目录
1 数据结构
数据结构是一门研究非数值计算的程序设计问题中的操作对象,以及他们之间的关系和操作等相关问题的学科。
2 数据结构的分类
数据结构可以分别按逻辑结构和物理结构两种角度进行分类。
2.1 按逻辑结构分类
- 逻辑结构是从具体问题中抽象出来的模型,是抽象意义上的结构,表现对象中数据元素之间的相互关系。
- 常见的逻辑结构有集合结构、线性结构、树形结构、图形结构。
2.1.1 集合结构
集合结构中的数据元素除了属于同一个集合外,他们之间没有任何其他的关系。

2.1.2 线性结构
线性结构中的数据元素之间存在一对一的关系。

2.1.3 树形结构
树形结构中的数据元素之间存在一对多的层次关系。

2.1.4 图形结构
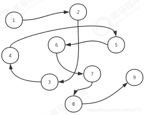
图形结构的数据元素是多对多的关系。

2.2 按物理结构分类
- 物理结构又称为存储结构,是逻辑结构在计算机中真正的表示方式。
- 常见的物理结构有顺序存储结构、链式存储结构。
2.2.1 顺序存储结构
顺序存储结构把数据元素放到地址连续的存储单元里面,其数据间的逻辑关系和物理关系是一致的 。比如数组就是一种顺序存储结构。

2.2.2 链式存储结构
- 链式存储结构把数据元素存放在任意的存储单元里面,这组存储单元可以是连续的也可以是不连续的,因此数据元素之间的物理关系不能反映数据元素间的逻辑关系。
- 在链式存储结构中引进了一个指针存放数据元素的地址,这样通过地址就可以找到相关联数据元素的位置。

3 算法
算法是指解题方案的准确而完整的描述,是一系列解决问题的清晰指令,算法代表着用系统的方法解决问题的策略机制。
在程序中,我们也可以用不同的算法解决相同的问题,而不同算法的成本也是不相同的。总体上,一个优秀的算法追求以下两个目标:
- 花最少的时间完成需求;
- 占用最少的内存空间完成需求。

被折叠的 条评论
为什么被折叠?



