
超几分钟没事吧🤭,今天我生日就原谅我迟到!!下次一定准时发。
bp神经网络公式推导 练习MathType编辑器
最新推荐文章于 2022-10-31 10:46:36 发布
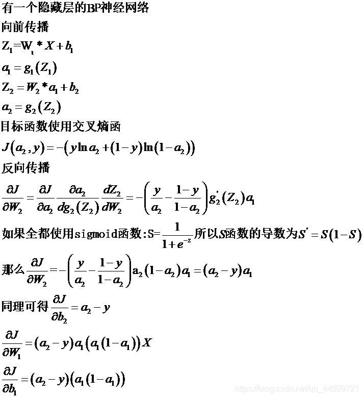
博客主要围绕BP神经网络公式推导展开,虽提及使用MathType编辑器,但未在现有内容体现相关操作。BP神经网络是深度学习重要内容,公式推导对理解其原理有重要意义。
博客主要围绕BP神经网络公式推导展开,虽提及使用MathType编辑器,但未在现有内容体现相关操作。BP神经网络是深度学习重要内容,公式推导对理解其原理有重要意义。

超几分钟没事吧🤭,今天我生日就原谅我迟到!!下次一定准时发。
752
2421
323
1970

被折叠的 条评论
为什么被折叠?