e^(-j(2π)(mx+ny) )=1,因此

d. 对大型图像,考虑到数据量较大,通常采用快速傅里叶变换FFT实现,FFT通过对DFT进行合理分组以提高计算速度;
计算还涉及傅里叶变换的可分离性,即傅里叶变换可以分为两个阶段进行,首先利用一维FFT对行进行变换,然后再次利用一维FFT对于变换后的数据进行列变换;
则有:

e. 计算成本:
容量为N的一维FFT计算成本为O(N log(N));
二维FFT计算成本为O(N^2 log(N));
二维DFT计算成本为O(N^3);
很多傅里叶变换之间的差别在于所选的比例因子不同;
f. 图像的傅里叶变换得到的是频率分量,每个分量的位置表示其频率,距离远点越近则频率越低,0频率表示直流分量;不巧的是二维傅里叶变换的布局是低频率分量处于变换的边角上,而将低频置于图像中间可以增强图像的可视性,一般通过将傅里叶变换的四个象限分别旋转180°或者将原图重新平移排列,对应的频域分量需要进行重新排序,将每个图像点的P(x,y)与-1(x+y)相乘,又cos(-π)=-1=e(-jπ),则图像变换为

g. 二维傅里叶变换对:二维脉冲-二维sinc函数;二维高斯函数-二维高斯函数;
2.6 傅里叶变换的其他特性
2.6.1 位移不变性
a. 图像分解为空间频率与特征在图像中的位置无关;
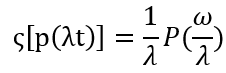
把p(t)的延迟形式记为p(t-τ),其中τ表示延迟,位移后图像的傅里叶变换记为ς[p(t-τ)],则时域位移和频域之间的关系为

如果指数函数的幅度为1.0,那么位移后图像的傅里叶变换幅度与原图像相等;
b. 位移后傅里叶变换的相位产生变化;

根据傅里叶变换的这一特性,可以避免特征空间位置的影响;
2.6.2 旋转
a. 傅里叶变换处理具有朝向依赖性;这意味着如果通过傅里叶变换将频域特性用于图像分析,那么朝向必须已知或者固定;特征的朝向通常可以固定,否则需要推测朝向参数;此外可以通过转换为极坐标表示等方法消除图像旋转的影响;
2.6.3 频率尺度变化
a. 图像压缩则频率响应增大,频域分量存在扩展;即有

2.6.4 叠加
a. 叠加原理表示为O(I1+I2 )=O(I1 )+O(I2),任何满足叠加原理的系统都被看做是线性的;
傅里叶变换是一个线性系统,对信号p1和p2有

2.7 傅里叶变换以外的其他变换
2.7.1 离散余弦变换
a. 实数变换,在能量集中性方面具有很大优势;

离散余弦变换的逆:
与传统的傅里叶变换对比,DCT对相同要求的图像可以给出更高的压缩率,因此更适用于图像压缩;
b. DCT随余弦基函数而位移变化;DCT与DFT非常相似,但还没有证实DCT可以实现卷积运算;
2.7.2 离散Hartley变换
a. 是傅里叶变换的一种不需要复数计算的形式;Hartley变换的优势是正变换和逆变换进行的是相同的操作;DHT定义如下,

离散Hartley变换的逆,

b. 快速Hartley变换
根据函数的Hartley变换H(u)可以计算函数F(u)的DFT,以一维为例,将Hartley变换分解为奇部和偶部,则有H(u)=O(u)+E(u),其中E(u)=(H(u)+H(N-u))/2,O(u)=(H(u)-H(N-u))/2,则DHT可以简单计算为F(u)=E(u)-j×O(u),
同理,Hartley变换也可以通过傅里叶变换计算,H(u)=Re[F(u)]-Im[F(u)];
Hartley变换没有位移不变性(可以通过一些办法进行处理),且其卷积需要注意奇部和偶部的问题;
2.7.3 小波简介
2.7.3.1 Gabor小波
a. 小波是一种比较新的信号处理方法,主要优势是可以进行多分辨率分析;小波可以同时进行时域和频域的采样,具有更强的描述能力;
b. 基函数,Gabor小波采用的基函数是高斯包络调制的正弦波,

其中ω0=2πf0表示调制频率,t0表示位置,a控制高斯包络形状;
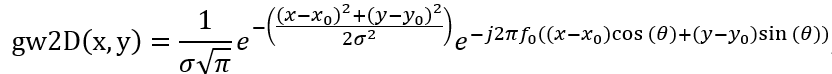
c. 二维Gabor小波计算,

其中x0,y0控制位置,f0控制任一轴的调制频率(即x方向和y方向的频率实际上可以不同),θ控制小波方向;若x和y方向参数不同(包括频率)则其二维高斯函数形状近似椭圆;
d. 离散小波变换不具有平移不变性;
2.7.4 其他变换
a. Haar小波变换;
b. Walsh变换;
c. Karhumen-Loeve变换;
图像采样与频域处理
本文探讨了图像采样理论及其在频域处理中的应用,重点介绍了Nyquist采样标准、离散傅立叶变换及其特性,并讨论了采样频率对图像质量的影响。
9674

被折叠的 条评论
为什么被折叠?



