一、redis的主从复制
redis是高性能的内存数据库,一旦断电就会丢失数据,因此,它具备了持久化,可以将内存中的数据保存在磁盘中。但是,当有大量的并发时,redis的压力也会增大,我们就使用了读写分离的方式,将读和写进行分离,要实现读写分离,必须保证数据的一致性。因此,我们可以使用主从复制的方式。
1.1 redis主从复制的机构分类
redis的主从复制的结构分为两种,一主多从和级联方式。
一主三从
级联

1.2 什么是redis的主从复制
前面说了redis的为什么会使用主从复制和它的分类,那到底什么是主从复制呢?
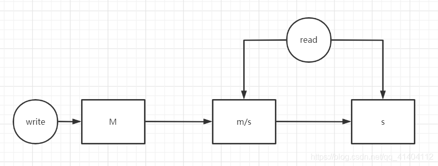
主从复制就是指将主数据库的内容复制给从数据库,达到主从数据库数据的一致性。redis的主从复制是同理的,在这样的情况下,就可以实现读写分离,不会产生读到的数据不是最新数据的情况。
二、redis主从复制的环境搭建
理论终究是理论,我们应该将理论转化为实际的代码进行验证。这里我们搭建一个简单的主从复制的环境。
2.1 准备
最简单的主从复制就应该是一主二从,至少三台服务器。因为,我们要考虑到实际开发的意外,当一个从数据库宕机了,我们还能保证系统的正常。
博主条件有限,这里就在一台服务器上打开三个redis服务。
2.2 步骤
1.在服务器上准备三个redis服务
因为redis启动时,会加载它的redis.conf配置。我们准备三个redis.conf配置文件。(博主将redis.conf文件放在了bin目录下的softconf文件夹下。)分别以端口号进行命名。

2.修改配置文件
我们需要将redis配置文件里的一些配置项进行修改,如下。
此处以6380为例。
# 三个redis的端口分别为6379、6380、6381
port 6380
daemonize yes # 守护线程 后台启动
pidfile /var/run/redis_6380.pid # pid
logfile "6380.log" # 日志文件
dbfilename dump6380.rdb # 持久化文件
replicaof 127.0.0.1 6379 # 主ip 主端口 老版本是slaveof 从服务才修改此处,6379不要这一个配置
3.开启端口
这里有三个redis的实例,我们需要将这三个实例的端口在防火墙和腾讯云(其他一样)的安全组中开放。
# 查看防火墙开放的端口
[root@VM-0-15-centos softconf]# firewall-cmd --list-ports
8080/tcp 80/tcp 9000/tcp 20/tcp 21/tcp 22/tcp 8888/tcp 39000-40000/tcp 888/tcp 6379/tcp
#开放6380端口
[root@VM-0-15-centos softconf]# firewall-cmd --zone=public --add-port=6380/tcp --permanent
success
# 开放6381端口
[root@VM-0-15-centos softconf]# firewall-cmd --zone=public --add-port=6381/tcp --permanent
success
# 重新加载防火墙配置,不然没用
[root@VM-0-15-centos softconf]# firewall-cmd --reload # 配置立即生效
4.启动redis
通过配置文件启动redis,并用指定端口打开redis客户端。此处以6379为例。
[root@VM-0-15-centos bin]# redis-server softconf/redis6379.conf
[root@VM-0-15-centos bin]# redis-cli -p 6379
如果不配置replicaof,redis默认都是主服务。但是加上了,可以看到6379是主服务,它下面有两个从服务。

这里以6380为例,可见它是从服务。

5.测试
- 场景:我们在主服务上进行数据写入。在从服务上进行数据读取。
# 主服务 6379
127.0.0.1:6379> set k1 v1
OK
# 从服务 6380
127.0.0.1:6380> keys *
1) "k1"
127.0.0.1:6380> get k1
"v1"
# 从服务 6381
127.0.0.1:6381> keys *
1) "k1"
127.0.0.1:6381> get k1
"v1"
结果:主服务可以写入数据,从服务可以读取数据!!!
- 场景:测试主服务是否可以读取数据,从服务是否可以写入数据
在上一个场景数据不变的情况下进行如下测试。
127.0.0.1:6379> get k1
(nil)
127.0.0.1:6380> set k2 v2
(error) READONLY You can not write against a read only replica.
127.0.0.1:6381> set k2 v2
(error) READONLY You can't write against a read only replica.
结果:主服务无法读取数据,从服务写入数据!!!
- 场景:关闭主服务,从服务是否可以写入数据?是否可以读取数据?是否会成为主服务?
结果:从服务无法写入,可以读取,没用成为主服务。
4.场景:重启主服务,主服务能否写入/读取数据? 从服务能够读取/写入数据?
结果:主服务能够读取/写入数据,从服务只能读取数据
此处的结果,似乎有点文件…应该不能读取才对
哨兵模式
1. 应用场景
常规的主从复制,可以发现当服务器正常运行时,是没有问题的,但是,当某一个服务器宕机后,就会出现问题,如果,主服务宕机,就没有了写入功能,如果从服务宕机,就没有了读取功能。这时候就需要人去手动启动并设置。
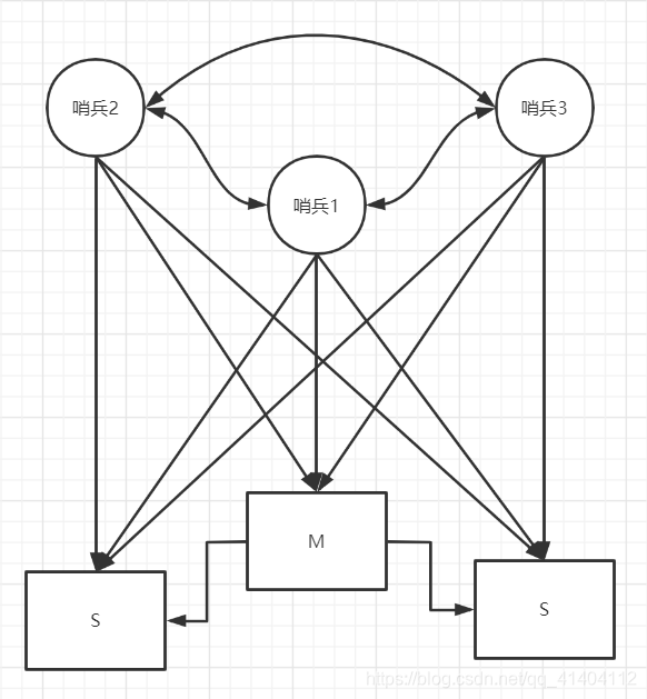
哨兵模式就可以完美的解决这个问题,当某一台服务发生了问题,它会去判断该服务是否已经死掉,如果确定死掉,就会自动的去设置其他的服务替代死掉的服务。
一般来说,哨兵模式也会怕哨兵线程死掉,因此也会用集群的思想,去布置多个哨兵共同监视,并相互监听。

2. 哨兵模式搭建
此处搭建最简单的一种,一个哨兵监控master
- sentinel.conf
哨兵的配置文件
#配置端口
port 26379
#以守护进程模式启动
#daemonize yes
#日志文件名
#logfile "sentinel_26379.log"
#存放备份文件以及日志等文件的目录
#dir "/opt/redis/data"
#监控的IP 端口号 名称 sentinel通过投票后认为mater宕机的数量,此处为至少1个
sentinel monitor mymaster 127.0.0.1 6379 1
#30秒ping不通主节点的信息,主观认为master宕机
sentinel down-after-milliseconds mymaster 30000
#故障转移后重新主从复制,1表示串行,>1并行
sentinel parallel-syncs mymaster 1
#故障转移开始,三分钟内没有完成,则认为转移失败
sentinel failover-timeout mymaster 180000
如果redis服务器配置了密码连接,则要增加如下配置:
这行配置要配置到 sentinel monitor mymaster ip port 后面,因为名称 mymaster要先定义.
sentinel auth-pass mymaster 123456
- 启动哨兵
redis-sentinel softconf/sentinel.conf

- 验证主从切换
杀掉主服务的进程

可以看到主程序的界面如下

此时观察哨兵的日志信息。重点观察圈中的部分。

switch-master表示切换主服务。将主服务6379切换到6381上。
此时查看6381的复制信息。可以看到6381已经是主服务了。它下面有一个从服务,是6380.

我们可以在6380查看

3. 哨兵模式原理
此处,我只搭建了一个哨兵,实际开发中,都是会搭建一个哨兵集群。
简单说一下原理。
①、三个定时任务
一.每10秒每个 sentinel 对master 和 slave 执行info 命令:该命令第一个是用来发现slave节点,第二个是确定主从关系.
二.每2秒每个 sentinel 通过 master 节点的 channel(名称为_sentinel_:hello) 交换信息(pub/sub):用来交互对节点的看法(后面会介绍的节点主观下线和客观下线)以及自身信息.
三.每1秒每个 sentinel 对其他 sentinel 和 redis 执行 ping 命令,用于心跳检测,作为节点存活的判断依据.
②、主观下线和客观下线
一.主观下线
SDOWN:subjectively down,直接翻译的为”主观”失效,即当前sentinel实例认为某个redis服务为”不可用”状态.
二.客观下线
ODOWN:objectively down,直接翻译为”客观”失效,即多个sentinel实例都认为master处于”SDOWN”状态,那么此时master将处于ODOWN,ODOWN可以简单理解为master已经被集群确定为”不可用”,将会开启故障转移机制.
③、故障转移
故障转移是由 sentinel 领导者节点来完成的(只需要一个sentinel节点),关于 sentinel 领导者节点的选取也是每个 sentinel 向其他 sentinel 节点发送我要成为领导者的命令,超过半数sentinel 节点同意,并且也大于quorum ,那么他将成为领导者,如果有多个sentinel都成为了领导者,则会过段时间在进行选举.
原理部分可以参考这一个博主的文章https://www.cnblogs.com/ysocean/p/12290364.html
1485

被折叠的 条评论
为什么被折叠?



