本文从实际机构应用和生活中有趣的自然现象出发,介绍了阿基米德螺线的发现、定义、方程及其相关几何特征。
前言
最近接触到了一种利用帆布带提升的传动机构,由于这种机构的结构特点,如果卷带盘匀速转动收回带子,到帆布带的末端,其线速度会因为卷带盘直径越来越大而越来越快,在某些要求末端线速度恒定的场合是不合适的,由于卷带盘上的帆布带是阿基米德螺线,因此产生了了解阿基米德螺线的想法,如果算出了螺线弧长的表达式,就可以算出卷线盘的转速(s=v*t)。
很多人都知道飞蛾扑火这个故事。但是,为什么飞蛾会这么执着地扑向火光呢?这要从它的祖先谈起。飞蛾的历史远比人类悠久。在亿万年前,没有人造火光,飞蛾完全靠天然光源(日光、月光或星光)指引飞行。由于太阳、月亮、星星距离地球都很远,它们发出的光线照到地球上可以认为是平行直线。当飞蛾直线飞行时,它在任何位置的前进方向与光线的夹角都是一个固定值(如图1)。可是,如果光源离得很近,不能将它们发出的光线看作平行光时,飞蛾再按照固有的习惯飞行,飞出的路线就不是直线,而是一条不断折向灯光光源的螺旋形路线(如图2)。这在数学上称为阿基米德螺线。通俗的说,阿基米德螺线就是既作匀速转动又作匀速直线运动而形成的轨迹。举一个形象一点的例子:时钟上的指针在作匀速转动,假如有一只小虫子从时钟的中心,沿指针作匀速爬动,那么虫子最终走出的轨迹就是阿基米德螺线(如图3)。

阿基米德螺线简介
- 阿基米德简介及螺线的发现
阿基米德 Archimedes(约公元前287~前212),古希腊伟大的数学家、力学家。他公元前287年生于希腊叙拉古附近的一个小村庄.11岁时去埃及,到当时世界著名学术中心、被誉为“智慧之都” 的亚历山大城跟随欧几里得的学生柯农学习,以后和亚历山大的学者保持紧密联系,因此他算是亚历山大学派的成员。
公元前240年,阿基米德由埃及回到故乡叙拉古,并担任了国王的顾问.从此开始了对科学的全面探索,在物理学、数学等领域取得了举世瞩目的成果,成为古希腊最伟大的科学家之一.后人对阿基米德给以极高的评价,常把他和牛顿、高斯并列为有史以来三个贡献最大的数学家。
据说,阿基米德螺线最初是由阿基米德的老师柯农(欧几里德的弟子)发现的.柯农死后,阿基米德继续研究,又发现许多重要性质,因而这种螺线就以阿基米德的名字命名了。 - 阿基米德螺线的定义及极坐标方程
阿基米德螺线,亦称“等速螺线”。螺线是指一些围着某些定点或轴旋转且不断收缩或扩展的曲线,阿基米德螺线是一种二维螺线。在《论螺线》中,阿基米德给出了如下定义:当一点P沿动射线OP以等速率运动的同时,这射线又以等角速度绕点O旋转,点P的轨迹称为“阿基米德螺线”。它的极坐标方程为:r=aθ。
由此即可推出阿基米德螺线的标准极坐标方程:
r = a * θ + b
式中:a是阿基米德螺线系数,mm/°,表示每旋转1度时极径的增加(或减小)量;θ是极角,单位为度,表示阿基米德螺旋线转过的总度数;b是当θ为0时的极径,mm。
改变参数b将改变螺线形状,a控制螺线间距离,通常其为常量。阿基米德螺线有两条螺线,一条θ>0,另一条θ<0。当b=0时,两条螺线在极点处平滑地连接。把其中一条翻转 180°得到其镜像,就是另一条螺线[^1]。在Mathematica中,绘制阿基米德螺线的命令如下:
a = 2;
b = 0;
r = a*θ + b;
PolarPlot[r, {θ, 0, 6*Pi}, PlotLabel -> "θ>0"]
PolarPlot[r, {θ, 0, -6*Pi}, PlotLabel -> "θ<0"]



- 在极坐标系与平面直角坐标系(笛卡尔坐标系)间转换
极坐标系中的两个坐标 r 和 θ 可以由下面的公式转换为 直角坐标系下的坐标值
x = r * cos(θ) = (a*θ + b) * cos(θ)
y = r * sin(θ) = (a*θ + b) * sin(θ)
由上述二公式,可得到从直角坐标系中x 和 y 两坐标如何计算出极坐标下的坐标
r = sqrt(x^2 + y^2)
θ = arctan(y/x)
几何特征
- 臂距
当圆周速度与直线速度同时增大一倍时,阿基米德螺旋的形状是不会发生变化的,因此,阿基米德螺旋属于等速度比螺旋,同时由于它在每个旋转周期内是等距离外扩的,故又可称它为等距螺旋,其臂距为2πa。 - 曲率

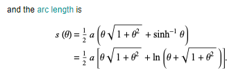
- 弧长
当b = 0时,弧长为

参考资料
【1】浅谈阿基米德螺线-北京师范大学环境学院-郭惠媛、姜畔(Archimedes spiral_GHY_JP)
[^1] 注:其文中写道:“阿基米德螺线有两条螺线,一条θ>0,另一条θ<0。两条螺线在极点处平滑地连接。把其中一条翻转 90°/270°得到其镜像,就是另一条螺线。”这句我认为描述不准确,阿基米德螺线是一种平面曲线,翻转90°/270°之后不共面,不能比较,若原意为绕原点旋转90°/270°,也不对,正确的应该是翻转180°。
【2】Archimedes’ Spiral—WolframMathWorld
本文探讨了阿基米德螺线在帆布带传动机构中的问题,由于卷带盘的直径变化导致线速度变化,提出了阿基米德螺线的数学原理,包括其极坐标方程和几何特性。阿基米德螺线在不同速度比例下保持不变的特性使其在工程中有重要应用。
469





