标量(scalar)、向量(vector)和矩阵(matrix),而张量则不那么常见,但实际上,标量是第0阶张量,向量是第1阶张量,矩阵是第2阶张量,第3阶或阶数更高的张量被称为高阶张量(higher-order tensor),一般提到的张量都是特指高阶张量
目录
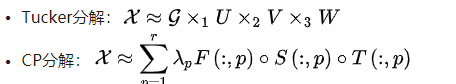
1.1Tucker分解(具体可以参考https://zhuanlan.zhihu.com/p/24798389)
1 稀疏张量的分解
张量分解有各种各样的分解结构,而且对于每种结构其求解的算法也不唯一(常见的做法是采用ALS(alternating least squares)框架),并且在实际应用中,我们需要用到的张量分解通常是用来解决稀疏张量的填补问题。由于Tucker分解为张量分解提供了一个优美的分解结构
1.1Tucker分解(具体可以参考https://zhuanlan.zhihu.com/p/24798389)

1.2CP分解可认为是Tucker分解的特例


2应用
Tucker分解和CP分解应用领域不同
· Tucker分解可以看作是一个PCA的多线性版本,因此可以用于数据降维,特征提取,张量子空间学习等。比如说一个低秩的张量近似可以做一些去噪的操作等。Tucker分解同时在高光谱图像中也有所应用,如用低秩Tucker分解做高光谱图像的去噪,用张量子空间做高光谱图像的特征选择,用Tucker分解做数据的压缩等。
· CP分解已经在信号处理,视频处理,语音处理,计算机视觉、机器学习等领域得到了广泛的应用
论文《基于张量分解的个性化微博推荐算法研究》中可以用张量分解进行微博个性化推荐。用户,微博和微博发布者三者的关系,相对于矩阵分解分析两两关系来说它分析三者的共同作用,用随机梯度法估计实验参数
3相关论文
Tensor Decompositions and Applications
Tensor Decomposition for Signal Processing and Machine Learning
本文深入探讨了张量分解的核心概念,包括Tucker分解和CP分解,解释了它们在数据降维、特征提取及高光谱图像处理等领域的应用。并通过实例展示了如何使用张量分解进行微博个性化推荐。
1万+

被折叠的 条评论
为什么被折叠?



