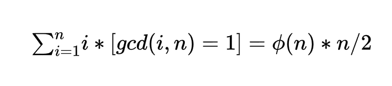
与n互质而且小于n的所有数的和为
p
h
i
[
n
]
∗
n
/
2
phi[n]*n/2
phi[n]∗n/2


题目链接
#include<cstdio>
#include<iostream>
#include<algorithm>
using namespace std;
typedef long long ll;
const int N = 1e6 + 10;
const int mod = 1e9 + 7;
ll cnt,f[N],phi[N],prime[N];
bool vis[N];
void init(const int n = 1e6)
{
phi[1] = 1;
for (int i = 2; i <= n; i++)
{
if (!vis[i])
{
phi[i] = i - 1;
prime[++cnt] = i;
}
for (int j = 1; j <= cnt && i <= n / prime[j]; j++)
{
vis[i * prime[j]] = 1;
if (i % prime[j] == 0)
{
phi[i * prime[j]] = phi[i] * (prime[j]);
break;
}
phi[i * prime[j]] = phi[i] * (prime[j] - 1);
}
}
}
int main()
{
init();
int n;
cin >> n;
for (int d = 1; d <= n; d++)
for (int i = d; i <= n; i += d)
f[i] += phi[d] * d / 2;
for (int i = 1; i <= n; i++)
printf("%lld\n", f[i] + 1);
return 0;
}
该博客介绍了计算小于n且与n互质的数的和的算法。通过欧拉phi函数预处理互质数的性质,并使用动态规划求解问题。代码中定义了phi数组来存储欧拉函数的结果,并使用了素数筛法来计算phi值。最终,程序输出所有满足条件的数的和。

被折叠的 条评论
为什么被折叠?



