难度简单
给你一个链表的头节点 head 和一个整数 val ,请你删除链表中所有满足 Node.val == val 的节点,并返回 新的头节点 。
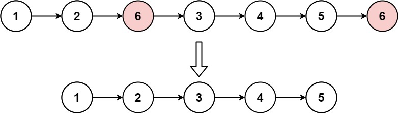
示例 1:

输入:head = [1,2,6,3,4,5,6], val = 6 输出:[1,2,3,4,5]
示例 2:
输入:head = [], val = 1 输出:[]
示例 3:
输入:head = [7,7,7,7], val = 7 输出:[]
提示:
- 列表中的节点数目在范围
[0, 104]内 1 <= Node.val <= 500 <= val <= 50
解题思路:为了代码的统一,设置一个头结点result指向该链表,最后返回的是该头结点result的后一个结点。
/**
* Definition for singly-linked list.
* struct ListNode {
* int val;
* ListNode *next;
* ListNode() : val(0), next(nullptr) {}
* ListNode(int x) : val(x), next(nullptr) {}
* ListNode(int x, ListNode *next) : val(x), next(next) {}
* };
*/
class Solution {
public:
ListNode* removeElements(ListNode* head, int val) {
ListNode *result = new ListNode(0),*p = result;
result->next = head;
while(head)
{
if(head->val == val)
{
p->next = head->next;
}
else p = p->next;
head = head->next;
}
return result->next;
}
};
本文讲解如何使用C++实现一个简单的算法,解决给定链表中删除所有值为val的节点问题。通过示例和代码演示,理解链表操作技巧。

被折叠的 条评论
为什么被折叠?



