HashMap的底层结构以JDK1.8为一个分界线,JDK1.8之前和JDK1.8及之后的底层结构稍有不同,下面分别以JDK1.7和JDK1.8为例来介绍HashMap的底层实现。
JDK1.7中HashMap
底层结构
HashMap底层是一个数组table,数组中的每一项都是一个Entry,Entry是一个K-V对,我们所存入的键值对全都存放在Entry中。数组table的每个位置我们常称为一个桶,每个桶可能会对应多个Entry,多个Entry以链表的形式连接,此结构我们称为数组+链表结构。如下图所示:

数组中每个位置上可能有0个、1个或多个Entry元素,这个取决于根据hash映射结果算出来的键值对在数组中的下标,若多个键值对下标相同,那么以链表的形式组织。JDK1.7使用的hash映射方法如下所示。
hash映射
计算Entry在数组中的下标时分两步:
1.计算key的哈希值;
final int hash(Object k) {
int h = 0;
h ^= k.hashCode();
h ^= (h >>> 20) ^ (h >>> 12);
return h ^ (h >>> 7) ^ (h >>> 4);
}
2.根据哈希值计算下标。
static int indexFor(int h, int length) {
return h & (length-1);
}
计算出下标之后,就可以将待加入的键值对插入数组下标处对应的链表中,JDK1.7中采用的是头插法,每次将新的元素插入到链表头。
线程不安全分析
HashMap不是线程安全的,在并发情况下会导致线程不安全,主要分为两种情况:
1.多线程put操作,元素丢失问题
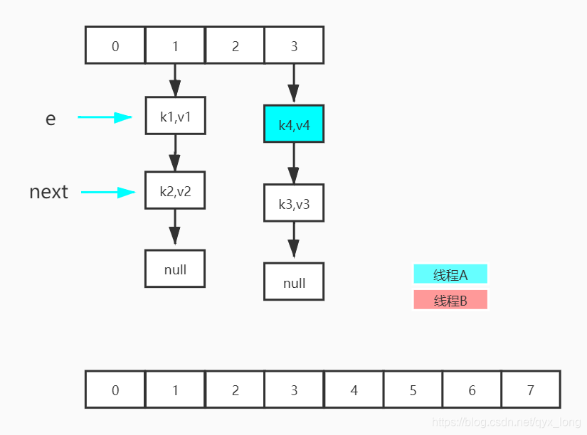
假设这时有两个线程:线程A和线程B同时向table中put新元素,如图所示,线程A做put(<k4,v4>)操作,线程B做put(<k5,v5>)操作,并且假设这两个键值对映射到table中的下标一样,都为7。

如下图所示,为了表示方便,所以在有数据的链表后都加上了一个null表示上一个元素的next的null。线程A与线程B都拥有自己的e与next,e表示头指针,next表示头指针指向的第一个元素,初始时,e和next都指向null。这里假设线程A开始执行put()方法,首先求得<K4,v4>在数组中的下标,然后获得该下标处的头指针e和next值,但是执行到这一步,线程A停止,不往下执行。目前线程A的状态如下所示。

接下来执行线程B,线程B首先也要获得e和next值,并且线程B会顺利执行完,那么线程B执行完之后table的状态变为下图所示状态,线程B的<k5,v5>插入成功。蓝色的线表示线程A的指针,橘色的线表示线程B的指针。

接下来,线程A继续执行,但是线程A使用的e和next仍然是线程B执行之前获得的值,那么线程A插入元素<k4,v4>之后就会产生如下所示的状态。

可以看出在下标为7处,只连接了线程A插入的元素<k4,v4>,线程B之前插入的元素不在链表中,这就导致了数据的丢失。
2.多线程resize操作,死循环问题(由于头插法导致)
当HashMap中的元素个数达到其规定的阈值后,HashMap需要扩容,在扩容的临界条件下,当两个线程(多个线程也会引起这样的问题,这里用两个线程举例)同时向HashMap中put新元素时,两个线程都会导致HashMap的扩容操作,这时可能就会导致死循环问题,请看下面实例。
初始时假设HashMap容量为4,其中元素如下图所示。

线程A执行
这时有线程A要做put(<k4,v4>)操作,线程B做put(<k5,v5>)操作,假设线程A先执行,首先将元素<k4,v4>插入到对应位置。table状态如下图所示。这时table中元素的数目为4 > (4 * 0.75),刚好达到扩容的阈值,所以这里会进行扩容,生成一个线程私有的newTable数组,来存储扩容之后的信息。

假设扩容后,<k1,v1>、<k2,v2>对应的下标为2,<k3,v3>对应的下标为4,<k4,v4>对应的下标为6。
下图是开始扩容时两数组的状态,上方是HashMap的table数组,下面是线程A私有的newTable数组,初始时为空,

图表示的是在线程A中将第一个元素<k1,v1>移动到newTable后状态。<k1,v1>连接到newTable[2]之后,接下来移动<k2,v2>。

移动第二个元素<k2,v2>,得到如下所示的状态。

线程A执行到这里先暂停(可能cpu时间片用完,失去cpu),接下来线程B执行。
线程B执行
假设这时线程A停止,线程B开始执行,线程B操作的还是之前的table,首先插入元素<k5,v5>,table的状态变为下图。

这时table需要扩容,线程B同时也生成一个线程B私有的newTable,存储扩容之后的信息。将table中的<k1,v1>移动到newTable中后,可以得到下图所示的状态。(这里要注意,虽然线程B用的还是table中的元素位置,但是实际上链表中元素的连接已经改变了,比如原来table中Entry<k1,v1>的next是Entry<k2,v2>,但是线程A操作完之后,实际上已经变为了Entry<k2,v2>的next是Entry<k1,v1>)。

接下来移动next所指元素<k2,v2>,得到下图所示的状态。

接着再处理next<k1,v1>,得到下图。

再继续处理next<k2,v2>,我们发现会得到一个环,这时就发生了死循环。

导致死循环的是头插法的缺陷,在resize转移元素时,会将原table中的元素倒序,会产生死循环。
JDK1.8中HashMap
底层结构
JDK1.8中HashMap底层也是一个数组table,和JDK1.7中结构基本相同,只是之前的链表结构在一些特殊情况下效率会比较低,比如链表长度比较长时,查询和插入时间(JDK1.8中使用的是尾插法)就会比较长。那么在JDK1.8中,对链表做了改进,当链表长度超过8时,就会转换为红黑树,以此来加快插入和查询时间。此结构我们称为数组+链表/红黑树结构。如下图所示:

数组中每个位置上可能有0个、1个或多个Entry元素,这个取决于根据hash映射结果算出来的键值对在数组中的下标,若多个键值对下标相同,那么以链表的形式组织。JDK1.7使用的hash映射方法如下所示。
hash映射
计算键值对在数组table中的下标时分两步:
1.计算key的哈希值;
static final int hash(Object key){
int h;
return (key == null) ? 0 : (h = key.hashCode()) ^ (h >>> 16);
}
2.根据哈希值计算下标。
index = (n - 1) & hash;
计算出下标之后,就可以将待加入的键值对插入数组下标处对应的链表中,JDK1.8中采用的是尾插法,每次将新的元素插入到链表尾或红黑树中。
线程不安全分析
JDK1.8中采用的插入方式是尾插法,这是因为头插法在多线程时可能会导致死循环,使用尾插法可以避免这样的情况发生。
但是针对JDK1.7中第一种线程不安全的情况,使用尾插法时依然存在,并且情况类似,不再赘述。
总结
| 对比 | JDK1.7 | JDK1.8 |
|---|---|---|
| 底层结构 | 数组+链表 | 数组+红黑树 |
| 元素插入方式 | 头插法 | 尾插法 |
| 线程不安全情况 | ①多线程put()操作时元素丢失;②多线程resize()时形成死循环。 | ①多线程put()操作时元素丢失。 |
本文详细分析了JDK1.7和1.8中HashMap的线程不安全性,包括多线程put操作可能导致元素丢失和扩容时的死循环问题。JDK1.7使用头插法,扩容时可能出现死循环;而JDK1.8改用尾插法,解决了头插法的死循环问题,但仍存在元素丢失问题。
422





