
@R星校长
第2关:非线性转换
- 为什么要非线性转换。
- 映射到均匀分布。
- 映射到高斯分布。
为什么要非线性转换
在上一关中已经提到,对于大多数数据挖掘算法来说,如果特征不服从或者近似服从标准正态分布(即,零均值、单位标准差的正态分布)的话,算法的表现会大打折扣。非线性转换就是将我们的特征映射到均匀分布或者高斯分布(即正态分布)。
映射到均匀分布
相比线性缩放,该方法不受异常值影响,它将数据映射到了零到一的均匀分布上,将最大的数映射为1,最小的数映射为0。其它的数按从小到大的顺序均匀分布在0到1之间,如有相同的数则取平均值,如数据为np.array([[1],[2],[3],[4],[5]])则经过转换为:np.array([[0],[0.25],[0.5],[0.75],[1]]),数据为np.array([[1],[2],[9],[10],[2]])则经过转换为:np.array([[0],[0.375],[0.75],[1.0],[0.375]])。第二个例子具体过程如下图:

在sklearn中使用QuantileTransformer方法实现,用法如下:
from sklearn.preprocessing import QuantileTransformer
import numpy as np
data = np.array([[1],[2],[3],[4],[5]])
quantile_transformer = QuantileTransformer(random_state=666)
data = quantile_transformer.fit_transform(data)
>>>data
array([[0. ],
[0.25],
[0.5 ],
[0.75],
[1. ]])
映射到高斯分布
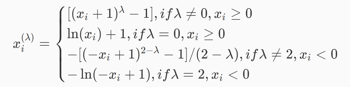
映射到高斯分布是为了稳定方差,并最小化偏差。在最新版sklearn 0.20.x中PowerTransformer现在有两种映射方法,Yeo-Johnson映射,公式如下:

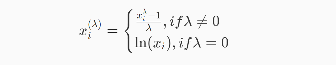
Box-Cox映射,公式如下:

在sklearn 0.20.x中使用PowerTransformer方法实现,用法如下:
from sklearn.preprocessing import PowerTransformer
import numpy as np
data = np.array([[1],[2],[3],[4],[5]])
pt = PowerTransformer(method='box-cox', standardize=False)
data = pt.fit_transform(data)
学习平台使用的是sklearn 0.19.x,通过对QuantileTransformer设置参数output_distribution='normal'实现映射高斯分布,用法如下:
from sklearn.preprocessing import QuantileTransformer
import numpy as np
data = np.array([[1],[2],[3],[4],[5]])
quantile_transformer = QuantileTransformer(output_distribution='normal',random_state=666)
data = quantile_transformer.fit_transform(data)
data = np.around(data,decimals=3)
>>>data
array([[-5.199],
[-0.674],
[ 0. ],
[ 0.674],
[ 5.199]])
编程要求
根据提示,在右侧编辑器Begin-End处补充Python代码,实现数据非线性转换方法,我们会使用实现好的方法对数据进行处理。
测试说明
我们会调用你实现好的方法对数据进行处理,如输入数据为:
np.array([[1],[2],[3],[4],[5]])
映射到均匀分布,则处理后结果为:
np.array([[0. ], [0.25],[0.5 ],[0.75],[1. ]])
映射到高斯分布,则处理后结果为:
np.array([[-5.199],[-0.674],[ 0. ],[ 0.674],[ 5.199]])
如处理后的数据符合要求,则视为通关。
开始你的任务吧,祝你成功!
答案:
from sklearn.preprocessing import QuantileTransformer
#实现非线性转换方法
def non_linear_transformation(x,y):
'''
x(ndarray):待处理数据
y(int):y等于0映射到均匀分布
y等于1映射到高斯分布
'''
#********* Begin *********#
if y == 0:
transformer = QuantileTransformer(random_state=666)
x = transformer.fit_transform(x)
return x
elif y == 1:
transformer = QuantileTransformer(output_distribution='normal',random_state=666)
x = transformer.fit_transform(x)
return x
#********* End *********#



非线性转换在数据预处理中扮演重要角色,尤其当特征分布不符合正态分布时。本文介绍了如何使用sklearn库将数据映射到均匀分布和高斯分布,以改善机器学习算法的性能。均匀分布通过将数据缩放到[0, 1]区间,不受异常值影响。高斯分布转换则有助于稳定方差和减小偏差,可以使用Box-Cox或Yeo-Johnson方法实现。"
117072914,10551748,C语言事业单位笔试题库及答案解析,"['C语言', '事业单位笔试', '计算机基础知识']
465





