作者: 华丞臧.
专栏:【数据结构】
各位读者老爷如果觉得博主写的不错,请诸位多多支持(点赞+收藏+关注)。如果有错误的地方,欢迎在评论区指出。
推荐一款刷题网站 👉 LeetCode刷题网站
文章目录
一、链表的中间结点
题目描述
给定一个头结点为 head 的非空单链表,返回链表的中间结点。如果有两个中间结点,则返回第二个中间结点。

解题思路
如果暴力求解,直接求链表长度再找中间结点程序过于繁琐,那么如何用更简单的方法求解呢?
快慢指针法:
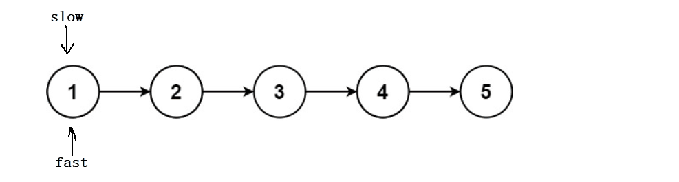
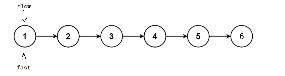
既然题目要求链表中间结点,也就是说链表的 1/2 ;那么在一次遍历链表的过程中,给两个指针slow和fast,slow一次走一步fast一次走两步,当fast遍历完链表slow停下的位置就是链表的中间结点。
当链表元素为奇数个时:

当链表元素为偶数个时:

代码实现
struct ListNode* middleNode(struct ListNode* head)
{
struct ListNode* slow = head; //慢指针
struct ListNode* fast = head; //快指针
while(fast && fast->next )
{
slow = slow->next;
fast = fast->next->next;
}
return slow;
}

二、链表中倒数第k个结点
题目描述
输入一个链表,输出该链表中倒数第k个结点。

解题思路
输出链表中倒数第k个结点,经典快慢指针法的问题;定义一个slow指针一个fast指针,先让fast指针走指定的 k 步,然后再一起遍历链表,当fast走完时slow的位置就是链表中倒数第k个结点。
- 当
k小于链表的长度时:
假设k = 1:

- 当
k大于或等于链表的长度时:
需要注意,当k大于链表长度时,返回空指针;当k等于链表长度时,返回slow。

代码实现
struct ListNode* FindKthToTail(struct ListNode* plisthead, int k ) {
// write code here
struct ListNode* fast = plisthead;
struct ListNode* slow = plisthead;
while(k-- )
{
if(fast == NULL) //当k大于链表长度时
{
return NULL;
}
fast = fast->next;
}
while(fast)
{
fast = fast->next;
slow = slow->next;
}
return slow;
}

三、合并两个有序链表
题目描述
LeetCode.21 合并两个有序链表
将两个升序链表合并为一个新的 升序 链表并返回。新链表是通过拼接给定的两个链表的所有节点组成的。

解题思路
创建一个新的链表头结点,依次比较传入的两个链表的大小,取其中的较小值尾插到新链表头结点后,并且让取出结点的那个链表的指针向后走一步再继续比较;循环此过程,当一个链表走到尾结束。
注意:当一个链表走完,另一个链表不一定走完,所以需要尾插剩下的那个链表。

代码实现
struct ListNode* mergeTwoLists(struct ListNode* list1, struct ListNode* list2){
struct ListNode* cur1 = list1;
struct ListNode* cur2 = list2;
struct ListNode* head = (struct ListNode*)malloc(sizeof(struct ListNode));
struct ListNode* cur = head;
head->next = NULL;
while(cur1 && cur2)
{
if(cur1->val < cur2->val)
{
cur->next = cur1;
cur1 = cur1->next;
cur = cur->next;
}
else
{
cur->next = cur2;
cur2 = cur2->next;
cur = cur->next;
}
}
if(cur1)
{
cur->next = cur1;
}
if(cur2)
{
cur->next = cur2;
}
cur = head->next;
free(head);
head = NULL;
return cur;
}

四、链表分割
题目描述
牛客.CM11 链表分割
现有一链表的头指针 ListNode* pHead,给一定值x,编写一段代码将所有小于x的结点排在其余结点之前,且不能改变原来的数据顺序,返回重新排列后的链表的头指针。
解题思路
创建两个链表带头结点的链表 less 和 greater ,遍历传入的链表,小于 x 的结点尾插到 less 链表 当中,大于 x 的结点尾插到 greater 链表当中;遍历完链表,把greater中的结点尾插到less链表即可。
假设 x = 5:

代码实现
class Partition {
public:
ListNode* partition(ListNode* pHead, int x) {
// write code here
struct ListNode *less,*greater,*cur,*lesshead,*greaterhead;
less = (struct ListNode*)malloc(sizeof(struct ListNode));
greater = (struct ListNode*)malloc(sizeof(struct ListNode));
lesshead = less;
greaterhead = greater;
cur = pHead;
while(cur)
{
if(cur->val < x)
{
less->next = cur;
less = less->next;
}
else
{
greater->next = cur;
greater = greater->next;
}
cur = cur->next;
}
greater->next = NULL;
less->next = greaterhead->next;
less = lesshead;
greater = greaterhead;
lesshead = lesshead->next;
free(less);
free(greater);
less = greater = NULL;
return lesshead;
}
};

五、链表的回文结构
题目描述
牛客.OR36 链表的回文结构
对于一个链表,请设计一个时间复杂度为 O(n) ,额外空间复杂度为 O(1) 的算法,判断其是否为回文结构。
给定一个链表的头指针A,请返回一个 bool 值,代表其是否为回文结构。保证链表长度小于等于900。
测试样例:

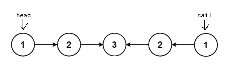
解题思路

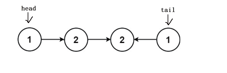
通过上图可以看出,回文链表的前半段和后面的恰好相反,因为单向链表是单向的不能从链表两边往中间走;根据回文的特点,我们把后半段链表反转,然后一个指针从头部开始,一个指针从链表尾部开始,依次比较其结点的值是否相等当两个指针中间没有元素时,则表示链表是回文结构。
注意:这种思路会破坏原先链表的结构。
偶数项:

奇数项:

代码实现
struct ListNode* middleNode(struct ListNode* head)
{
struct ListNode* fast = head;
struct ListNode* slow = head;
while(fast && fast->next)
{
fast = fast->next->next;
slow = slow->next;
}
return slow;
}
struct ListNode* reverseList(struct ListNode* head)
{
struct ListNode* cur = head;
if(head == NULL )
{
return head;
}
else if(head->next == NULL)
{
return head;
}
struct ListNode* ptr = head->next;
cur->next = NULL;
while(ptr)
{
struct ListNode* tmp = ptr->next;
ptr->next = cur;
cur = ptr;
ptr = tmp;
}
return cur;
}
class PalindromeList {
public:
bool chkPalindrome(ListNode* phead) {
// write code here
struct ListNode* cur = phead;
struct ListNode* mid = middleNode(phead);
struct ListNode* rmid = reverseList(mid);
while(rmid)
{
if(cur->val != rmid->val)
{
return false;
}
cur = cur->next;
rmid = rmid->next;
}
return true;
}
};

总结
通过这些题目,学习了链表相关试题一些比较常用的方法:
- 双指针
- 快慢指针
并且在一些题目中,创建一个头结点可以很好地帮我们解决一些麻烦。
本文介绍了如何使用快慢指针解决链表问题,包括寻找中间结点、倒数第k个结点、合并有序链表和判断链表回文结构。通过实例演示和解题思路,掌握链表操作的关键技巧。
1418





