LeetCode589. N叉树的前序遍历(简单)
题目:
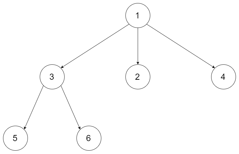
给定一个 N 叉树,返回其节点值的前序遍历。
例如,给定一个 3叉树 :

返回其前序遍历: [1,3,5,6,2,4]。
题解:
1.递归
class Solution {
public:
vector<int>ans;
vector<int> preorder(Node* root) {
if(!root) return vector<int>();
ans.push_back(root->val);
for(auto i:root->children){
preorder(i);
}
return ans;
}
};
2.迭代
通过栈来存储当前需要遍历的节点,栈顶为该次循环时的根节点,根据栈的特点,每次孩子进栈的时候需要逆序进入,所以for循环是从后往前存入栈的
class Solution {
public:
vector<int> preorder(Node* root) {
if(!root) return vector<int>();
vector<int>ans;
stack<Node*> st;
st.push(root);
while(!st.empty()){
ans.push_back(st.top()->val);
Node* index= st.top();
st.pop();
for(int i=index->children.size()-1;i>=0;i--){
st.push(index->children[i]);
}
}
return ans;
}
};
328





