提到的加载html 文件的,app拿到后台的json格式数据,传到html模板文件里进行渲染交互,如下的一段html代码
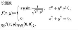
设函数<img src="http://equation.kaoyanvip.cn/?mml=%3Cmath%20xmlns%3D%22http%3A%2F%2Fwww.w3.org%2F1998%2FMath%2FMathML%22%3E%3Cmi%3Ef%3C%2Fmi%3E%3Cmfenced%3E%3Cmrow%3E%3Cmi%3Ex%3C%2Fmi%3E%3Cmo%3E%2C%3C%2Fmo%3E%3Cmi%3Ey%3C%2Fmi%3E%3C%2Fmrow%3E%3C%2Fmfenced%3E%3Cmo%3E%3D%3C%2Fmo%3E%3Cmfenced%20open%3D%22%7B%22%20close%3D%22%22%3E%3Cmtable%20columnalign%3D%22left%22%3E%3Cmtr%3E%3Cmtd%3E%3Cmi%3Ex%3C%2Fmi%3E%3Cmi%3Ey%3C%2Fmi%3E%3Cmi%3Esin%3C%2Fmi%3E%3Cmfrac%3E%3Cmn%3E1%3C%2Fmn%3E%3Cmsqrt%3E%3Cmsup%3E%3Cmi%3Ex%3C%2Fmi%3E%3Cmn%3E2%3C%2Fmn%3E%3C%2Fmsup%3E%3Cmo%3E%2B%3C%2Fmo%3E%3Cmsup%3E%3Cmi%3Ey%3C%2Fmi%3E%3Cmn%3E2%3C%2Fmn%3E%3C%2Fmsup%3E%3C%2Fmsqrt%3E%3C%2Fmfrac%3E%3Cmo%3E%2C%3C%2Fmo%3E%3Cmo%3E%26%23xA0%3B%3C%2Fmo%3E%3Cmo%3E%26%23xA0%3B%3C%2Fmo%3E%3Cmo%3E%26%23xA0%3B%3C%2Fmo%3E%3Cmsup%3E%3Cmi%3Ex%3C%2Fmi%3E%3Cmn%3E2%3C%2Fmn%3E%3C%2Fmsup%3E%3Cmo%3E%2B%3C%2Fmo%3E%3Cmsup%3E%3Cmi%3Ey%3C%2Fmi%3E%3Cmn%3E2%3C%2Fmn%3E%3C%2Fmsup%3E%3Cmo%3E%26%23x2260%3B%3C%2Fmo%3E%3Cmn%3E0%3C%2Fmn%3E%3Cmo%3E%2C%3C%2Fmo%3E%3C%2Fmtd%3E%3C%2Fmtr%3E%3Cmtr%3E%3Cmtd%3E%3Cmn%3E0%3C%2Fmn%3E%3Cmo%3E%2C%3C%2Fmo%3E%3Cmo%3E%26%23xA0%3B%3C%2Fmo%3E%3Cmo%3E%26%23xA0%3B%3C%2Fmo%3E%3Cmo%3E%26%23xA0%3B%3C%2Fmo%3E%3Cmo%3E%26%23xA0%3B%3C%2Fmo%3E%3Cmo%3E%26%23xA0%3B%3C%2Fmo%3E%3Cmo%3E%26%23xA0%3B%3C%2Fmo%3E%3Cmo%3E%26%23xA0%3B%3C%2Fmo%3E%3Cmo%3E%26%23xA0%3B%3C%2Fmo%3E%3Cmo%3E%26%23xA0%3B%3C%2Fmo%3E%3Cmo%3E%26%23xA0%3B%3C%2Fmo%3E%3Cmo%3E%26%23xA0%3B%3C%2Fmo%3E%3Cmo%3E%26%23xA0%3B%3C%2Fmo%3E%3Cmo%3E%26%23xA0%3B%3C%2Fmo%3E%3Cmo%3E%26%23xA0%3B%3C%2Fmo%3E%3Cmo%3E%26%23xA0%3B%3C%2Fmo%3E%3Cmo%3E%26%23xA0%3B%3C%2Fmo%3E%3Cmo%3E%26%23xA0%3B%3C%2Fmo%3E%3Cmo%3E%26%23xA0%3B%3C%2Fmo%3E%3Cmo%3E%26%23xA0%3B%3C%2Fmo%3E%3Cmo%3E%26%23xA0%3B%3C%2Fmo%3E%3Cmo%3E%26%23xA0%3B%3C%2Fmo%3E%3Cmo%3E%26%23xA0%3B%3C%2Fmo%3E%3Cmo%3E%26%23xA0%3B%3C%2Fmo%3E%3Cmo%3E%26%23xA0%3B%3C%2Fmo%3E%3Cmsup%3E%3Cmi%3Ex%3C%2Fmi%3E%3Cmn%3E2%3C%2Fmn%3E%3C%2Fmsup%3E%3Cmo%3E%2B%3C%2Fmo%3E%3Cmsup%3E%3Cmi%3Ey%3C%2Fmi%3E%3Cmn%3E2%3C%2Fmn%3E%3C%2Fmsup%3E%3Cmo%3E%3D%3C%2Fmo%3E%3Cmn%3E0%3C%2Fmn%3E%3Cmo%3E%2C%3C%2Fmo%3E%3Cmo%3E%26%23xA0%3B%3C%2Fmo%3E%3Cmo%3E%26%23xA0%3B%3C%2Fmo%3E%3Cmo%3E%26%23xA0%3B%3C%2Fmo%3E%3C%2Fmtd%3E%3C%2Fmtr%3E%3C%2Fmtable%3E%3C%2Fmfenced%3E%3C%2Fmath%3E" alt="<math xmlns="http://www.w3.org/1998/Math/MathML"><mi>f</mi><mfenced><mrow><mi>x</mi><mo>,</mo><mi>y</mi></mrow></mfenced><mo>=</mo><mfenced open="{" close=""><mtable columnalign="left"><mtr><mtd><mi>x</mi><mi>y</mi><mi>sin</mi><mfrac><mn>1</mn><msqrt><msup><mi>x</mi><mn>2</mn></msup><mo>+</mo><msup><mi>y</mi><mn>2</mn></msup></msqrt></mfrac><mo>,</mo><mo>&#xA0;</mo><mo>&#xA0;</mo><mo>&#xA0;</mo><msup><mi>x</mi><mn>2</mn></msup><mo>+</mo><msup><mi>y</mi><mn>2</mn></msup><mo>&#x2260;</mo><mn>0</mn><mo>,</mo></mtd></mtr><mtr><mtd><mn>0</mn><mo>,</mo><mo>&#xA0;</mo><mo>&#xA0;</mo><mo>&#xA0;</mo><mo>&#xA0;</mo><mo>&#xA0;</mo><mo>&#xA0;</mo><mo>&#xA0;</mo><mo>&#xA0;</mo><mo>&#xA0;</mo><mo>&#xA0;</mo><mo>&#xA0;</mo><mo>&#xA0;</mo><mo>&#xA0;</mo><mo>&#xA0;</mo><mo>&#xA0;</mo><mo>&#xA0;</mo><mo>&#xA0;</mo><mo>&#xA0;</mo><mo>&#xA0;</mo><mo>&#xA0;</mo><mo>&#xA0;</mo><mo>&#xA0;</mo><mo>&#xA0;</mo><mo>&#xA0;</mo><msup><mi>x</mi><mn>2</mn></msup><mo>+</mo><msup><mi>y</mi><mn>2</mn></msup><mo>=</mo><mn>0</mn><mo>,</mo><mo>&#xA0;</mo><mo>&#xA0;</mo><mo>&#xA0;</mo></mtd></mtr></mtable></mfenced></math>" class="wiris-tex">则<img src="http://equation.kaoyanvip.cn/?mml=%3Cmath%20xmlns%3D%22http%3A%2F%2Fwww.w3.org%2F1998%2FMath%2FMathML%22%3E%3Cmi%3Ef%3C%2Fmi%3E%3Cmo%3E(%3C%2Fmo%3E%3Cmi%3Ex%3C%2Fmi%3E%3Cmo%3E%2C%3C%2Fmo%3E%3Cmi%3Ey%3C%2Fmi%3E%3Cmo%3E)%3C%2Fmo%3E%3C%2Fmath%3E" alt="<math xmlns="http://www.w3.org/1998/Math/MathML"><mi>f</mi><mo>(</mo><mi>x</mi><mo>,</mo><mi>y</mi><mo>)</mo></math>" class="wiris-tex">在点<img src="http://equation.kaoyanvip.cn/?mml=%3Cmath%20xmlns%3D%22http%3A%2F%2Fwww.w3.org%2F1998%2FMath%2FMathML%22%3E%3Cmo%3E(%3C%2Fmo%3E%3Cmn%3E0%3C%2Fmn%3E%3Cmo%3E%2C%3C%2Fmo%3E%3Cmn%3E0%3C%2Fmn%3E%3Cmo%3E)%3C%2Fmo%3E%3C%2Fmath%3E" alt="<math xmlns="http://www.w3.org/1998/Math/MathML"><mo>(</mo><mn>0</mn><mo>,</mo><mn>0</mn><mo>)</mo></math>" class="wiris-tex">处
这段代码在部分手机上会显示异常,类似这种

这里使用腾讯的X5WebView ,加上适应屏幕大小
<meta name="viewport" content="width=device-width, initial-scale=1, maximum-scale=1" />
后的显示效果

>注‘Android技术交流群878873098,欢迎大家加入交流,畅谈!本群有免费学习资料视频’并且免费分享源码解析视频
同时还需要与js进行交互,这里选用 DSBridge,支持X5内核。
gradle 关联
implementation 'com.github.wendux:DSBridge-Android:x5-3.0-SNAPSHOT'
使用
html 文件里需要引用这个库提供的js文件<script src="dsbridge.js"></script> dsbridge 的相对路径。
同时加上
<meta name="viewport" content="width=device-width, initial-scale=1, maximum-scale=1" />
适应手机屏幕的大小
准备一个简单的html文件
<!DOCTYPE html>
<html lang="en">
<head>
<meta charset="UTF-8">
<title>Title</title>
<meta name="viewport" content="width=device-width, initial-scale=1, maximum-scale=1" />
<script src="dsbridge.js"></script>
</head>
<body>
<div id="test"></div>
</body>
</html>
div 块用于展示html代码的
原生传递值给js
通过webView.callHandler() 方法调用
第一个参数是约定注册的名称,与js接受处一致;
第二个参数是要传递的值,这里将data转成了 json String 的传给前端;
第三个参数是接受js返回的回调,可用于js接受成功后,再去通知原生。
HtmlData data = new HtmlData();
data.html = txt;
webView.callHandler("nativeToJs", new Object[]{new Gson().toJson(data)}, new OnReturnValue<String>() {
@Override
public void onValue(String o) {
}
});
js接受传值,直接通过dsBridge.register() 方法接受
第一个参数是上面的注册名,与原生保持一致;
第二个是js的方法,参数data就是 传递的值,这里通过JSON.parse() 格式化,方法的return返回值就是传递给原生的,对应上面的第三个参数。
<script>
dsBridge.register('nativeToJs', function (data) {
var value = JSON.parse(data);
document.getElementById("test").innerHTML = value.html;
return "success"
});
</script>
js传值给原生
js通过dsBridge.call() 方法传值,简单模拟了点击事件来传递。
第一个参数是约定注册的名称,与原生接受处方法名一致;
第二个参数是要传递的值;
第三个参数是接受原生返回的回调。
function test(){
dsBridge.call("jsToNative", "test", function (res) {
console.log(res)
});
}
原生接受,通过JavascriptInterface注解,方法名与注册名一致
第一个参数是传递的值;
第二个参数可回调信息给js;
webView.addJavascriptObject(new JsApi(), null);
public class JsApi {
@JavascriptInterface
public void jsToNative(Object msg, CompletionHandler<String> handler) {
handler.complete(msg+"回调给js");
}
}
这里介绍的是简单的原生js交互的使用,更多的可以参考github文档https://github.com/wendux/DSBridge-Android
> 注‘Android技术交流群878873098,欢迎大家加入交流,畅谈!本群有免费学习资料视频’并且免费分享源码解析视频
575

被折叠的 条评论
为什么被折叠?



