一个简化模型(权重和偏差的实际值在后面决定):

线性模型:

线性模型可以看做是单层神经网络(输入维度是d,输出维度是1,每个箭头表示一个权重)):

衡量预估质量:

训练数据:

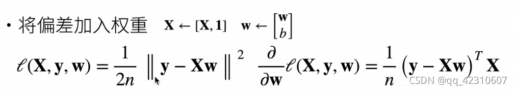
参数学习:


显示解:
一个简化模型(权重和偏差的实际值在后面决定):

线性模型:

线性模型可以看做是单层神经网络(输入维度是d,输出维度是1,每个箭头表示一个权重)):

衡量预估质量:

训练数据:

参数学习:


显示解:
1907
960
708

被折叠的 条评论
为什么被折叠?