1.leetcode原题链接:. - 力扣(LeetCode)
2.题目描述
给你二叉树的根节点 root ,返回其节点值的 层序遍历 。 (即逐层地,从左到右访问所有节点)。
示例 1:

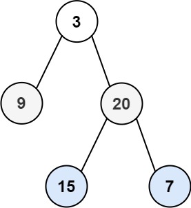
输入:root = [3,9,20,null,null,15,7] 输出:[[3],[9,20],[15,7]]
示例 2:
输入:root = [1] 输出:[[1]]
示例 3:
输入:root = [] 输出:[]
提示:
- 树中节点数目在范围
[0, 2000]内 -1000 <= Node.val <= 1000
3.实现方法
二叉树的层序遍历是一种广度优先搜索的算法,通过逐层访问二叉树的节点来遍历整个二叉树。具体步骤如下:
1.创建一个队列,用于存储待访问的节点。
2.将根节点入队。
3.循环执行以下步骤,直到队列为空:
3.1出队一个节点,并将其值存储起来。
3.2如果该节点有左子节点,则将左子节点入队。
3.3如果该节点有右子节点,则将右子节点入队。
4.返回存储节点值的结果列表。
/**
* Definition for a binary tree node.
* public class TreeNode {
* int val;
* TreeNode left;
* TreeNode right;
* TreeNode() {}
* TreeNode(int val) { this.val = val; }
* TreeNode(int val, TreeNode left, TreeNode right) {
* this.val = val;
* this.left = left;
* this.right = right;
* }
* }
*/
class Solution {
public List<List<Integer>> levelOrder(TreeNode root) {
List<List<Integer>> res =new ArrayList<>();
if(root == null ){
return res;
}
Queue<TreeNode> queue= new LinkedList<>();
queue.offer(root);
while(!queue.isEmpty()){
List<Integer> list =new ArrayList<>();
//记录当前队列的大小
int curSize=queue.size();
for(int i=0;i<curSize;i++){
TreeNode node = queue.poll();
list.add(node.val);
if(node.left !=null){
queue.offer(node.left);
}
if(node.right != null){
queue.offer(node.right);
}
}
res.add(list);
}
return res;
}
}
文章介绍了如何使用广度优先搜索(BFS)算法实现二叉树的层序遍历,通过Java代码展示了如何在LeetCode题目中处理空树和非空树的场景。
2106

被折叠的 条评论
为什么被折叠?



