- 前言
基于深度学习的两种方法:
基于regressing的方式:即直接预测每个关键点的位置坐标。
基于heatmap的方式:即针对每个关键点预测一张热力图(预测出现在每个位置上的分数)。
当前检测效果最好的一些方法基本都是基于heatmap的,所以HRNet也是采用基于heatmap的方式。
2.HRNet网络结构

conv层(2):
Layer1层(1):
transition1(1):
stage2(1):
transition2(1):
stage3(1):
transition3(1):
stage4(1):
3.预测结果(heatmap)的可视化
4.损失的计算
MSE均方根误差:
代码中在计算总损失时,并不是直接把每个关键点的损失进行相加,而是在相加前对于每个点的损失分别乘上不同的权重。
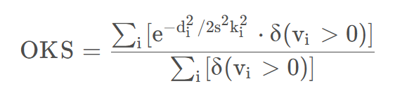
- 评价准则


本文详细介绍了基于深度学习的人体关键点检测方法,特别是HRNet如何采用基于heatmap的方式。HRNet的网络结构包括多层conv层和transition层,以及其对预测结果的可视化和MSE损失计算的处理。
2969





